5. LUZ Y ONDAS
5.1. La propagación de la luz
5.2. Las lentes
Separación entre medios curvada.
El capítulo anterior analizamos la ley de Snell, la cual nos servía para analizar los ángulos de incidencia y refracción cuando un rayo de luz pasaba de un medio con índice de refracción n1 a otro con índice de refracción n2. Todos los ejemplos que vimos, no obstante, consistían en líneas rectas de separación entre medios.
Resulta muy útil por cuestiones prácticas, como veremos en este capítulo, analizar qué sucede cuando la línea de separación es aproximadamente un arco de circunferencia de radio r y los rayos inciden con ángulos prácticamente perpendiculares sobre ella.

Esquema con los ángulos. La línea de separación entre medios es el arco curvado. El eje horizontal es el eje óptico, no nada físico.
Supongamos que la línea de separación es atravesada perpendicularmente por el eje x, al cual llamaremos eje óptico, en el punto x=x0, al cual llamaremos vértice, y está doblada de forma convexa. Desde la posición x=x1, menor que x0, lanzaremos un rayo de luz con ángulo casi nulo β1 hacia dicha línea. Al incidir sobre esta, el rayo será refractado, incidiendo posteriormente con el eje óptico en x=x2 formando un ángulo β2. Ubiquemos, además, el centro de la circunferencia en x=x0+r, y llamemos al ángulo que forma su unión con el punto de incidencia del rayo γ. Además los ángulos de incidencia y refracción serán, como siempre, α1 y α2. Por último, llamamos h a la altura del punto de incidencia y s1 y s2 a:

Por nuestras consideraciones, s1 será siempre negativo. A partir del esquema, podemos deducir por la ley de Snell que:

Después, buscando que los ángulos de todos los triángulos sumen π rad, obtenemos las siguientes dos ecuaciones:

Con lo cual llegamos a:

Ahora podemos realizar la aproximación de que, si los ángulos son muy pequeños y están en radianes, el seno es aproximadamente igual al ángulo. Con ello llegamos a:

Y ahora podemos realizar la aproximación de que un ángulo en radianes es aproximadamente igual a su tangente, seguida de que la tangente de un ángulo es igual a su cateto opuesto entre el contiguo:

Aquí hemos puesto un signo negativo a s1 para compensar que ya de por sí fuese negativo. Por último, unos pocos apaños nos llevan a nuestra ecuación:

En el caso de que la circunferencia estuviese orientada en sentido cóncavo, simplemente habría que dar a r un valor negativo.
Tenemos un láser colocado en x=0 m y una separación convexa ubicada en x=4 m, la cual posee un radio de curvatura r=1 m. Si la el láser está en aire, y tras la separación se encuentra un medio con n=1,4, calcula la posición donde volverá al eje óptico un rayo de luz emitido por el láser con un pequeño ángulo hacia arriba.
El objetivo de este problema es ver dónde va cada cosa en la ecuación, con lo que sustituiremos con detalle:
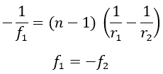
Llamamos foco 1 del sistema a la posición f1 desde la cual, al lanzar un rayo de luz, conseguimos que alcance el infinito, anulando la fracción en la que s2 divide. Se puede despejar su valor de la fórmula:

El foco 2 es, por otra parte, la posición f2 en la cual se proyecta un rayo de luz que proceda desde el infinito negativo. En esta ocasión la fracción que se anula es la que contiene a s1:

Los focos siempre tienen signo opuesto, con lo cual si uno está en el medio 1 el otro necesariamente está en el medio 2.
Calcula la posición donde se proyectará un rayo de luz que llegue paralelo al eje x (desde el infinito negativo) hasta la separación entre medios, siendo esta convexa y de radio 4 m, y siendo el medio nuevo uno con índice de refracción n=1,2.
En esencia, se nos está pidiendo calcular el foco 2:
Los focos resultan útiles para reescribir toda la ecuación de forma más sencilla de alguno de los siguientes dos modos:

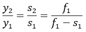
Y, a partir de la segunda expresión, resulta interesante despejar s2 para analizar algunas propiedades:

