Blog

Estudiar Física de Bachillerato (4): La gravedad de Galileo.

2. TEORÍA DE CAMPOS UNIDIMENSIONAL

2.1. La energía potencial
2.2. La conservación de la energía
2.3. La gravedad de Galileo

Posición, velocidad, derivadas, integrales.

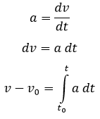
En el capítulo anterior comenzamos a analizar numéricamente el movimiento de cuerpos sometidos a una cierta energía potencial, y había dos magnitudes muy relevantes. Una de ellas era la posición x en la que el cuerpo se encontraba, y otra la velocidad v a la que se movía.

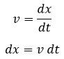
Sin embargo, no son magnitudes independientes, en tanto que la velocidad con la que se mueve un cuerpo afecta a su posición inmediatamente posterior, y sabiendo las posiciones que ocupa un cuerpo en diferentes instantes podemos conocer su velocidad. En particular, diremos que la velocidad es la derivada de la posición con respecto al tiempo:

Velocidad.PNG

La segunda ecuación, equivalente, nos dice que el diferencial de la posición es el producto de la velocidad por el diferencial de tiempo.

Teniendo en cuenta que un diferencial de tiempo es un tiempo tan pequeño que no se puede medir, resulta intuitivo decir que la variación de la posición entre un punto x0 y otro punto x es igual a la suma de todas las velocidades que haya entre el instante t0 y el instante t. Esto lo podemos escribir del siguiente modo:

Integral de movimiento

Aquí el símbolo alargado representa una S de «suma» estirada. Por otra parte, esta expresión se leería como «la variación de la posición es igual a la integral de la velocidad en el tiempo«. Integrar la velocidad en el tiempo significa que sumamos todas las velocidades instantáneas que haya habido durante un periodo de tiempo concreto, en este caso el que va desde t0 hasta t.

Descomposición en diferenciales.PNG

Mediante la integración de una trayectoria, más o menos descomponemos esta en muchos trocitos, cada uno de ellos de longitud v dt, y los sumamos todos para obtener la longitud total.

Demos, por si acaso, otra vuelta de tuerca más a la expresión. Arriba hemos dicho que el diferencial de posición es igual a la velocidad multiplicada por el diferencial de tiempo.  Esto significa que a cada instante, la multiplicación de la velocidad por una fracción diminuta del tiempo nos da la pequeña variación de la posición que se produce. Si descomponemos una trayectoria completa en pequeños movimientos de este estilo, la suma de todos productos de velocidad y diferencial de tiempo van dando forma a la trayectoria completa. Hago notar, no obstante, que estoy combinando aquí muy a la ligera los conceptos de suma de trozos pequeñitos y de diferenciales, lo cual no es matemáticamente riguroso.

Pongamos por caso que tenemos una nave espacial desplazándose a 140 m/s en línea recta. Si queremos saber cuánto se habrá desplazado en una hora, podemos descomponer la hora en 3600 s, y después multiplicar la velocidad que tiene cada segundo por los 3600 segundos que transcurren para obtener el resultado. Intentad relacionar esto con la fórmula de arriba para comprender en qué sentido la variación de la posición es una suma de pequeños movimientos.

Aceleración, derivada segunda, regla de la cadena.

Una vez comprendida la relación matemática entre posición y velocidad, estamos en condiciones de ir un poco más allá e introducir el concepto de aceleración, que no es otra cosa que la derivada de la velocidad respecto al tiempo. Esta definición nos garantiza que las siguientes ecuaciones son ciertas:

Aceleración

Existen otras formas de escribir la aceleración. Por ejemplo, dado que la velocidad es la derivada de la posición y la aceleración es la derivada de la velocidad, podemos decir que la aceleración es la derivada segunda de la posición:

Aceleración 2.PNG

Y una versión que resulta muy interesante para resolver ecuaciones de movimiento posteriormente es la que apela a la regla de la cadena. Sobre la regla de la cadena, así como todas las reglas de derivación, ya hablé con detalle en esta otra entrada, de modo que no me extenderé mucho más en el tema.

