5. LUZ Y ONDAS
5.1. La propagación de la luz
5.2. Las lentes
5.3. Los espejos
Reflexión.
En primer capítulo de esta sección, acerca de la propagación de la luz, hablamos de cómo esta distorsionaba su trayectoria al atravesar ciertos medios para poder llegar a su destino en el menor tiempo posible. Tal y como lo planteamos inicialmente, podría pensarse que siempre que un rayo de luz choca con algo lo atraviesa de uno u otro modo, pero la realidad es más complicada. Ya anticipamos que en ocasiones, si la luz se movía de un medio con índice de refracción mayor a otro con índice menor, existía un ángulo límite de desviación para el rayo incidente a partir del cual no llegaría a salir del medio. Pero existen, de hecho, medios en los que el índice de refracción es prácticamente infinito.
Dichos materiales, metales conductores, a efectos prácticos es como si no dejasen traspasar la luz (aunque estadísticamente pueda atravesarlos un poco a veces). Pero si la luz llega y no se refracta, ¿dónde va? Podría argumentarse que se convierte en calor del metal, aumentando su temperatura, pero la realidad es que la luz simplemente llega, choca, y es reflejada con el mismo ángulo con el que incidió, pero en sentido contrario. A este fenómeno se le llama reflexión.
En general, cada vez que la luz cambia de medio una parte de ella se refleja y otra se refracta. Si principalmente se refleja, entonces el nuevo medio será un metal conductor, y si principalmente se refracta puede ser vacío, aire o cualquier medio transparente o translúcido. Volveremos sobre esta clasificación en el bloque sobre mecánica cuántica, donde podremos comentar más curiosidades que ayudarán a comprenderlo.
Veamos algunos problemas relacionados. El primero acerca de saber predecir lo que hará un rayo.
Tenemos un prisma con forma de triángulo rectángulo isósceles tiene un índice de refracción de 2,6. Al incidir sobre uno de sus catetos un rayo de luz, este se propaga hasta la hipotenusa.
a) Calcula con qué ángulo de desviación perpendicular incide sobre la hipotenusa.
b) Calcula cuál es el ángulo límite del prisma.
c) Indica si al incidir con la hipotenusa el rayo se refractará o se reflejará completamente.Lo primero es dibujar un esquema como el siguiente, teniendo en cuenta que al ser el triángulo isósceles los dos ángulos que faltan deben ser de 45º. A partir de ahí, se deduce que la respuesta al apartado a) son también 45º.
Después, el apartado b) se realiza con una simple aplicación de fórmula:
Y, como consecuencia, debemos decir que en el apartado c) la respuesta es que el rayo se reflejará completamente por superar el ángulo límite.
El segundo, acerca de cálculos trigonométricos.
Cogemos el mismo prisma de la actividad anterior, pero con un índice de refracción de 1,3, y lo apoyamos sobre su hipotenusa. Queremos lanzarle un rayo a través de su cateto que, al refractarse por su interior, siga una trayectoria horizontal. ¿Con qué ángulo de desviación respecto a la perpendicular debe incidir sobre el cateto?
Un simple dibujo nos permite indicar que, como en la actividad anterior, el ángulo refractado que buscamos es de 45º. Por lo tanto, el ángulo que buscamos surge de resolver la ley de Snell:
Como se puede apreciar a la vista de lo ya visto anteriormente, la reflexión es un fenómeno bastante sencillo de tratar.
Espejos planos.
La reflexión resulta útil para elaborar espejos. Ahora bien, los rayos reflejados pueden haber visto deteriorada la información que contienen al chocar con el material reflectante, y por ello no cualquier material sirve. En general, los mejores reflejos son producidos por los materiales más translúcidos, pero estos tienen el problema de que también refractan. ¿Cómo se podía solucionar este problema? Pues la solución más habitual pasa por ubicar al otro lado del espejo un material opaco que evite que la imagen de lo que hay a través de nuestro espejo oculte lo que este refleja.

Cristal de un tren actuando parcialmente como ventana y parcialmente como espejo.
Esto es, en cierto, sentido, similar a un efecto común en las ventanas. Supongamos que estamos en nuestra habitación y al mirar por la ventana (sin abrirla) es de día: en esencia veremos lo que hay fuera. Ahora bien, si se hace de noche y seguimos con la luz encendida, la ventana reflejará de forma notable lo que haya en la habitación en la que estamos. ¿Qué ha pasado aquí? Durante el día, los rayos refractados del Sol que atraviesan la ventana tienen más intensidad que los reflejados de la luz de nuestra bombilla, y por tanto vemos lo que hay fuera. Sin embargo, durante la noche los rayos reflejados de nuestra bombilla no tienen competidores y son (salvo farolas y demás fuentes de luz en la calle) la única luz que llega hasta nuestros ojos. Es debido a esto que las ventanas se convierten en espejos por la noche al encender la luz. El efecto es más notable si se cierran las persianas, en caso de tenerlas por fuera, ya que directamente no procederá nada de luz desde el exterior. Desde el exterior sucede al revés, actuando de día la ventana como espejo para quienes intenten ver el interior de la casa y pudiendo ver todo de noche con la luz encendida.
Esta explicación, sencilla y familiar, explica por qué todos los espejos deben tener la parte de atrás cubierta, además de tener otras propiedades como ser lo más lisos posibles y ser finos.

