4. TEORÍA DE CAMPOS TRIDIMENSIONAL
4.1. La geometría en el espacio
Producto vectorial.
¿Qué interés tiene analizar la física en tres dimensiones? Las interacciones fundamentales que hemos visto son centrales y con añadir los giros ya estaban analizados prácticamente todos los casos, así que, ¿qué necesidad hay de ir más allá? Voy a contestar tajantemente que a este nivel, y para mi gusto, ninguna. El único motivo por el que me veo obligado a introducir un bloque dedicado a ella es que tenemos que hablar del campo magnético, el cual es intrínsecamente odioso, y sin unos conocimientos bastante amplios de las matemáticas tridimensionales de la teoría de campos uno puede verse trabajando con él sin saber muy bien qué está haciendo. Es, en efecto, el día a día de muchos estudiantes, ya que los conceptos necesarios para comprenderlo bien se dan normalmente en las facultades. Así las cosas, en aras de intentar hacerlo lógico en este bloque, veremos varios conceptos que no se preguntan en ninguna prueba de acceso pero harán que el campo magnético de menos miedo.
En el bloque anterior, cuando trabajábamos en dos dimensiones, las posiciones en el espacio tenían que ser indicadas mediante vectores r con dos componentes, una asociada al eje x y otra asociada al eje y.
Al trabajar en tres dimensiones, como es lógico, se añade un tercer eje z, y adquieren las siguientes interpretaciones:
- El eje x es el eje delante/detrás, según si es positivo/negativo.
- El eje y es el eje derecha/izquierda, según si es positivo/negativo.
- El eje z es el eje arriba/abajo, según si es positivo/negativo.
Teniendo esto en cuenta, representamos los puntos como:

Al igual que sucedía en dos dimensiones, si tenemos dos vectores u y v podemos multiplicarlos escalarmente y, si el resultado es nulo, podemos concluir que son perpendiculares. También el módulo de un vector seguirá siendo la raíz de su producto escalar consigo mismo.
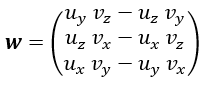
El primer problema surge cuando tenemos dos vectores que no son paralelos y queremos un tercer vector w que sea perpendicular a ambos, es decir, tal que su producto escalar con cada uno de ellos sea nulo:

¿Existe alguna forma general de dar con un vector que cumpla simultáneamente con las dos ecuaciones si conocemos u y v? Afortunadamente sí, y consiste en hacer que cada componente de w sume y reste productos de componentes de u y v de modo que después se cancelen. Algo como esto:

A esta forma de construir un vector extra se la denomina antisimetrizada, un término que hace alusión a que si los vectores u y v fuesen los mismos, entonces necesariamente todas las componentes serían nulas. Por este motivo establecimos como condición que no fuesen paralelos.
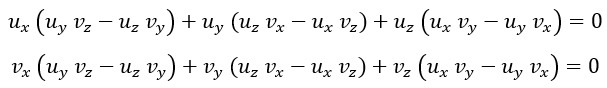
Es muy sencillo comprobar que con esta combinación se verifican ambas ecuaciones:

El motivo por el que ambas operaciones dan 0 es la antisimetrización combinada con el producto escalar. En la ecuación de arriba, por ejemplo, el primer producto involucra la operación ux*uy*vz, pero en el siguiente paréntesis vemos que aparece ux*uy*vz restando, y así con todos. Cada término que aparezca con un signo en un lugar, aparecerá con el contrario en otro, y como resultado todos se cancelarán y sumarán 0.
La conclusión es que al antisimetrizar generamos un vector perpendicular, que es lo que buscábamos. Esta forma de definir w se denomina producto vectorial, y como hemos visto es el procedimiento estándar para conseguir un vector perpendicular a otros dos. Normalmente se escribe del siguiente modo:

Existe un truco nemotécnico para recordar cómo se calcula, y consiste en lo siguiente. Primero escribimos las componentes de los dos vectores tal cual con el símbolo de producto vectorial en medio. Después, para obtener la primera componente, tachamos la primera fila, nos vamos a la componente de u bajo el tachón, y multiplicamos en cruz con signo positivo. Después repetimos el proceso con la componente de v, pero con signo negativo:

La segunda componente se calcularía como:

Y la tercera, lógicamente:

Es una operación ciertamente fea, al menos cuando tenemos que explicarla fuera de la teoría de tensores (que no veremos aquí), pero también es una operación que aparece hasta en la sopa cuando uno trabaja con el campo magnético.
El producto vectorial genera un vector perpendicular a otros dos previos, como hemos dicho, pero el módulo que tiene y su sentido también contienen información relevante. Por ejemplo, si trazamos el plano que contenga a los vectores u y v, este siempre se puede mirar por dos lados. Pues bien, w siempre apuntará hacia el lado del plano desde el cual se vea que para moverse de u a v por el camino más corto hay que girar hacia la izquierda.
El módulo, por su parte, podemos comprobar fácilmente que es proyectar con el seno un vector sobre el otro, es decir, quedarse con la parte de u que es perpendicular a v. Vayámonos al caso de que los vectores sean, usando coordenadas polares:

Y, como se puede comprobar, si la diferencia entre los ángulos de u y v es de 90º, es decir, son perpendiculares, entonces el producto vectorial se anula. Podemos decir, por tanto, que el módulo del producto vectorial es:

Donde ese ángulo debe entenderse como el que hay entre los vectores que multiplicamos.
Si todo esto os suena a la expresión fea del momento angular vais por buen camino, pues ya entonces anticipé que estábamos tratando con algo llamado producto vectorial, y en venideros capítulos veremos hasta qué punto.
Por último, cabe destacar que el producto vectorial es anticonmutativo, es decir, si se multiplica al revés se cambia el signo:
![]()
Producto mixto.
A partir del producto vectorial podemos definir el producto mixto de tres vectores, el cual consiste en realizar un producto escalar tras uno vectorial (cosa que ya hicimos antes):

Aquí w ha dejado de ser el vector perpendicular de antes. Si el producto mixto resulta ser nulo y ninguno de los vectores lo es, la conclusión es que los tres vectores están en el mismo plano. Veamos por qué. Para que sea nulo existen dos opciones: o bien el producto vectorial lo es, o bien el producto escalar de w por dicho producto vectorial, y entonces vemos que:
- Si el producto vectorial ha sido nulo, entonces u y v son paralelos, y junto con w podrán estar contenidos en un plano.
- Si el producto escalar ha sido nulo, entonces w es perpendicular al vector perpendicular a u y v, con lo que está en el mismo plano que ambos.
Dado que en ambos casos el resultado es que están en un plano, podemos concluir que si el producto mixto es nulo todos coinciden en el mismo plano (o recta).
Cuando los vectores forman parte de un mismo plano se les denomina coplanarios o linealmente dependientes, y cuando no linealmente independientes. En espacios bidimensionales, todos los vectores son coplanarios por motivos obvios.
El producto mixto tiene la propiedad cíclica, de modo que las siguientes igualdades son ciertas:

El producto mixto se suele escribir, además, del siguiente modo:

Operación que surge en otros contextos y se denomina determinante. Cuando calculamos un producto vectorial o determinante estamos sumando todas las formas posibles de multiplicar un elemento de cada columna, con signo positivo en la mitad de los casos y negativo en la otra mitad. El determinante mide, en esencia, la perpendicularidad de los vectores de sus tres columnas. De modo que si resulta ser nulo, los vectores están contenidos en el plano y hay cierto paralelismo entre ellos (no apuntan en tres direcciones que generen un volumen).
Doble producto vectorial.
La cosa se complica cuando realizamos un producto vectorial al resultado de un producto vectorial. ¿Hay alguna otra forma de escribir esa operación? La hay, pero que sea más simple es dudoso:

La forma de comprobar que esta relación es cierta es trabajar con las componentes a lo loco y ver que, al final, se multiplican las mismas cosas y del mismo modo en ambos lados de la ecuación. Ahora bien, podemos tener un truco nemotécnico para recordar el cambio:
- El resultado del producto vectorial de w por otro vector tiene que ser perpendicular a w, con lo que el resultado podrá incluir sueltos a u y a v, pero no a w (en cuyo caso sería paralelo).
- En ambos paréntesis se multiplican los vectores que no son el que está fuera, y se hace de forma escalar, con lo que el orden de igual. Aunque, como veremos en un par de capítulos, si los vectores son derivadas el orden es importante.
- El vector que aparece al final en la primera ecuación es el que lleva el signo negativo.
En el próximo capítulo, acerca de fórmulas geométricas elementales de longitudes, áreas y volúmenes, veremos dos resultados muy importantes: el primero, que el producto vectorial representa en cierto modo un área, y el segundo, que el producto mixto representa un volumen. Pero antes, aconsejo practicar mucho con las actividades recomendadas.
ACTIVIDADES RECOMENDADAS
1. Obtén el producto vectorial de los vectores (1,0,1) y (0,1,0). Comprueba que es perpendicular a ambos multiplicándolo escalarmente por ellos.
2. Realiza el producto mixto, en este orden, de los vectores (1,1,0), (1,0,0) y (0,1,0). ¿Cuál es la conclusión? ¿Son linealmente dependientes?
3. Verifica la propiedad circular con los vectores del ejercicio anterior.
4. Verifica la igualdad del doble producto vectorial con los vectores (1,0,0), (0,1,0) y (0,0,1), operando primero de la forma a la izquierda de la ecuación y después con la de la derecha.
Categorías:Blog, Docencia, Estudiar Física de Bachillerato, Física