Cuando decimos, por ejemplo, que la velocidad es la derivada de la posición respecto al tiempo, tenemos que aclarar que es «con respecto al tiempo» porque podría ser con respecto a cualquier otra cosa. Así, no es lo mismo la derivada de la posición con respecto al tiempo (cuántos metros avanzo cada segundo) que la derivada de la posición con respecto a un ángulo, por ejemplo (cuántos metros avanzo por cada radián).

Es posible hacer cambios en las derivadas siempre y cuando se multiplique por el mismo diferencial que aparezca dividiendo, de modo que podríamos escribir algo así:

Aceleración 3.PNG

Analicemos esto por pasos:

  • Primero decimos, como siempre, que la aceleración es la derivada de la velocidad respecto al tiempo.
  • Después, dividiendo y multiplicando por dx, concluimos que la aceleración es la derivada de la velocidad respecto a la posición, multiplicada por la derivada de la posición respecto al tiempo.
  • Por último, ya que la derivada de la posición respecto al tiempo es la velocidad, decimos que la aceleración es la derivada de la velocidad respecto a la posición, multiplicada por la velocidad.

Esta última expresión, como decía, resulta muy útil para resolver el movimiento de cuerpos, por motivos que justificaremos después.

Energía potencial gravitatoria de Galileo.

Galileo.jpg

Galileo Galilei es considerado por muchos el padre de la ciencia moderna. No solo escribió el primer texto sobre cinemática sino que además inventó el telescopio y fue un firme defensor de que la Tierra se movía alrededor del Sol cuando no era la corriente de pensamiento principal.

Cuando Galileo publicó sus investigaciones en física, a comienzos del siglo XVII, no existían ni el concepto de energía ni el concepto de fuerza. De hecho, tan solo estaban asentados los conceptos de posición, velocidad, aceleración y tiempo, y fue él mismo quien los estableció de forma rigurosa al redactar su tomo sobre cinemática, la rama de la física que estudia el movimiento de los cuerpos sin atender a las causas.

Entre sus descubrimientos, Galileo observó que en ausencia de aire todos los cuerpos caían más o menos a la vez, y que lo hacían con aceleración constante. Hoy en día sabemos que esto es falso, pero por aquel entonces era una aproximación bastante razonable.

Si denotamos por x la altura sobre la superficie de la Tierra a la que se encuentra un objeto y por g a la constante 9,8 m/s2 (segundos al cuadrado), la energía potencial gravitatoria de Galileo, en adelante Eg, puede escribirse como:

Energía potencial Galileo

Analicemos sus propiedades:

  • Si un cuerpo no tiene masa, carece de energía gravitatoria de Galileo.
  • Si un cuerpo está sobre la superficie de la Tierra, con x=0 m, tampoco tiene energía gravitatoria.
  • Si el cuerpo por encima de la superficie de la Tierra, su energía gravitatoria es positiva. Pero si está por debajo, es negativa.

Observemos ahora con detenimiento la gráfica de esta energía potencial, teniendo en mente que aunque el eje x esté horizontal representa la altura sobre la superficie.

Gráfica Galileo

La energía potencial de Galileo: una recta de pendiente constante que aumenta la energía potencial a medida que aumenta x y se anula cuando x=0 m.

Dado que la energía gravitatoria está constantemente inclinada hacia arriba (se lee de izquierda a derecha), la tendencia de todos los cuerpos sometidos a gravedad será la de caer (moverse hacia la izquierda reduciendo su posición x). La energía mecánica fijará, ineludiblemente, la altura máxima que un cuerpo podrá alcanzar si intenta ascender impulsado por una velocidad inicial hacia arriba.

Estamos ya en condiciones de resolver alguna caída libre:

En gravedad de Galileo, dejamos un cuerpo en reposo a una altura de 80 m, ¿con qué velocidad llegará al suelo?

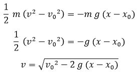
Lo primero que podemos observar al trabajar con gravedad, es que la energía potencial es proporcional a la masa (aparece multiplicando a todo), y ello provoca que en el teorema de las fuerzas vivas se pueda eliminar, simplificando las ecuaciones:

Fuerzas vivas Galileo

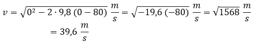
Y ahora simplemente tenemos que sustituir, teniendo en mente que v0=0 m/s, que g=9,8 m/s2, que x=0 m al final (cae al suelo), y que x0=80 m:

Velocidad ejemplo 2

El cuerpo llegaría al suelo con una velocidad de unos 39,6 m/s, bastante elevada.

