Carrera

Demostración de las reglas elementales de derivación.

Derivada

Por petición, voy a hacer un inciso en la línea que estaba llevando el blog y dedicar esta ocasión a demostrar todas las reglas de derivación elementales a partir de tres puntos de partida, que serán la definición de derivada, la definición funcional del número e y la ecuación de Euler de los números complejos.

Técnicamente es contenido de carrera dado que estas cosas yo las di en Métodos Matemáticos I, si bien gran parte de lo expuesto se ve en el instituto. En todo caso, esta no será una entrada sobre qué es derivar sino sobre cómo demostrar la forma mediante la cual se derivan diversas funciones.

La definición de derivada:

Supongamos que tenemos una función f que depende del parámetro x y nos interesa conocer cómo varía a medida que se modifica el valor de x en una cantidad diminuta, digamos, h. Podríamos hacer la resta entre el valor de f(x+h) y el valor de f(x) y eso nos daría dicha tasa de variación.

Si después dividimos la tasa de variación entre h, en una gráfica de f frente a x estaríamos calculando la pendiente de la recta que une los dos puntos calculados. Esto se denominaría tasa de variación media.

Y la derivada f’ es la tasa de variación media cuando, como impuse aquí al principio, h es diminuto:

Definición derivada

La derivada de una constante:

Si una función es igual a una constante a, su derivada es evidentemente nula dado que su valor no depende en absoluto de x y, por tanto, el numerador en la definición es nulo:

Derivada constante

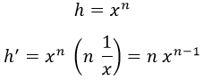
La derivada de una potencia:

Antes de analizar esta en detalle, primero recordemos cómo es la fórmula generalizada de la suma de a y b elevada a n:

Potencia suma

Aquí hay que comentar varias cosas. La primera que los signos de exclamación son factoriales (el producto del número por todos los anteriores al mismo). La segunda que en el último paso encerramos en el último término todos los sumandos que incluyan b elevado a 2 o potencias superiores. El factorial de 0, recordemos, no es 0 sino 1:

Factorial

Teniendo esta fórmula en mente, la derivada de la potencia n-ésima de x se calcula del siguiente modo:

Derivada potencia

En el último paso nos cargamos todos los términos que involucren a h porque es prácticamente nula en el límite considerado.

El resultado es correcto para cualquier valor de n, si bien la expresión con factoriales requeriría mayor complejidad. Un poco más abajo la demostraremos de nuevo para cualquier número.

Derivada de la suma:

Si h es la suma de las funciones f y g, dado que el límite de una suma es la suma de límites con las derivadas sucede lo mismo:

Derivada suma

Obviamente esto incluye las restas, dado que fg pueden tener cualquier signo.

Derivada del producto:

Si, por el contrario, h es el producto de las funciones f y g, podemos obtener su derivada aplicando en el límite que podemos sumar y restar f(x) g(x+h) y separar la fracción en dos a conveniencia:

Derivada producto

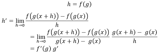
Regla de la cadena:

Supongamos ahora que h se puede expresar como una función f que depende de otra g, y que esta segunda, a su vez, depende de x. Podemos hacer un truco parecido al de la demostración anterior multiplicando y dividiendo por lo mismo para concluir que:

Regla cadena

En el último paso hemos tenido en cuenta que, dado que f depende de g y no de h, su tasa de variación media requiere dividir por g(x+h)-g(x) en vez de por h. La regla de la cadena nos dice, en esencia, que la derivada en este caso es la derivada de f respecto a g por la derivada de g respecto a x. Multiplicar por la segunda es «el precio a pagar» por no derivar respecto a x la función f.

