Durante la educación obligatoria, todos aprendemos a resolver las ecuaciones de segundo grado y las bicuadradas, sin embargo siempre quedan abandonadas las de tercer grado. En gran medida porque no suelen aparecer en ningún problema tipo frecuente, supongo.
No obstante, la resolución de dichas ecuaciones se conoce desde hace casi 500 años y no está de más, para alguien con formación científica, dedicar un rato a ver cómo se obtuvo. Particularmente si se es de los pocos que la tienen que resolver eventualmente.
Escribo esta entrada sobre el método de Cardano por dos motivos. El primero de ellos que es necesaria para analizar las órbitas en torno a agujeros negros cargados. El segundo el propio interés intrínseco que tiene la cuestión, estando relacionada con el estudio de los números complejos.
El método de Cardano para la resolución de una ecuación cúbica:
Supongamos que tenemos una ecuación de la forma:
1, Reducción a una ecuación sin término cuadrático:
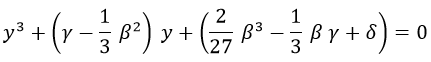
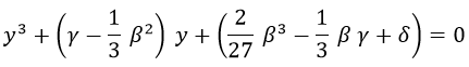
Si dividimos todos los términos por a y los redefinimos usando letras griegas, esta ecuación es equivalente a:
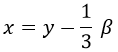
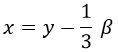
A partir de aquí, es posible realizar el siguiente cambio de variable para pasar de x a y:
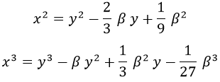
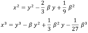
Que lleva asociadas las siguientes expresiones:
Sustituyendo:
Y, teniendo esto, resulta muy cómodo reescribir introduciendo las constantes C y B:
Aquí hemos llegado a una conclusión muy importante: toda ecuación cúbica con cuatro constantes se puede reducir a otra con dos y en la que falte el término cuadrático.
2. Reducción a una ecuación bicuadrada:
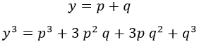
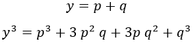
Teniendo la cúbica reducida al paso anterior, podemos cambiar y por la suma de p y q de forma genérica:
Esto deja la ecuación del siguiente modo, tras sacar factores comunes:
Y lo bueno de este cambio es que como lo único que tienen que cumplir obligatoriamente p y q es sumar y, podemos añadirles a dedo otro requisito. Por ejemplo, que anulen el primer paréntesis, para lo cual es necesario que:
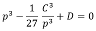
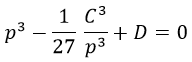
Y llegamos a:
Que puede reescribirse fácilmente del siguiente modo:
Y esta es una ecuación bicuadrada de la que se puede resolver p3 como si fuese la incógnita de una ecuación de segundo grado. Cabe destacar, no obstante, que q3 tiene que cumplir la misma ecuación porque la sustitución fue arbitraria y podríamos haberlo hecho al revés. De hecho, p3 y q3 serán las dos soluciones de la bicuadrada.
3. Cálculos finales:
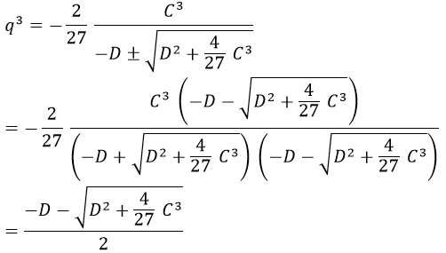
Al resolver p3 con el signo positivo en la solución de segundo grado, obtenemos:
Puede comprobarse aquí fácilmente que q3 coincide con la solución de signo negativo:
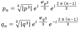
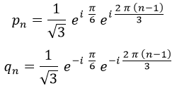
Dado que p3 y q3 pueden ser complejos, conviene calcular su módulo y su fase:
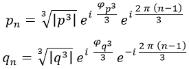
De modo que podemos obtener la raíz cúbica de ambos fácilmente usando la ecuación de Euler:
Donde n puede valer 1, 2 y 3 y sirve para calcular las 3 soluciones de la raíz cúbica.
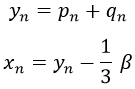
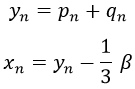
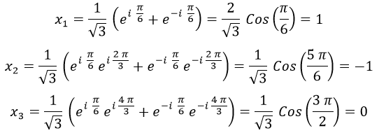
Teniendo estas expresiones, los valores yn y xn se calculan directamente usando las siguientes ecuaciones:
Ejemplo:
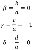
Cojamos uno de los casos más elementales de ecuación cubica en el que las tres soluciones son 0, 1 y -1, Dicha ecuación es:
Sus constantes, usando la nomenclatura de arriba, serían:
Tras simplificar, como a es 1 quedarían igual:
De hecho, como la ecuación ya no tenía término cuadrático x e y son iguales.
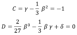
Teniendo esto, C y D serían:
Con lo cual:
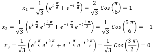
Y sus raíces cúbicas son:
Siendo por tanto las tres soluciones:
Categorías:Física, Matemáticas

























Una duda que significa Re e Im
Parte real e imaginaria. Son números complejos.