En la última entrada sobre cuerdas vimos que podíamos cuantizar sus oscilaciones de modo que se obtenía una cierta estructura matemática de conmutadores para las mismas. Dentro de dicho análisis, no comentamos en ningún momento cómo son los conmutadores elementales de los operadores de Virasoro. Estos resultan, sin embargo, cruciales para obtener la cantidad de dimensiones espaciales que requiere la teoría, por lo que es necesario comentarlos en detalle. En esta nos dedicaremos casi de forma exclusiva a obtener el conmutador entre dos de dichos operadores, cuya deducción no es ni obvia ni breve. No obstante, esta entrada podrá ser de mucho interés para quienes les guste hacer cuentas con matemáticas liosas.
Repaso de definiciones:
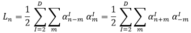
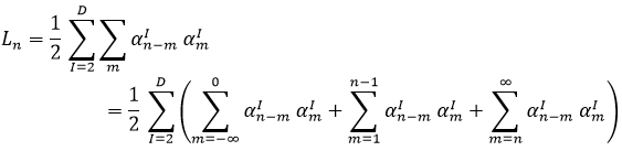
Dados todos los osciladores αnI asociados a la frecuencia n de oscilación en la dirección trasversal a la cuerda I, los operadores de Virasoro Ln se definían como:
Las dos expresiones son equivalentes porque en conjunto barren los mismos valores de m.
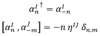
Los osciladores, por su parte, tenían la siguiente relación mediante adjuntos y conmutador:
Adjuntos de Virasoro:
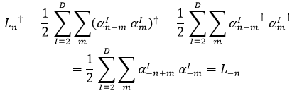
Teniendo en cuenta las relaciones anteriores y que el adjunto de un producto es el producto invertido de adjuntos, es directo verificar que el adjunto de Ln es L-n:
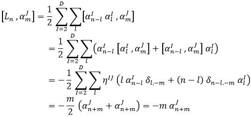
Conmutador entre un operador de Virasoro y un oscilador:
De nuevo, teniendo en cuenta las definiciones y las propiedades de los conmutadores resulta directo obtener la siguiente expresión:
La cual será muy útil para el apartado siguiente.
Conmutador entre dos operadores de Virasoro tales que uno no sea adjunto del otro:
Usando la relación recién obtenida, podemos obtener trivialmente que:
Si los operadores de Virasoro en consideración fuesen adjuntos el último paso sería erróneo, siendo necesario reordenar lo que sale de los conmutadores al no conmutar los osciladores entre ellos en todos los casos. Veremos esto en detalle después.
Si no son adjuntos, sin embargo, en principio podríamos cambiar l por l-n y sumar con este pequeño desplazamiento en el primer término, lo que daría como resultado:
Y este sería el resultado para operadores de Virasoro no adjuntos entre ellos. Obviando que además de ser adjuntos fuesen el operador fundamental con n igual a 0, en cuyo caso también estaría bien.
Otras expresiones para los operadores de Virasoro:
Antes de ver por qué con operadores adjuntos el resultado sería otro veamos otra forma de trabajar con los operadores de Virasoro.
Consideremos Ln. Podemos descomponer sus términos de la siguiente forma:
A partir de aquí, si n no es nulo podemos asegurar que todos los osciladores que aparecen multiplicados conmutan, con lo que es cierto lo siguiente:
En la última igualdad hemos cambiado m por n-m.
Gracias a esta igualdad, y teniendo en cuenta la descomposición previa, podemos reescribir el operador de Virasoro del siguiente modo, que denotaré por expresión compactada:
Análogamente, la expresión compactada de su adjunto sería:
Nótese que solo hemos reordenado y cambiado signos de los osciladores.
A deshacer estas expresiones y recuperar las originales lo llamaré «descompactar» más adelante.