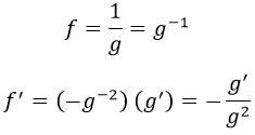
Derivada de la función inversa:

Supongamos que f es la función inversa de g (no en el sentido que le suelen dar los matemáticos, sino en el de que multiplicadas dan 1). Tras reescribirla como g elevada a -1, podemos obtener su derivada mediante la regla de la cadena derivando primero la potencia de g y después g:

Derivada inversa

Derivada del cociente:

Si h es el cociente entre f y g, teniendo en cuenta la derivada del producto y la de una función inversa, podemos obtener de golpe la expresión de la derivada del cociente considerando el producto entre f y g elevada a -1:

Derivada cociente

Definición del número e:

Si h es una función exponencial crecerá de forma proporcional a sí misma. Sabiendo esto cabe preguntarse qué función cumple ser igual a su derivada, y la respuesta es que cualquiera que sea proporcional mediante un factor constante a a cierto número elevado a x. Dicho número es conocido como e, y tiene un valor aproximado de 2,7. Por tanto tenemos, por definición, que si cualquiera de las siguientes cosas son iguales, ambas lo son a la tercera:

Definición exponencial

Es decir, que tenemos el único tipo de funciones que derivadas no alteran su forma. No demostraremos que e es el único número que permite hacer esto sino que lo impondremos como axioma para definirlo.

Derivada de la exponencial:

Consideremos ahora que f es un número a cualquiera elevado a x, en vez de e. Podemos obtener su derivada aplicando propiedades de logaritmos y la regla de la cadena:

Derivada exponencial

Nótese que si a es e, el logaritmo que aparece vale 1 y recuperamos el apartado anterior.

Derivada del logaritmo:

Supongamos que f es el logaritmo de x. Usando sus propiedades podemos reducir la cuestión a un problema de funciones exponenciales y derivar así:

Derivada logaritmo

Derivada de una función elevada a otra:

Si h es f elevada a g, podemos obtener su derivada usando consecutivamente las propiedades de logaritmos y la regla de la cadena junto con la derivada del producto para llegar a que:

Derivada general

Esta expresión final sirve para volver a demostrar la derivada de una potencia, ahora sí, para cualquier valor de n:

Derivada potencia 2

Derivada de la base del logaritmo:

Esta no suele aparecer nunca, o al menos a mí nunca me ha salido en ningún sitio, pero es interesante conocerla por si algún día nos entra la duda con ella o, en su caso si aún sois estudiantes, un profesor decide retaros con ella.

Para derivar la base de un logaritmo simplemente hacemos un cambio de base y seguimos con el protocolo habitual:

Derivada base logaritmo

Derivadas del coseno, el seno y la tangente:

Usando la ecuación de Euler, podemos definir el seno y el coseno del siguiente modo:

Coseno y Seno

Ambas funciones, juntas, cumplen que:

Derivadas coseno y seno

La tangente, por su parte, cumple:

Derivada tangente

Derivadas del arcoseno, el arcocoseno y el arcotangente:

La derivada del arcoseno se obtiene considerando que el seno del arcoseno de x es exactamente x y aplicando la regla de la cadena:

Derivada arcoseno

En el último paso hemos usado la relación entre seno y coseno para estimar cuánto vale el coseno de un ángulo del que conocemos el seno.

Teniendo esta derivada, podemos obtener fácilmente la del arcocoseno y el arcotangente usando las expresiones de ambas funciones en función del arcoseno, como en la última cuenta:

Derivadas hiperbólicas:

Las funciones trigonométricas hiperbólicas se definen como:

Coseno y Seno hiperbólicos

Y cumplen:

Derivadas coseno y seno hiperbólicos

Teniendo esto, la derivada de la tangente hiperbólica es:

Derivada tangente hiperbólica

Por último, con los arcos procedemos como en el caso anterior, reduciendo unos a otros:

Categorías:Carrera, Matemáticas

18 respuestas »

      • Mi profesor de la U jura de guata que si Se puede y nos dio ese desafío, yo e intentado de todo pero no e podido sacarla por definición por que según él quedaría algo así
        Lim cuando H tiende a cero de (((x+H)^x+H)-x^x) todo esto dividido por H
        Pero al plantear la derivada y empezar los despejes no solucionó ver cómo lograrlo. Estoy empezando a pensar que no tiene solución con derivada por definición y solo nos dijo eso para calentarnos la cabeza.