Teniendo en cuenta que s1 siempre tiene que ser negativo, podemos evaluar los siguientes casos.
En el caso de que f1 está en el medio 1:
- Si s1 es menor que f1 (está más a la izquierda), s2 es positivo y está en el segundo medio.
- Si s1 es mayor que f1 (está más a la derecha), s2 es negativo y está en el primer medio.
- Si s1 coincide con f1, no se proyecta imagen en ningún sitio.
En el caso de que f1 está en el medio 2, por el contrario, s2 siempre será negativo y estará en el primer medio.
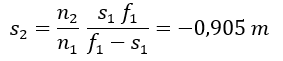
Tenemos una separación entre medios convexa, donde el radio es de 8 m, el índice de refracción del primer medio es de 1,1 y el índice de refracción del segundo medio es 1,9. Calcula:
a) El foco f1.
b) La posición de la imagen si s1=-100 m.
c) La posición de la imagen si s1=-0,5 m.Comencemos por el cálculo del foco:
A partir de aquí, el resto es directo. En el apartado b) tenemos:
Y en el c):
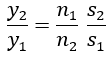
Aumento lateral.
Los focos resultan muy útiles para analizar qué sucede con el tamaño aparente de los objetos al ser observados a través del segundo medio. Pongamos por caso que sobre la posición x1 tenemos un objeto de altura y1, que podría ser negativa si estuviese colocado hacia abajo.
Cuando vemos objetos es porque llegan hasta nuestros ojos rayos de luz que han pasado por ellos, así que nos interesará saber qué sucede con los rayos de luz que pasan por el extremo del objeto. Concretamente, necesitamos tener en cuenta dos cosas:
- Los rayos de luz que pasan por (x1,y1) y se propagan paralelos al eje x (procediendo desde el infinito negativo) son refractados hacia el foco 2, por la definición de f2.
- Los rayos de luz que pasan por (x1,y1) y se propagan pasando por el foco 1 son refractados de forma paralela al eje x, por la definición de f1.
El lugar donde colisionan dichos rayos es el punto exacto (x2,y2) donde se forma la imagen. A continuación se representa la marcha de los dos rayos en los cuatro casos que hemos visto.

a) Cambio de medio con f1 a la izquierda y con s1f1. Imagen derecha a la izquierda. c) Cambio de medio con f1 a la izquierda y con s1=f1. No hay imagen. d) Cambio de medio con f1 a la derecha. Imagen derecha a la izquierda.

Esquema de la aplicación de Snell sobre el vértice.
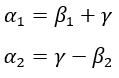
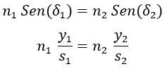
Debido a la ley de Snell, por último, podemos aproximar que si llamamos δ1 y δ2 a los ángulos que forman el objeto y su imagen con el vértice, se cumple, siguiendo una cadena de aproximaciones para ángulos pequeños similar a las anteriores (que pasa por la tangente):

De donde se despeja:

Y en el caso que nos ocupa, esto lleva a:

Cabe destacar entonces que, en el caso de que f1 esté en el medio 1:
- Si s1 es menor que f1, la imagen resultante estará invertida.
- Si s1 es mayor que f1, la imagen resultante estará derecha.
Si f1 está en el medio 2, entonces la imagen resultante siempre estará derecha.
Calcula la relación entre la altura de un objeto y la de su imagen sabiendo que f1=4 m y que s1=-3 m.
Y ahora que ya hemos visto cómo funciona el asunto de los cambios de medio curvos, estamos en condiciones de ir a por el objeto de este capítulo, que son las lentes. Lo más complicado, que eran los conceptos, ya ha pasado, o sea que lo que nos queda por suerte será como un paseo.
Lentes convergentes.
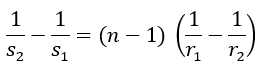
Pongámonos ahora en la situación de que queremos fabricar lentes que vayan a ser atravesadas por rayos de luz. Las clasificaremos como lentes convergentes si son más gruesas por la zona central que por los extremos. Una forma muy sencilla de plantear una lente convergente de índice de refracción n es hacer que su primera línea de separación con el aire por la izquierda sea una circunferencia convexa (radio r1 positivo) y la segunda, por la derecha, sea una circunferencia cóncava (radio r2 negativo).
Si llamamos medio 1 al aire a la izquierda de la lente, del cual surge el rayo, medio 2 al aire a la derecha de la lente y medio 3 al interior de la propia lente, podemos combinar las ecuaciones de las transiciones de 1 a 3 y de 3 a 2 para analizar toda la marcha de este. Supondremos, como siempre, que el índice de refracción del aire es exactamente 1, y además que la lente es extremadamente estrecha, de modo que a efectos prácticos no ocupe espacio. Esto se conoce como la aproximación de lente delgada. Las ecuaciones serían:

Y, sumándolas, obtenemos la ecuación del constructor de lentes:

A partir de aquí, podemos calcular los focos de la lente de forma sencilla, descubriendo además que son opuestos. Empecemos por el foco 2:

Este foco siempre será positivo (estará a la derecha), ya que r1 siempre es positivo y r2 negativo, con lo que la segunda fracción es irremediablemente un cociente de negativos. El foco 1 es exactamente opuesto, a la izquierda:

De nuevo, resulta útil despejar s2 en función de s1 y f1:

Algunas propiedades muy importantes son:
- De nuevo, si s1 coincide con f1 no se forma imagen alguna.
- Si s1 es menor que f1, estando a su izquierda, s2 es positivo y la imagen se forma a la derecha.
- Por último, si s1 es mayor que f1, estando entre este y la lente, s2 será negativo y la imagen se formará a la izquierda.
Por último, analicemos qué pasa con el tamaño del objeto. Al ser los dos índices de refracción a la izquierda y derecha de la lente el mismo (el del aire), se verifica:

Que es lo mismo que ya nos había aparecido al trabajar solo con media lente. Podemos extender entonces las ideas anteriores para dar lugar a:
- Si s1 coincide con f1 no se forma imagen alguna.
- Si s1 es menor que f1, la imagen se forma a la derecha e invertida.
- Por último, si s1 es mayor que f1, la imagen se formará a la izquierda y al derecho.
Para representar los rayos, podemos aplicar los criterios ya vistos, pero aparece un tercer rayo que resulta importante. Dado que existe una proporcionalidad exacta entre y y s, y que como sabemos los rayos que atraviesen la lente por el centro saldrán prácticamente con la misma orientación, el rayo que va del extremo de un objeto al vértice debe coincidir con los dos anteriores.
A continuación se representan las marchas de rayos de los tres casos.

a) Lente convergente con s1f1. Imagen derecha a la izquierda aumentada. c) Lente convergente con s1=f1. No hay imagen. Los dos rayos hacia la derecha son paralelos.
Como se puede apreciar, colocar el objeto entre el foco 1 y la lente hace que la lente actúe como una lupa para quien mire a través de ella, al ampliarse la imagen. En el funcionamiento en modo lupa, donde los rayos se cortan «hacia atrás», se dice que la imagen generada es virtual, en tanto que no está ahí y solo existe para quien mire a través de la lente. En el otro caso, sin embargo, la imagen es real, y si ubicásemos una pantalla para verla estaría ahí.
Tenemos una lupa de distancia focal f2=5 cm. Queremos observar con ella una hormiga cuya altura es de 3 mm. Calcula la altura (teniendo en cuenta el signo) con el que se verá dicha hormiga si se coloca en:
a) s1=-1 cm.
b) s1=-10 cm.Lo primero es tener claro que el enunciado nos dice implícitamente que f1=-5 cm. A partir de aquí, en el apartado a) la lente actuará en modo lupa, obteniéndose como resultado:
La hormiga se vería más cerca, derecha más grande. Por el contrario, en el apartado b) la lente no actuará como una lupa y los resultados serán:
La hormiga formará una imagen real invertida.
Veamos otro ejemplo curioso.
Tenemos un objeto ubicado en x=0 m, y queremos ubicar una lente de distancia focal 0,5 m en alguna posición x de modo que su imagen se proyecte sobre una pantalla en x=10 m. Comprueba que existen dos posiciones en las que se puede colocar e indica cuáles son.
Simplemente hay que plantear las ecuaciones y resolver. Quizás inesperadamente, aparece una ecuación de segundo grado con dos soluciones:
Lentes divergentes.
Analicemos ahora qué sucede si el constructor de una lente opta por que el primer radio sea cóncavo y el segundo convexo, achatándola por el centro. En esencia, todas las ecuaciones serán iguales, siendo la única diferencia que los focos estarán cambiados de sitio. El foco 1 a la derecha y el 2 a la izquierda. Este cambio de signo reduce el interés de dichas lentes, ya que su principal consecuencia es que siempre reproducirá imágenes virtuales y reducidas a la izquierda. Estaríamos hablando, por tanto, de algo así como una anti-lupa.

Lente divergente. Imagen derecha a la izquierda reducida.
Potencia de lentes.
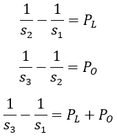
Habiendo visto todas las propiedades de las lentes individuales, abstraídas de su aplicación, es importante resaltar que cuando un fabricante de lentes diseña una lo que principalmente le interesa para caracterizarla es su distancia focal. En particular, se denomina potencia P de la lente a la relación:

La potencia se mide en dioptrías, un término que quienes conocemos a personas con gafas y quienes las usen están muy acostumbrados a escuchar. Las lentes convergentes tienen una potencia (y dioptrías) positiva, y las divergentes negativa.