Veamos otro ejemplo:

En gravedad de Galileo, desde el suelo lanzamos un cuerpo hacia arriba con una velocidad de 20 m/s.
a) ¿Qué velocidad tendrá al llegar a 10 m de altura?
b) ¿Cuál será la altura máxima que alcance?

a) Aplicando la misma fórmula que en el problema anterior, obtenemos:

Velocidad ejemplo 3.PNG

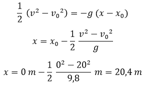
b) Cuando el cuerpo alcanza la altura / energía gravitatoria máxima la energía cinética es nula. Sabiendo que eso significa que v=0 m/s, podemos despejar x del teorema de las fuerzas vivas:

Altura ejemplo

La altura máxima que alcanzará el cuerpo es, por tanto, de 20,4 m.

La gravedad de Galileo funciona muy bien en situaciones donde haya aire, e incluso en aquellas donde además de gravedad haya algo de contacto con otros cuerpos. Por poner un ejemplo, se pueden aplicar sus fórmulas para calcular la velocidad con la que llegan al suelo atracciones como el Dragon Khan al caer desde una altura de 60 m. La razón por la que funciona es porque aunque vaya sobre raíles la pendiente es prácticamente vertical y es casi como si uno se estuviese cayendo de verdad.

Centro de masa.

Al trabajar con gravedad de Galileo, normalmente hacemos la suposición de que el cuerpo que cae (o es lanzado hacia arriba para después caer) tiene un tamaño puntual. Sin embargo, los objetos normalmente no son puntos sino que tienen una cierta forma y ocupan volumen. Siendo este el caso, ¿qué altura tenemos que asignarle a un cuerpo en la fórmula de Eg?

La respuesta es el centro de masa. Su definición es exactamente esa: el punto donde tendríamos que decir que está el cuerpo si su tamaño fuese de un punto de cara a consideraciones gravitatorias.

No vamos a dedicar este capítulo a especializarnos en el cálculo de centros de masa, pero sí que está bien conocer dos cosas sobre él. En el caso de que la masa de un cuerpo esté uniformemente distribuida, es decir, en su interior un mismo volumen tiene la misma masa:

  • Si tiene un eje de simetría, el centro de masa pasa por dicho eje.
  • Si tiene más de un eje de simetría, el centro de masa está donde se corten.

De las dos reglas anteriores podemos deducir, por ejemplo, que el centro de masa de una esfera coincide con el centro de la esfera, o que el centro de masa de un prisma está en el centro del prisma. Con eso será suficiente por ahora.

Principio de Arquímedes.

Arquímedes

Se dice que Arquímedes descubrió el principio que lleva su nombre intentando comprobar si el material de una corona era oro puro o no. El oro falsificado tendría una densidad diferente, y por tanto no se hundiría como el oro normal.

Con todo lo que llevamos visto aquí ya estamos en disposición de demostrar que el hecho de que los cuerpos menos densos floten sobre los más densos es un fenómeno puramente gravitatorio. Es decir, que si no hubiese gravedad no tendría por qué ser así.

La observación fue hecha por primera vez por Arquímedes hace casi 2000 años, y de hecho se la conoce como principio de Arquímedes, pero ahora podemos justificarlo matemáticamente con una elegancia fascinante.

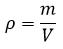
Partamos del concepto de densidad. La densidad ρ de un cuerpo mide la cantidad de masa que contiene por cada metro cúbico de volumen V, es decir:

Densidad

Por otra parte, si un volumen consiste en una cierta base (figura plana) prolongada hacia arriba en vertical, se cumple que dicho volumen es el área de dicha base S, multiplicada por la altura h:

Volumen prisma

No vamos a dedicar este capítulo tampoco al cálculo de volúmenes, pero sí que nos resultara necesario tener claro que el centro de masa de una figura de este estilo estaría ubicado a la mitad de su altura, es decir, en h/2.