      • Hola Javier, es que lo que quiere que hagáis es una locura y jamás se enseña. Te explico los pasos.

        Escribimos la expresión del límite:

        [1] Lim (((x+h)^(x+h)-x^x)/h) cuando h tiende a 0

        Nos centramos en la primera parte del numerador:

        [2] (x+h)^(x+h)

        Sacamos fuera del paréntesis de abajo una x:

        [3] x^(x+h)*(1+h/x)^(x+h)

        Aplicando que podemos multiplicar y dividir el exponente del segundo paréntesis por h, sale:

        [4] x^(x+h)*((1+h/x)^((x+h)/h))^h

        Y en el límite en el que h tiende a 0, podemos decir que:

        [5] (1+h/x)^((x+h)/h)=e (definición de número e)

        Lo cual deja [4] del siguiente modo:

        [6] x^x*x^h*e^h

        Al restarle a [6] x^x sale:

        [7] x^x*(x^h*e^h-1)

        Ahora tenemos en cuenta que:

        [8] x^h=e^(h*log(x))

        Lo cual permite reescribir [7] como:

        [9] x^x*(e^(h+h*log(x))-1)

        Y en el límite en el que h tiende a 0, la exponencial se puede reescribir como:

        [10] x^x*(1+h+h*log(x)-1)

        Lo que deja el numerador como:

        [11] h*x^x*(1+log(x))

        La h se cancela con la del denominador y, voila:

        [12] x^x*(1+log(x))

        Pero ya te digo que no es nada habitual enseñar estas artes oscuras.

      • Hola Adrián, gracias por responder mi duda, le mostré el ejercicio a mi profeso en la universidad y me dice que, después del punto 2 de tu explicación quedaría así:
        Sabiendo que tenemos a
        ((X+h)^(x+h))-x^x
        Tomando a:
        (X+h)^(x+h) esto quedaría :
        ((X+h)^x)((x+h)^h) y así seguimos resolviendo todo lo demás:
        Crees que es así o no Adrián?

      • A ok gracias, ósea mi profesor solo quiere por sumetido independiente si este bien el que tu amable mente me comentaste. Gracias por la aclaración.
        Si es que puedes me podrías decir como queda por el método que él dice. Si es que no te molesta claro.
        Gracias por todo me sirvió mucho tu publicación de derivadas. Y e visto otros de tus artículos, me parecen muy útiles e interesantes.
        Saludos.

      • Hola Javier,

        Si partes del paso que te ha dicho puedes hacer todo exactamente igual que como puse yo. El término de la derecha es prácticamente 1 por estar elevado a h, y con el de la izquierda haces lo que hice yo en [3], [4] y [5]. Que el exponente sea x y no x+h es irrelevante.

      • Hola Adrián. Disculpa tienes algún correo donde poder enviarte el ejercicio y poder entender el paso a piso como quedaría? Te lo agradecería mucho si no es demasiada molestia. Soy nuevo en esto de derivadas y me interesa mucho el tema pero este ejercicio me tiene muy confundido

      • Tienes puesta la información en la sección «Contacto». De todos modos, tengo por costumbre no ayudar con los deberes porque si no se abusa. Si me vas a mandar una imagen vale, pero si quieres un seguimiento continuado ya habría que ver.

      • No si es solo este ejercicio que no logro sacar, no es un deber o algo evaluado. No me gusta quedar con duda y por eso te preguntaba , ok veré si puedo mandarlo. Si me ayudas está bien, si no igual te agradezco todo el tiempo que te as tomado.

  1. Mil gracias , por explicarlo paso a paso ahora entiendo ,
    Me imaginé que nos pedía algo fuera de lugar y por lo visto si lo es. Pero muchas gracias por tomarte el tiempo de explicarlo 👍🏼

Preguntas, correcciones y debate son bien recibidos.