En la entrada anterior vimos cómo se podía introducir el campo electromagnético en su formulación tensorial y concluimos introduciendo las ecuaciones de ondas de campo eléctrico E y magnético B y vimos que ambas se propagaban con la misma velocidad c. Sin embargo, todo lo que desarrollamos fue exclusivamente para el vacío o, dicho de otro modo, para el espacio sin materia. Debido a esa simplificación, en esta entrada tendremos que reintroducir las mismas ecuaciones y ver cómo se transforman en presencia de materia.
Ecuaciones de Maxwell Generales:
Las 2 ecuaciones de Maxwell homogéneas (la Ley de Faraday y la de Divergencia Nula), al no depender de las fuentes del campo, se mantienen idénticas:

, sin embargo en las otras dos tenemos cambios importantes.
.-Ley de Gauss General y Polarización:
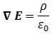
En el vacío podíamos definir esta ley de la siguiente forma:
, donde μ0 era la permeabilidad magnética en el vacío y ρ la densidad de carga, pero no fue así como se definió en un principio para el vacío sino del siguiente modo (recordemos que en la entrada anterior partimos de la meta para desarrollar lo básico):
, donde ε0 es lo que se conoce como permitividad dieléctrica del medio, que hasta ahora no habíamos visto necesario introducir. Esto tiene mucho más sentido, por otra parte, que que la divergencia de E dependa de la permeabilidad magnética, pero además nos aporta una relación que después justificaremos teóricamente:
La velocidad de la luz en el vacío está determinada por las características eléctricas y magnéticas del medio en el que se propaga (en este caso el vacío).
Cuando el medio no es el vacío, la permitividad dieléctrica puede tomar valores mayores que ε0 y entonces aparece un campo de polarización P que nos da a entender que las cargas del medio están orientándose con el campo E. Este campo cumple la ecuación:
, de donde se deduce evidentemente que si ε es idéntica a ε0 no hay polarización (estamos en el vacío). Surge junto al campo P también una densidad de carga polarizada ρp que debemos sumar a la carga libre ρf (la ‘f’ es de free/libre en inglés):
, donde hemos tenido en cuenta que la densidad de carga polarizada sería sumidero del campo P, y por tanto ha de ser equivalente al opuesto de su divergencia (más polarización debe implicar menos densidad de carga al crear dipolos que la cancelan). Esto nos permite expresar de otra forma la ley de Gauss:
Llegados a este punto es muy natural introducir el campo D de desplazamiento eléctrico:
, y finalmente la ley de Gauss en su versión más general se expresa como:
La divergencia de D es idéntica a la densidad de carga libre. Podemos, además, expresarla según E:
.-Ley de Ampere General y Magnetización:
Por su parte, la ley de Ampere en el vacío la habíamos introducido como:
, si bien originalmente debería haberse escrito:
En esta ocasión, hay que considerar que si el medio no es el vacío la permeabilidad magnética también puede superar μ0 dando lugar a un campo de magnetización M que cumple:
Así, si el medio es magnético, la densidad superficial de corriente se descompone en la libre y la de magnetización:
Y esto nos permite, igual que sucedía con la ley de Gauss, transformar un poco la ley de Ampere:
, donde ya hemos considerado que ε no tiene por qué ser constante. Ahora introducimos intuitivamente el campo H de excitación magnética:
, que nos deja la ley de Ampere de la forma:
El rotacional de H es generado por la corriente libre y la variación de la corriente de desplazamiento. Si queremos verla según los campos típicos:
En resumen, las ecuaciones inhomogéneas de Maxwell generalizadas surgen de considerar las distintas propiedades electromagnéticas de los medios y podemos expresarlas de 2 modos: según los campos E y B, o según los campos D y H.
Índice de Refracción:
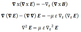
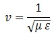
Obtengamos ahora la ecuación de ondas a partir de las ecuaciones generalizadas sin densidades de carga o corriente libres:
, y para el campo magnético sabemos de la entrada anterior que el resultado sería análogo. Si nos fijamos, la velocidad v de esta onda se tendría que definir por consistencia como:
Ahora bien, como experimentalmente μ y ε siempre son mayores que μ0 y ε0 respectivamente se cumple que la velocidad de la onda electromagnética en cualquier medio material es siempre mayor que la velocidad de la luz c en el vacío:
Y si la onda electromagnética, que no tiene masa, tiene una velocidad límite c, lo más lógico sería pensar que los cuerpos que sí tienen masa no deberían superar en ningún caso dicha velocidad. De esta idea partió la teoría de la relatividad.
