2. TEORÍA DE CAMPOS UNIDIMENSIONAL
2.1. La energía potencial
2.2. La conservación de la energía
Energía cinética.
En el capítulo anterior explicamos la gran relevancia que tenía la energía potencial para explicar fenómenos físicos, haciendo hincapié en que todo se resume en que los sistemas intentan reducirla. Pero cuando los cuerpos comienzan a moverse para reducir su energía potencial, ¿qué se crea? La respuesta rápida es movimiento, y la que nos ocupará en esta ocasión energía cinética.
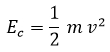
La energía cinética es una magnitud física que no tendría el más mínimo interés de no ser porque actúa como alter ego de la energía potencial y tienen las mismas unidades. Su fórmula, que es como la voy a escribir porque funciona, tiene el siguiente aspecto en física clásica:

Es decir, la energía cinética es la mitad del producto de la masa por el cuadrado de la velocidad. Cabe destacar de ella las siguientes propiedades:
- Si un cuerpo no tiene masa o velocidad, no puede tener energía cinética.
- Dado que la masa nunca es negativa y el cuadrado de la velocidad tampoco, la energía cinética nunca puede ser negativa. Solo nula o positiva.
La primera propiedad resulta ser falsa cuando nos adentramos en la física relativista de Einstein, ya que descubriremos que las partículas sin masa sí tienen energía cinética, pero es útil aprender a manejarse con esta versión de la ecuación primero. En lo referente a la segunda, también hay situaciones raras en contexto relativista donde se podría poner en tela de juicio.
En el SI la masa se tiene que medir siempre en kilogramos (kg), y la velocidad en metros por cada segundo (m/s). Por tanto, realizamos aquí un primer descubrimiento. Por un lado, debido a la fórmula, las unidades de la energía cinética deben ser kilogramos multiplicados por metros cuadrados y divididos por segundos cuadrados. Pero por el otro, al ser una energía, tiene que poderse medir en julios. Así que tenemos que ambas cosas son equivalentes:

Por qué la energía cinética tiene que tener este aspecto es algo que trataremos con más detalle en el siguiente capítulo, e involucra el cálculo integral.
Teorema de las fuerzas vivas.
Ya tenemos la energía potencial y sabemos que esta se convierte en energía cinética a medida que se va reduciendo. ¿Cómo escribimos esto en una ecuación? La forma más correcta pasa por la noción de derivada. No obstante, antes de meternos en derivadas vamos a escribirlo de forma sencilla. Lo que queremos decir es que la variación de energía cinética siempre es opuesta a la variación de energía potencial. Empleando el signo Δ (delta) para denotar que hay una variación, quedaría así:

Si un cuerpo reduce su energía potencial, es decir, tiene una variación negativa, su energía cinética aumentará, es decir, tendrá una variación positiva. Y viceversa. Si la energía potencial aumenta, la energía cinética disminuye. Por ejemplo, si la variación de energía potencial fuese de -3 J, el aumento de energía cinética sería de 3 J.
Tras esta cuestión, cabe preguntarse por qué me molesto en hablar del hipotético caso de que la energía potencial aumente cuando hemos repetido varias veces que todos los sistemas tienden a reducirla. La respuesta tiene que ver con la velocidad. Si soltamos un cuerpo quieto, nunca va a aumentar su energía potencial de forma instantánea. Ahora bien, si lo lanzamos en la dirección en la que la energía potencial aumenta, su velocidad le llevará a ello aunque poco a poco se irá frenando. La única forma de que un sistema aumente su energía potencial es que tenga velocidad inicial en el sentido pertinente. Esto es obvio en tanto que no observamos cosas comenzar a flotar si nada las impulsa.
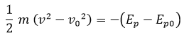
La ecuación anterior se puede escribir en términos de las energías cinética y potencial final e inicial, marcando la inicial un 0 y dejando la otra tal cual:

Y, sustituyendo la energía cinética para que aparezcan velocidades, obtenemos:

De esta expresión, por último, es posible despejar la velocidad para poderla calcular siempre en terminos de la velocidad inicial, la variacion de energía potencial y la masa:

Y una vez que sabemos esto ya podemos resolver el siguiente tipo de problemas:
Un objeto de de 5 kg posee una energía potencial de 4 J cuando se mueve a 2 m/s. Si la energía potencial se reduce a 1 J, ¿cuál será su nueva velocidad?
Para resolverlo, únicamente necesitamos sustituir en la ecuación de arriba:
No es necesario, por supuesto, ir poniendo todas las unidades siempre, bajo la única condición de que nos hayamos asegurado de que estén todas en SI. En esta ocasión las he indicado por seguir el proceso mediante el cual se combinan para dar, finalmente, metros por cada segundo.
El resultado del problema, como cabía esperar, es que la velocidad aumenta como consecuencia de la reducción de la energía potencial.
Ahora que ya hemos visto el teorema de las fuerzas vivas, estamos en condiciones de escribirlo en su versión con diferenciales. (Matemáticos, tapaos los ojos) Un diferencial es una variación muy pequeña de algo. En jerga matemática, el diferencial de energía cinética, por ejemplo, es la variación de energía cinética en el límite en el que es prácticamente nula (la variación de energía cinética). Se escribe poniendo una d minúscula delante:
Esto se leería «la más mínima variación de la energía cinética produce una mínima variación opuesta de energía potencial, y viceversa«. Es legítimo preguntarse qué aporta esto de nuevo con respecto a lo que ya vimos antes, y por ello vamos a aclarar la diferencia. Existen ocasiones en las que la relación es más complicada, y a lo mejor uno de los términos aparece sin la d delante, además de con la d. En dichas circunstancias, aunque la ecuación sea cierta con d no lo sería con Δ. Pero ya veremos ejemplos de ello.
La cuestión, para concluir esta sección, es que podemos pasar el diferencial de la derecha a la izquierda dividiendo para obtener una ecuación que se leería así: «la derivada de la energía cinética respecto a la potencial es siempre -1«.

La oración contraria también es cierta, es decir, «la derivada de la energía potencial respecto a la cinética es siempre -1».
Podemos relacionar la ecuación de diferenciales con la de variaciones mediante integración. No obstante, de las integrales y su justificación hablaremos en el siguiente capítulo.
Energía mecánica.
Hemos visto que cuando se produce una variación en la energía potencial, la cinética «responde» con la variación opuesta. Esto nos lleva a una conclusión muy importante: la suma de ambas tiene que ser constante. De este modo, tiene sentido llamar energía total o mecánica del sistema (E) a la suma de la cinética y la potencial:

El diferencial de energía mecánica es, lógicamente, la suma del diferencial de energía cinética y el de potencial. Y estos, por ser opuestos, se cancelan:

¿Conclusión? El diferencial de energía mecánica siempre es 0, y por tanto la energía mecánica se conserva.
Vamos a recapitular un poco:
- La energía potencial es útil porque nos sirve para caracterizar los sistemas físicos y predecir sus tendencias.
- La energía cinética es útil porque está relacionada con la velocidad y permite calcular cómo varía esta al modificarse la energía potencial.
- La energía mecánica es útil porque siempre es constante. Si conocemos la energía mecánica en un instante dado, la conocemos en todos los demás.
Es importante tener siempre en mente también las siguientes cuestiones:
- Dado que la energía cinética no puede ser negativa, la energía potencial nunca puede ser mayor que la mecánica. O dicho de otro modo, la energía mecánica fija la energía potencial máxima alcanzable por un cuerpo.
- Si la energía potencial es negativa, la energía mecánica es menor que la energía cinética.
El segundo punto se olvida con mucha facilidad, y la gente puede llegar a sorprenderse de encontrar problemas donde hay más energía cinética que energía total, planteándose rehacerlos enteros.
Casos prácticos.
Vamos a analizar un par de problemas relacionados con todos estos conceptos que considero muy aclaratorios.
Tenemos un cuerpo que se puede desplazar por un segmento del eje x entre los valores -2 m y 2 m. La energía potencial que tiene en cada punto viene dada por la gráfica. Por ejemplo, sobre x=1 m la energía potencial es 0 J, y sobre x=-2 m la energía potencial es -6 J.
a) Si soltamos el cuerpo en x=2 m en reposo, ¿cuál será su energía cinética?
b) ¿Y la potencial?
c) ¿Y la mecánica?
d) ¿Cómo se moverá?
e) ¿Cuál será su energía cinética al pasar por x=0 m?
f) ¿Cuál será su energía mecánica al pasar por x=-2 m?
a) Su energía cinética inicial será de 0 J por partir del reposo.
b) Su energía potencial será de 6 J tal y como indica la gráfica.
c) La energía mecánica, la suma de ambas, será de 6 J.
d) Dado que hacia la izquierda tendrá menor energía potencial, el cuerpo se moverá hacia la izquierda.
e) En ese punto la energía potencial es de 0 J, con lo que la cinética tiene que ser de 6 J para que la mecánica se conserve.
f) La energía mecánica será de 6 J en cualquier lugar para este cuerpo.
Vamos ahora a analizar otras cuestiones basadas en el problema anterior.
Supongamos que, con la misma gráfica, tenemos otro cuerpo que comienza a moverse estando en x= 0,5 m, con una energía mecánica de 0 J y una potencial (que se podría extraer de la gráfica midiendo) de -0,375 J.
a) ¿Cuál sería su energía cinética?
b) Si sabemos que comienza moviéndose hacia la derecha, describe su trayectoria.
a) Su energía cinética sería la diferencia entre la mecánica y la potencial, es decir, 0,375 J. Como se puede observar, es mayor que ambas porque la potencial es negativa.
b) Empezaría a moverse hacia la derecha, pero al llegar a x=1m su energía cinética se anularía y toda su energía sería potencial, ya que habría llegado al valor de 0 J de su energía mecánica. Estando instantáneamente en reposo en esa situación, volvería hacia la izquierda, ganando energía cinética de nuevo para perderla otra vez al llegar a x=0 m. A partir de ahí, volvería hacia la derecha en un ciclo oscilante sin fin.
Equilibrios y tendencias de movimiento.
Sigamos sacando todo el jugo a la gráfica anterior, aprovechándola para comentar las diferentes situaciones que se pueden dar en un sistema físico unidimensional (el cuerpo solo se puede mover en el eje x) según la forma de la energía potencial y la posición inicial del cuerpo y su velocidad.
- Tenemos un equilibrio inestable cuando el cuerpo se encuentra en reposo sobre un máximo de energía potencial. En la gráfica anterior, un cuerpo soltado en reposo en x=-1 m no se movería ni hacia la izquierda ni hacia la derecha. Sin embargo, la más mínima perturbación externa haría que se moviese hacia cualquiera de esos sitios.
- Tenemos un equilibrio estable cuando el cuerpo se encuentra en reposo sobre un mínimo de energía potencial. Este sería el caso en x=1 m, donde tanto hacia la derecha como hacia la izquierda su movimiento está limitado por incrementar la energía potencial.
- Tenemos oscilaciones cuando el cuerpo se encuentra próximo a un equilibrio estable, pero en lugar de estar en reposo al alcanzarlo lleva velocidad. Entonces, como analizamos en el segundo problema, comienza a moverse de izquierda a derecha sin parar, incapaz de liberar la energía mecánica que le sobra para permanecer quieto en un sitio.
- Tenemos movimiento ilimitado cuando el cuerpo se mueve y tiene más energía mecánica que toda la potencial que se vaya a encontrar. En el primer ejemplo, al soltar el cuerpo en x=2 m podía recorrer sin problema todo el trayecto hasta x=-2 m porque su energía mecánica era más que suficiente para descender hasta x=1 m, subir la «montaña» hasta x=-1 m y realizar el descenso final. No le hubiera sido posible si por el medio hubiese, digamos, un pico de 7 J de energía potencial (ya que su energía mecánica era de 6 J).
Como se puede apreciar, conocer la forma que toma la energía potencial en una región permite describir toda la física que sucedería en ella según las condiciones iniciales. Resulta muy relevante darse cuenta de que lo contrario también es cierto: conocer la forma en que se mueven los cuerpos en un lugar nos permite representar gráficamente su energía potencial. Es así, de hecho, como se desarrollan los modelos y no al revés. La energía potencial gravitatoria no permitió predecir que los cuerpos se caerían, sino que el análisis minucioso de cómo se caían siempre los cuerpos permitió establecer la gravitación universal.
En el siguiente capítulo usaremos el modelo gravitatorio de Galileo para explicar los conceptos físicos elementales de fuerza, aceleración y trabajo, entre otros, a partir de la energía mecánica. Ello requerirá adentrarse en el mundo de la derivación y la integración, pero por suerte las operaciones serán sencillas. Servirá como introducción matemática antes de trabajar con modelos más complicados.
ACTIVIDADES PROPUESTAS
1. Considera la gráfica adjunta, que representa la energía potencial en un tramo del eje x que va desde -3 m hasta 3 m. Pongamos por caso que tenemos un cuerpo de masa 1 kg.
a) Si soltamos el cuerpo en reposo en x= 2 m, ¿qué energía potencial tendrá? ¿Y cinética? ¿Y mecánica? ¿Cómo será su movimiento posterior? ¿Qué energía cinética tendrá cuando pase por x=1 m? ¿Y qué velocidad?
b) Si soltamos el cuerpo sobre x=-1 m con una energía mecánica de 9 J, ¿cuál será su energía potencial? ¿Y la cinética? ¿Y su velocidad? ¿Cómo será su movimiento? ¿A qué altura estará cuando su velocidad se anule?

2. ¿Puede la energía mecánica ser menor que la potencial?
3. Un cuerpo de 9 kg consigue aumentar su velocidad desde los 6 m/s hasta los 13 m/s. ¿Cuánto ha tenido que variar la energía potencial?
Categorías:Blog, Docencia, Estudiar Física de Bachillerato, Física



Hola.
¿Dónde se puede encontrar la solución?
Que no se si me ha quedado correctoe le ejercico. Y, muchas gracias por las explicaciones, me parecen muy buenas