Supongamos ahora que tenemos dos recipientes A y B. Ambos tienen la misma base S. El recipiente A tiene una altura hA y contiene un líquido cuya densidad es ρA. Por otro lado, el recipiente B tiene una altura hB y un líquido de densidad ρB.

Vamos a coger un recipiente, a ponerlo encima del otro, y a eliminar la separación entre ambos de modo que los dos líquidos queden en contacto. Si sabemos que es imposible que se mezclen, pueden suceder dos cosas:

  • Caso 1: O bien el líquido A flota por encima del líquido B.
  • Caso 2: O bien el líquido B flota por encima del líquido A.

Vamos a calcular la energía gravitatoria del sistema en el caso 1, después en el caso 2, y por último a concluir que el principio de mínima energía nos llevará a concluir que la situación óptima es aquella en la que el fluido más denso quede por debajo.

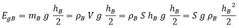
Cálculo de la energía gravitatoria en el caso 1.

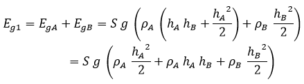
Si el líquido B está por debajo, podemos calcular su energía gravitatoria como el producto de su masa por g y por hB/2. Ahora bien, su masa será expresable como el el producto de su densidad por su volumen, y este último como el producto de S por hB:

Caso 1 B.PNG

Podemos proceder de la misma forma con el líquido A, pero teniendo en cuenta que su centro de masa estará a una altura hB+hA/2, ya que hay que sumarle el hecho de que está colocado por encima del líquido B:

Caso 1 A.PNG

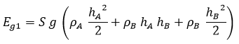
Juntando ambos, obtenemos:

Caso 1

Por analogía, en el caso 2 obtendremos como energía:

Caso 2

Siendo la única diferencia que en el término del medio hA hB está multiplicado por ρB en lugar de por ρA. Por tanto, la conclusión es directa. Si ρA es mayor, el caso más energético es que el líquido A flote por encima del B. Pero si el más denso es el B sucederá al revés.

Debido al principio de mínima energía potencial, el líquido más denso será el que tenga que permanecer debajo. Y con este razonamiento justificamos el principio de Arquímedes sin necesidad de recurrir a cosas como la fuerza de empuje, la cual puede llegar a parecer que no es un fenómeno gravitatorio.

Ecuaciones del movimiento a partir de la conservación de la energía.

Hemos visto ya el enorme poder predictivo que supone una teoría tan básica como la gravedad de Galileo, la cual puede explicar desde caídas libres hasta la flotabilidad, pero todavía no hemos analizado sus ecuaciones de movimiento. En física, llamamos ecuaciones de movimiento de un sistema a aquellas que relacionan la posición con el tiempo, y del tiempo por aquí no hemos hablado todavía.

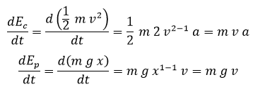
Hay dos formas de obtener cómo varía exactamente x según el tiempo t, y veremos las dos en este capitulo. La primera de ellas apela a la conservación de la energía. Si la energía es constante, la derivada de la energía con respecto al tiempo tiene que ser 0. De modo que la suma de las derivadas de la energía cinética y la potencial también deben anularse:

Conservación de la energía 2

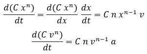
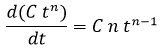
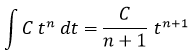
Ahora bien, antes de ponernos manos a la obra tenemos que tener claras un par de reglas. Si C y n son cualquier cosa que sea constante (no dependen del tiempo, en el caso que nos ocupa), se cumple:

Derivada potencia

De nuevo, remito a la entrada acerca de derivadas para más detalles. La segunda regla que hay que tener en mente es la de la cadena. Esto implica que:

Regla cadena

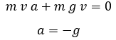
De modo que ya estamos preparados para obtener la derivada de la energía cinética y de la energia potencial, teniendo en cuenta que m y g son constantes:

Derivadas energías

Y como la suma de ambas derivadas tiene que dar exactamente 0 por la conservación de la energía, obtenemos que:

Aceleración Galileo.PNG

Es decir, como consecuencia de que la energía tenga que conservarse, la aceleración del cuerpo sometido a gravedad de Galileo tiene que ser exactamente opuesta a g. Esto, por supuesto, es contar la historia al revés, ya que más bien fue saber que la aceleración era así lo que permitió asignarle la energía potencial que hemos empleado.