Esquema de las partes del ojo donde se aprecian la córnea, el cristalino y los receptores de la retina.
¿Pero cuál es la relación entre el grado de ceguera que puede tener una persona y las dioptrías. Para entender esto, es necesario explicar que el ojo humano, y en particular la córnea, es, de hecho, una lente. Una lente con la capacidad de modificar su índice de refracción bajo la acción del cristalino apretándose o relajándose. Cuando vemos cosas, nuestros ojos reciben rayos de luz que han pasado por ellas de forma prácticamente perpendicular al ojo, y se proyectan en el foco 2 de este. Lo que recoge dicha imagen a la distancia focal pertinente, en nuestro caso, es la retina. La retina, por las propiedades que hemos visto de las lentes convergentes, recoge una imagen invertida y, por tanto, cuando esta envía la señal al cerebro este tiene que encargarse de invertirla.
Si denotamos la potencia ocular por PO, su ecuación como lente sería:

Y a partir de ella, podemos definir dos trastornos de la visión comunes:
- Si un ojo tiene demasiada potencia, su distancia focal es muy corta y la luz que llega de objetos distantes no llega hasta la retina. Hablamos entonces de miopía. Este trastorno está asociado con no poder ver bien de lejos.
- Por el contrario, si la potencia es muy baja la distancia focal es muy grande y las imágenes se forman más allá de la retina. En este caso hablamos de hipermetropía y se enfocan mal los objetos cercanos.
Afortunadamente, las potencias de las lentes se suman al juntarlas, y de este modo podemos corregir con gafas o lentillas los defectos visuales. Al añadir una mente de potencia PL, las ecuaciones pasan a tener tres fases, una antes de la lente, otra entre la lente y la córnea, y una última entre la córnea y la retina. Y resulta fácil comprobar la veracidad de lo que sigue:

Así las cosas, podemos contrarrestar la potencia excesiva de la miopía añadiendo lentes divergentes con potencia negativa, y podemos corregir la reducida potencia de los hipermétropes con lentes convergentes. Resulta lógico, por tanto, medir la miopía y la hipermetropía en términos de las dioptrías que tiene la lente necesaria (negativas en el caso de un miope y positivas en el caso de un hipermétrope).
Instrumentos ópticos.
No podemos concluir este capítulo sin hacer alusión a algunas de las principales aplicaciones de las lentes además del uso por oculistas para corregir defectos de visión.
- En primer lugar tenemos la lupa, que como ya hemos explicado consiste en emplear lentes convergentes para observar objetos colocándolos más cerca que su distancia focal. De este modo se consigue una imagen derecha y ampliada al mirar a través de la misma.
- En segundo lugar tenemos el microscopio, que se basa en combinar el efecto de dos lentes para aumentar una imagen muy pequeña. La primera lente, denominada objetivo, se coloca de modo que el objeto a analizar esté más allá de su distancia focal, produciendo una imagen invertida al otro lado. Esta imagen invertida debe quedar dentro de la distancia focal de una segunda lente, el ocular, de modo que esta haga de lupa tras el aumento ya producido por la primera. Evidentemente, el resultado es una imagen mayor que la que se podría conseguir con una sola de las lentes.
- Por último, en tercer lugar, tenemos el telescopio, donde la lente objetivo recoge rayos de luz lejanos para proyectarlos en su foco 2, y una vez allí la lente ocular amplía la primera imagen obtenida.
En suma, el uso de las lentes supuso un gran avance, ya que gracias al microscopio acabó siendo posible el estudio de la microbiología, y gracias a los telescopios pudimos analizar mejor el cielo nocturno y, en el caso de Galileo, a quien se le atribuye su invención, descubrir cosas como que el planeta Júpiter tenía sus propios satélites.
Pero las lentes no representan más que una parte de los diversos juguetes de los que disponemos para trabajar con la luz. En el próximo capítulo hablaremos de los espejos, y cómo estos se pudieron emplear para medir la velocidad de la luz.
ACTIVIDADES RECOMENDADAS
1. Tenemos una lente convergente de distancia focal 3 m, y queremos usarla para producir una imagen de un objeto de 40 cm de altura. Indica en qué posición y con qué altura se producirá la imagen si colocamos el objeto en s1=-2 m y en s2=-4 m. Justifica los resultados dibujando la marcha de rayos.
2. En un ojo, la retina está a 1,6 cm de la córnea. Sin embargo, la distancia focal se encuentra a 1,5 cm. Calcula la potencia que debería tener el ojo y la que tiene realmente. Clasifica su deficiencia visual e indica las dioptrías y la distancia focal que tendría que tener la lente necesaria para corregirla.
3. Al colocar un objeto junto a una lente, se obtiene una imagen real e invertida. Indica en qué situación nos encontramos: qué tipo de lente se ha empleado y cómo se ha colocado el objeto.
Categorías:Blog, Docencia, Estudiar Física de Bachillerato, Física