Visto esto, definimos el índice de refracción del medio como la relación entre ambas velocidades (y siempre será mayor que 1):
Toda la entrada anterior se podría reescribir íntegramente intercambiando c por v y μ0 por μ.
Principio de Fermat:
En virtud del razonamiento que acabamos de hacer, el principio de Fermat nos dice que la luz, al ir desde un punto A hasta otro punto B siempre toma las rutas que le llevan el menor tiempo posible.
Por otra parte, sabemos de la lagrangiana relativista que los cuerpos tienden a minimizar la longitud de su línea de universo. Es decir, el principio de Fermat se deduce de la relatividad: la luz minimiza su camino óptico al ir desde A hasta B.
¿Pero qué es el camino óptico de la luz? El producto de la velocidad de la luz en el vacío c y el tiempo que está propagándose según un observador externo:
, donde l representaría la distancia recorrida según dicho observador.
Ley de Snell:
Una consecuencia directa del principio de Fermat es una de los fenómenos más elementales de la óptica geométrica: la refracción.
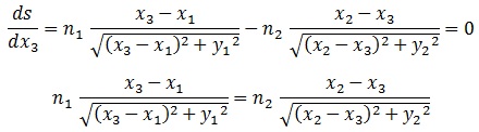
Supongamos el plano xy. Supongamos que para valores positivos de y el índice de refracción es n1 y que para valores negativos es n2. Consideremos ahora el punto A (x1, y1) y el punto B (x2, y2), siendo y1 positivo (medio 1) e y2 negativo (medio 2).
Ahora, como se muestra en el dibujo, desde A se lanza una onda luminosa que tiene que llegar a B minimizando su camino óptico. Dicha onda se moverá en línea recta en ambos medios, pero en el punto de contacto indeterminado C (0, x3) cambiará su inclinación:
Para determinar x3 tendremos que obtener el camino óptico en función de este aplicando el teorema de Pitágoras para obtener las distancias entre los puntos:
, y ahora la derivada de s con respecto a x3 debe ser nula para garantizar un mínimo en el camino óptico:
, que por trigonometría expresamos como la conocida ley de Snell:
El ángulo de desviación con respecto a la dirección perpendicular a la superficie disminuye al aumentar el índice de refracción y viceversa, de forma que si la onda electromagnética va a moverse de un medio con índice de refracción n1 elevado va a pasar a otro con índice n2 más bajo, existirá un ángulo de incidencia para el que se refleje por completo (desviación de 90º):
No hago mucho hincapié en estos conceptos porque procederán más cuando escriba sobre óptica, pero está bien comentarlos por encima.
Radiación Cherenkov (Ondas de Choque):
En la física de las ondas hay un efecto muy interesante como es el de las ondas de choque. En general, todo el mundo conoce las dos ondas básicas, que son la electromagnética y la del sonido, y sabemos que la velocidad de propagación de ambas depende del medio.
Si estas ondas son emitidas por un cuerpo en reposo, se propagan esféricamente de modo que la intensidad de un frente de onda no se superpone con el emitido «inmediatamente después» (va por delante). Si el cuerpo se moviese a pequeñas velocidades (en comparación con la de la onda que emite), esto seguiría siendo completamente cierto (que un frente de onda va por delante del que se emite después).
Sin embargo, cuando el emisor iguala o supera la velocidad de la onda, se produce una superposición entre los distintos frentes conocida como onda de choque. Bien conocido es el caso de los aviones que superan la barrera del sonido:
Ahora bien, del mismo modo que tenemos este efecto cuando un cuerpo se mueve más rápido que el sonido, deberíamos tener uno análogo cuando un cuerpo se mueve más rápido que la luz que emite. ¡Y esto no es ciencia ficción, recordad que para algo hemos escrito todo lo anterior en esta entrada! La velocidad de la luz se reduce considerablemente en medios como el agua, lo que permite que dentro de esta las partículas se puedan mover más rápido que ella y mientras emiten radiación produzcan una onda de choque luminosa. Esta onda de choque se conoce como Radiación Cherenkov, y es vital para detectar las partículas más elementales moviéndose dentro de un medio dieléctrico. Concretamente, veremos próximamente cómo en Súper-Kamiokande se benefician de ella.
Categorías:Carrera, Electromagnetismo, Física, Relatividad