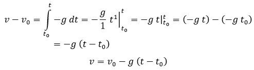
Una vez que conocemos la aceleración, podemos reconstruir la velocidad empleando la expresión integral que vimos al comienzo de este capítulo. Al igual que sucede al derivar, al integrar las constantes dan igual, y tan solo tenemos que tener en cuenta lo siguiente:

Derivada potencia

Exactamente al revés que al derivar. En particular, es un buen ejercicio comprobar que la derivada de lo que hemos escrito ahí es lo que integramos previamente:

Derivada integral.PNG

En el caso de que tengamos una integral con los límites definidos (el tiempo se barra entre un valor t0 y otro t, por ejemplo, como es el caso), después de integrar hay que cambiar t por el valor de arriba (t) y restarle la misma integral cambiando t por el valor de abajo (t0)). La velocidad, entonces, quedaría así:

Velocidad Galileo

Cuando, como ha sido el caso, dentro de la integral no había ninguna t además del diferencial, se considera que tenemos t elevado al número 0 y por eso después aparece un 1. La lección a aprender, para venideras integrales, es que la integral de una constante (-g en este caso) es igual a la constante multiplicada por la variación del parámetro de integración (en este caso t).

La ecuación resultante nos dice que la velocidad es igual a la velocidad inicial, restándole la aceleración gravitatoria por el tiempo transcurrido (la variación de tiempo entre t0 y t). Es decir, un movimiento uniformemente acelerado.

Llegados a este punto uno podría preguntarse por qué tanto sufrimiento para llegar a una ecuación bastante conocida y más sencilla que lo que hemos realizado. La respuesta es que no estamos aquí para aprender a trabajar con caídas libres, sino que estamos aprendiendo el mecanismo matemático para poder aplicarlo a modelos más complejos donde no hay opción sencilla. En este caso parece complicarse la vida para nada, pero en otros es la única forma de proceder. Podría hacer algunas simplificaciones para que pareciese más sencillo, como fijar que t0=0, pero estamos aquí para entrenar el cálculo. Si te cuesta, es señal de que hay que practicar más las derivadas y las integrales.

Por último, podemos calcular la ecuación de la posición integrando de nuevo. Pero esta vez descompondremos la integral en la suma de tres separadas para proceder. Importante recordar que al integrar constantes salen fuera y se multiplican por la variación del tiempo:

Posición Galileo

La ecuación resultante es la que se suele asociar al movimiento rectilíneo uniformemente acelerado, y con ella llegamos a nuestra meta. Ya podemos saber en qué posición x estará nuestro cuerpo en un instante cualquiera t si sabemos el instante t0  del que partimos, la velocidad inicial v0, la posición inicial x0 y la constante g.

Veamos un ejemplo, cuyo resultado es a todas luces falso pero nos sirve para comprender la limitación del modelo cuando interviene el aire:

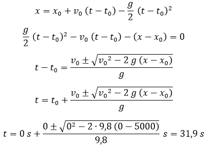
Una gota de lluvia se origina en una nube a 5000 m de altura y, desde entonces, cae a causa de la gravedad (modelo de Galileo) hasta el suelo.
a) ¿Cuánto tiempo tarda en llegar?
b) ¿Con qué velocidad lo hace?

a) Considerando que t0=0 s, y que la gota parte del reposo, es decir, v0=0 m/s, podemos emplear la ecuación recién obtenida para calcularlo resolviendo con la fórmula de segundo grado:
Tiempo Ejemplo

b) Se puede calcular con las dos fórmulas que hemos visto con idéntico resultado:

Velocidad Ejemplo 4

Como se puede observar, la velocidad resultante para la gota de lluvia es demasiado grande. Casi la velocidad del sonido. Sin embargo, sabemos perfectamente que la lluvia no cae tan rápido o muchas personas morirían por precipitaciones. La conclusión es que hay más cosas que la gravedad afectando a su movimiento.

Ecuaciones del movimiento a partir de las fuerzas vivas.

