4. TEORÍA DE CAMPOS TRIDIMENSIONAL
4.1. El producto vectorial
4.2. Las integrales de longitud, área y volumen
Longitudes, áreas y volúmenes elementales.
El objetivo de este capítulo es comprender las formas habituales de calcular las longitudes, áreas y volúmenes de cuerpos mediante las matemáticas. Todo ello será de utilidad para poder avanzar con calma posteriormente a través de los conceptos de circulación y flujo en la teoría de campos, los cuales se pueden volver muy tediosos si a su dificultad se le suma la de no conocer estas nociones de geometría.
Supongamos que comenzamos con un segmento de línea recta. Si la caracterizamos por su longitud a, estamos diciendo cuánto mide desde un extremo hasta el otro. Hasta aquí todo bien (si no tampoco me explico cómo habéis llegado hasta este capítulo).
Si montamos un rectángulo, y su base y su altura son a y b respectivamente, surge el concepto de área. El área de un rectángulo es, por definición, el producto de su base y su altura, de modo que obtendríamos:

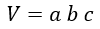
Si ascendemos a tres dimensiones y montamos un prisma de profundidad a, anchura b y altura c, surge el concepto de volumen, el cual se calculará multiplicando los tres lados:

Y, en general, cualquier longitud, área o volumen que queramos calcular tendrá que comprenderse a partir de estas tres fórmulas.
Longitudes, áreas y volúmenes tratando los lados como vectores.
Revisitemos los conceptos anteriores, pero ahora pensando en los lados de las figuras como si fuesen los vectores a, b y c con su dirección y su módulo. En primer lugar, el segmento representado por el vector a tendrá de longitud:

Si le pegamos el vector b, de modo que pueda tener cualquier dirección, entre los dos definirán un romboide, y para calcular su área deberemos multiplicar el lado a por la parte perpendicular de b, que haría las funciones de altura. Esto nos lleva a la conclusión de que el área se puede calcular fácilmente mediante el producto vectorial:

Y aquí, de paso, hemos definido el vector área, el cual será muy relevante para calcular flujos más adelante.
Por último, si al sistema le acoplamos un tercer vector c con cualquier ángulo con respecto a los primeros, nos interesará saber únicamente su parte perpendicular a ellos. Pero su parte perpendicular a ellos es lo mismo que su parte paralela al vector área (que es perpendicular a ellos), con lo que llegamos a un producto mixto:

Otra forma de decir lo mismo es que el volumen es el determinante de los tres vectores juntos, lo cual entraría en relación, como vimos el capítulo anterior, con el hecho de que si el determinante es nulo entonces los vectores están en un plano y no generan volumen.
Longitudes, áreas y volúmenes integrando en coordenadas cartesianas.
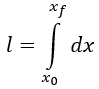
Enfoquemos ahora nuestro segmento como el conjunto de puntos que van desde el valor x=x0 hasta el valor x=xf. La longitud se podría calcular como una integral:

Si añadimos una segunda dimensión y consideramos que la figura también tiene anchura, entonces podemos calcular el área del rectángulo indicando cómo varía además la coordenada y:

Por último, añadiendo variaciones en la coordenada z tendríamos el volumen de un prisma:

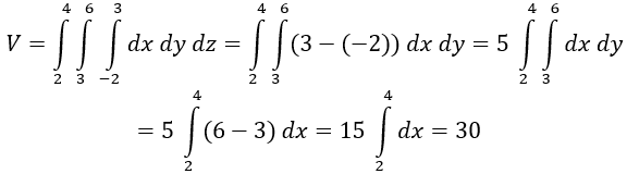
Veamos un ejemplo, haciendo las integrales por orden desde dentro hacia fuera.
Calcula el área del prisma definido por la región del espacio en la que x toma valores entre 2 y 4, y toma valores entre 3 y 6, y z toma valores entre -2 y 3.
Por supuesto, calcular un volumen tan sencillo (es el producto de 2, que es lo que mide el intervalo de x, por 3, que es lo que mide el intervalo de y, por 5, que es lo que mide el intervalo de z) con este método integral es matar moscas a cañonazos, pero ilustra muy bien de dónde parte lo que haremos a continuación. Nos adentramos en el mundo de las integrales relacionadas con círculos.
Coordenadas polares.
Las figuras se pueden complicar siempre todo lo que uno quiera (aunque no he explicado cómo se harían las integrales ni pretendo hacerlo a este nivel), pero todos los modelos con los que trabajaremos estarán simplificados y se reducirán a planos, circunferencias, cilindros o esferas, de modo que en general habrá mucha simetría en nuestros cálculos y las operaciones podrán expresarse con sencillez.
Las fórmulas que hemos visto en coordenadas cartesianas, no obstante, deben modificarse un poco cuando elegimos otro sistema, y vamos a empezar viendo lo que sucede en polares. Cuando trabajamos en polares, la posición se define del siguiente modo:

Y, a partir de esta expresión, podemos definir dos vectores que indican hacia dónde nos desplazamos al variar r y hacia dónde nos desplazamos al variar θ. Dichos vectores se calculan con derivadas parciales:

Si queremos calcular ahora la longitud que tiene un tramo cuando variamos r, debemos integrar la variación en r multiplicada por el módulo de su vector asociado. Esto es tanto como decir que la longitud es la derivada de la posición respecto a r integrada en r:

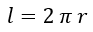
El resultado es sencillo: el desplazamiento que recorremos es idéntico a lo que haya variado r. Sin embargo, si variamos el ángulo la cosa se complica:

Y dado que una vuelta son 2*π rad, la longitud que se recorre al dar una vuelta completa es:

Para calcular el área de un círculo, por otra parte, deberemos recurrir al módulo del vector área, ¿pero cuál es el vector área en este caso? Pues dado que ∂r y ∂θ son nuestros vectores sobre el plano, al multiplicarlos vectorialmente lo obtenemos, del mismo modo que multiplicando a y b lo obtuvimos antes. En suma:

Aquí cabe destacar que hemos añadido una tercera componente nula a ambos vectores para poder realizar el producto vectorial, y también que si los hubiésemos multiplicado al revés habría salido con el signo opuesto (sin ningún inconveniente).
Y ahora ya estamos listos para calcular el área de un círculo de radio R:

Que coincide con la fórmula conocida.
Coordenadas cilíndricas.
Las coordenadas cilíndricas son relevantes a partir de las tres dimensiones, y son una extensión de las coordenadas polares donde simplemente se añade la coordenada z. El resultado es la siguiente expresión para las posiciones:

Surgen de forma natural los siguientes tres vectores, coincidiendo los dos primeros con las coordenadas polares:

El primero marca la dirección que se aleja del eje vertical, el segundo la dirección de giro respecto al mismo, y el último la dirección de ascenso por el mismo. Vamos a obviar las integrales de longitud y centrarnos en las figuras tridimensionales que se pueden producir con estas coordenadas de forma sencilla.
Manteniendo la coordenada r constante e igual a, digamos, R, se genera un cilindro con ese radio centrado en el eje z. Si sobre dicho eje, el cilindro llega desde la altura 0 hasta la altura h, entonces el área de su tapa lateral se puede calcular con el método que vimos para la circunferencia. Obviando el vector asociado a r, ya que estando sobre la superficie del cilindro no varía esa coordenada, podemos obtener el vector área e integrar:

Y, como novedad, para calcular al volumen deberemos recurrir a integrar el valor absoluto del producto mixto de los tres vectores, o su determinante:

Queda así comprobado que las fórmulas que estamos empleando tienen su sentido y dan resultados coherentes.
Coordenadas esféricas.
Las últimas coordenadas que conviene conocer son las que se usan, de hecho, para describir posiciones sobre la Tierra. Estamos muy acostumbrados a que en los mapas navales se hable de altitud y longitud. La altitud o ángulo polar es un ángulo φ que mide el ángulo de elevación de un punto con respecto al ecuador, y la longitud o ángulo ecuatorial es otro ángulo θ que mide el ángulo de desviación paralela al ecuador que se tiene desde el meridiano de Greenwich. El resultado es que las posiciones se expresan del siguiente modo:

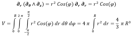
El módulo de este vector es r, resultado que se puede verificar con manejo de trigonometría y el noble arte de sacar factores comunes. Y de esta fórmula se obtienen tres vectores: el que aleja del origen de coordenadas, el que gira alrededor del ecuador y el que gira hacia el polo norte.

Para calcular el área de la esfera de radio R, tendremos en cuenta que el ángulo ecuatorial va desde 0 rad hasta 2*π rad, mientras que el ángulo polar va desde -π/2 rad, el polo sur, hasta π/2 rad, el polo norte:

Es decir, que el área de una esfera es cuatro veces la de un círculo con el mismo radio. Por último, analizamos el volumen:

Y hay muchas cosas más que podríamos tratar sobre todas estas cuestiones, pero considero que es irse demasiado por las ramas con respecto a lo que hace falta conocer, así que este capítulo lo dejaremos por aquí. Las ideas principales son que para calcular longitudes, áreas y volúmenes es necesario conocer los vectores directores en cada dirección, el vector área y el producto mixto.
En el siguiente capítulo hablaremos del cálculo de circulaciones de campos vectoriales a través de curvas, para lo cual necesitaremos la integral de longitud que hemos visto aquí. Además, definiremos de nuevo el concepto de trabajo termodinámico y veremos qué sucede cuando un campo vectorial no es conservativo (no se le puede asignar un potencial del cual proceda), lo cual sucede con el siempre molesto campo magnético.
ACTIVIDADES RECOMENDADAS
1. Repite todas las operaciones que se han planteado en este capítulo con calma y sin saltar ningún paso de los que se han obviado.
2. Empleando el vector ∂θ en coordenadas esféricas, calcula la longitud de un paralelo a una latitud de 60º sabiendo que el radio de la Tierra es de 6,37*10^6 m.
3. Repite el ejercicio anterior con una latitud de 90º (el polo norte). Comprueba que el paralelo tiene una longitud nula, ya que consiste en un único punto.
4. Verifica que, en todos los sistemas de coordenadas que hemos visto, los vectores principales son perpendiculares entre ellos, es decir, que sus productos escalares son nulos.
Categorías:Blog, Docencia, Estudiar Física de Bachillerato, Física