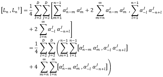
Conmutador entre operadores de Virasoro adjuntos:
Teniendo en cuenta esto, podemos decir que:
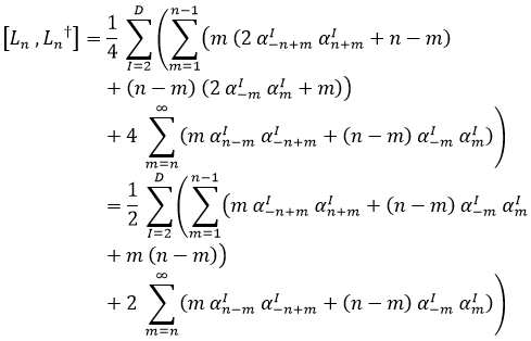
En la última igualdad tenemos un paréntesis que involucra dos términos de sumatorios de conmutadores. Calculemos en detalle primero el segundo:
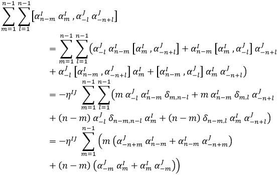
En la última igualdad nos cargamos dos términos porque teniendo en cuenta el rango de valores accesibles para m y l no puede ser que m sea igual a n-l y que l sea igual a n-m. Los otros dos sumandos sobreviven.
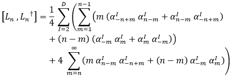
En el otro sumatorio, sin embargo, no se cancela nada y sobreviven los cuatro sumandos:
Teniendo en cuenta estos resultados, llegamos a que:
Ahora bien, dentro del primer término es posible reescribir cosas teniendo en cuenta que:
Llegamos por tanto a la siguiente expresión:
Y ahora podemos juntar lo que tienen en común el primer sumatorio y el segundo para «descompactar» y llegar a que:
Ya queda poco. A partir de esta expresión podemos reetiquetar el primer término del segundo sumatorio cambiando m por n+m, de modo que finalmente obtenemos:
Y con esto quedaría demostrada la dependencia del conmutador con el número de dimensiones al haber sumado sobre todas las trasversales en el último paso. Por otra parte, en el otro sumatorio hemos ascendido el último valor de n-1 a n porque, total, este se cancela de forma evidente.
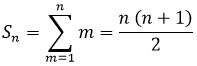
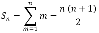
Pero aún no hemos acabado. Hay que arreglar un poco dicho sumatorio que ha quedado para que estorbe menos. La suma de los números naturales desde 1 hasta n se calcula mediante la siguiente fórmula:
Esta fórmula es evidentemente cierta cuando n vale 1, y si para n es cierta, también lo es para n+1, con lo que queda demostrada por inducción:
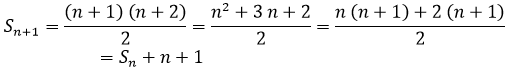
Por otra parte, la suma de los cuadrados de todos los números naturales desde 1 hasta n es:
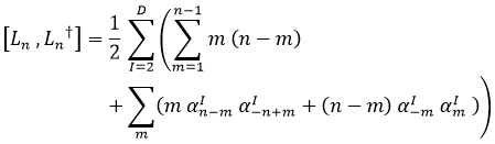
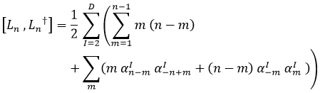
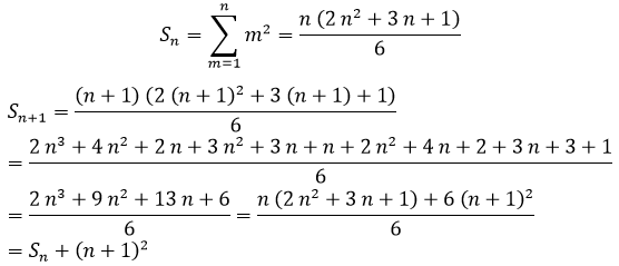
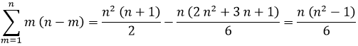
Sabiendo esto, se infiere que:
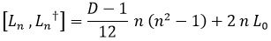
Y finalmente nuestro resultado anhelado es, exactamente:
Contrariamente a la predicción que habríamos hecho con la otra fórmula para no adjuntos, que omitiría el primer término.
Conmutador de Virasoro generalizado:
Como conclusión, podemos escribir el conmutador para operadores adjuntos y no adjuntos fijando como condición que para que aparezca el término dimensional es necesario que sean adjuntos:
Y en la próxima entrada sobre el tema, ya sí, usaremos esto para demostrar que la cuantización de cuerdas que hemos hecho requiere de 25 dimensiones espaciales.
Categorías:Física, Matemáticas, Teoría de Cuerdas

