Este procedimiento para sacar la ecuación del movimiento es más rápido en el sentido de que requiere de menos pasos, pero las integrales pueden resultar más complicadas. Se trataría de partir de la ecuación de la velocidad en función de la variación de energía potencial y, a partir de ahí, reescribir todo del siguiente modo:

Apaño Velocidad

Llegados a esta situación, podemos poner el signo de integración en ambos lados, teniendo claro que a la izquierda barremos sobre x, y a la derecha sobre t:

Integral final Galileo

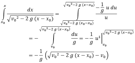
Ahora la integral de la derecha resulta muy sencilla (en efecto, es t-t0), pero la de la izquierda es un poco rebelde. Para la integral de la izquierda realizaremos un cambio de variable. Los cambios de variable consisten en considerar que lo que estamos integrando según x es muy complicado y resultaría más conveniente integrar según otra variable. Dicha variable la denominaremos u, y necesitaremos conocer la relación entre u y x, así como la relación entre sus diferenciales. u es elegido de forma que haya que escribir menos y se simplifique la integral, con lo que en este caso:

Cambio por u

En el último paso, al derivar, hemos obviado los términos de x0 y v0 por involucrar solo constantes. Sustituyendo todo, la integral queda así:

Integral final Galileo 2.PNG

Por último, igualando este resultado con el de la integral del tiempo tenemos que obtener la misma ecuación del movimiento que de la otra forma:

Ecuación de movimiento Galileo.PNG

Vemos finalmente que el resultado es exactamente el mismo para la dependencia entre x y t.

El marco completo.

Tras mucho trabajo, hemos dejado establecidas relaciones importantes que en el siguiente capítulo desarrollaremos con más profundidad. Lo importante es tener en mente que el hecho de que la energía se conserve provoca que, siempre que planteemos alguna energía potencial concreta (como la gravitatoria), la relación entre x y t quede fijada a partir de las condiciones iniciales x0, v0 y t0. Mañana comentaremos también lo contrario: que conociendo las ecuaciones de movimiento es posible razonar cómo es la energía potencial.

Las operaciones de este capítulo han pegado un subidón de nivel importante, pero es muy importante dominarlas y en algún momento hay que empezar. En caso de duda, las actividades propuestas deberían ser útiles.

ACTIVIDADES PROPUESTAS
1. Desde una altura de 210 m, lanzamos hacia arriba un objeto con una velocidad inicial de 15 m/s. El lanzamiento se produce en t0=0 s y aplica la gravedad de Galileo.
a) ¿Cuál es la energía gravitatoria en el momento del lanzamiento?
b) ¿Cuál es la energía cinética?
c) ¿Cuál es la energía mecánica?
d) Describe cómo será su movimiento.
e) ¿Cuál es la altura máxima?
f) ¿Con qué velocidad llegará al suelo, x=0 m?
g) ¿En cuánto tiempo alcanzará la altura máxima?
h) ¿En cuánto tiempo alcanzará el suelo?
i) ¿Cuál será la aceleración del cuerpo al comienzo?
j) ¿Cuál será la aceleración al final?
2. Repite todas las operaciones de los dos apartados de ecuaciones del movimiento fijando que x0=0 m, v0=0 m/s y t0=0 s desde el comienzo. Verifica que se vuelve todo mucho más sencillo porque la inmensa mayoría de términos se cancelan.
3. Teniendo en cuenta que un número elevado a -1 es igual a su inversa, es decir, que t^-1=1/t, razona cuál debe de ser la derivada de 1/t respecto a t. Confirma que el resultado es -1/t2 (t al cuadrado dividiendo).
4. Teniendo en cuenta que un número elevado a 1/2 es igual a su raíz cuadrada, es decir, que t^1/2=raíz(t), razona cuál debe ser la derivada de raíz(t) respecto a t. Confirma que el resultado es 1/2raíz(t).
Los dos últimos están resueltos en la entrada sobre derivación.

3 respuestas »

  1. «…ya estamos en disposición de demostrar que el hecho de que los cuerpos más densos floten sobre los más densos es un fenómeno puramente gravitatorio…»

    creo que esto no está bien… ¿ repetido el «…más densos»… ? ¿no deberia poner -menos densos- ?

Preguntas, correcciones y debate son bien recibidos.