Perro viéndose en un espejo.
Denominamos espejos planos, por cuestiones obvias, a aquellos que son planos, y son los más habituales ya que preservan las proporciones al ser observados. Supongamos que yo me coloco de pie frente a uno que llegue hasta el suelo y hay luz. Parte de esa luz, por ejemplo, chocará con mi rodilla, y una fracción de ella será reflejada hasta el espejo, y una fracción de ese rayo ya reflejado se reflejará de nuevo hasta mi ojo. Lo que mi ojo verá es que desde el espejo procede un rayo de luz con la forma de mi rodilla (y otro con cada parte del cuerpo que haya sido reflejada). A efectos prácticos, si yo fuese un completo ignorante del concepto de reflexión, como les sucede a muchos animales, lo que yo vería es otra persona idéntica a mí al otro lado del espejo y a la misma distancia. O bueno, idéntica a mí en todo excepto en lo referente a cuál es su lado izquierdo y cuál es su lado derecho.
Me voy a permitir aquí un inciso. Es frecuente, al pensar en por qué los espejos invierten en sentido horizontal pero no en vertical, suponer que la cuestión tiene algo que ver con el hecho de que nosotros tengamos dos ojos y estos estén alineados en horizontal. Sin embargo, esta hipótesis debe ser descartada ante el hecho de que las personas tuertas que solo tienen un ojo evidentemente perciben lo mismo, y es algo que también les sucedería a las arañas con los ocho que las caracterizan. Así que, ¿cuál es la explicación correcta? Pues que los espejos ni invierten en vertical ni en horizontal, sino en el eje delante-detrás. Y si nos imaginamos a alguien mirándonos desde nuestra espalda, pero pudiendo ver solo lo que hay al otro lado (es decir, nuestra cara), nos vería exactamente iguales pero con el lado derecho intercambiado por el izquierdo. Si nos parece que el espejo invierte en el sentido izquierda-derecha únicamente es debido, en esencia, a nuestra simetría casi bilateral, que nos insta a pensar que nos seguimos pareciendo en lugar de que simplemente no somos nosotros.
Es importante tener claro que la imagen que produce el espejo al «otro lado» es una imagen virtual que solo puede ser vista a través de este, y que para observador es diferente. Ante un mismo espejo, personas diferentes verán cosas diferentes reflejadas según el ángulo desde el cual lo miren. Este es, de hecho, el motivo por el que dos personas pueden mirarse a través de un reflejo viendo cada una a la otra en el mismo sitio. Es como si ese «otro lado» realmente estuviese ahí en tres dimensiones, con sus profundidades y todo en su sitio.

Explicación del espejismo.
Otros ejemplos muy famosos de espejos naturales son los espejismos de agua, que tienen lugar cuando el aire junto al suelo está muy caliente, modificando sus propiedades internas y entre ellas su refractancia. Cuando esto sucede, puede darse la situación de que los rayos de luz que se aproximen casi en paralelo al suelo sean refractados y una persona distante que perciba el la luz procedente desde abajo vea el cielo (aparentemente agua) en el suelo. A medida que el observador se acercando y su ángulo con respecto al mismo punto se eleva, el efecto desaparece y el agua que creía estar viendo desaparece de pronto.
Los espejismos que hemos comentado son inferiores porque proceden desde debajo del observador, pero también existen los exóticos espejismos superiores, durante los cuales un gradiente de temperatura adecuado entre el suelo y el cielo puede hacer que el segundo refleje al primero. Es un fenómeno que tiene lugar principalmente en costas, y puede dar lugar a que islas o barcos próximos al horizonte se vean en el cielo.
Espejos curvos.
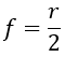
Supongamos ahora que tenemos un cambio de medio, como en el capítulo anterior, donde un rayo de luz se intenta propagar desde el aire hasta un medio con índice de refracción infinito, siendo reflejado en el acto. Supongamos además que la separación entre ambos medios puede ser cóncava (r negativo) o convexa (r positivo). Si denominamos vértice al centro del espejo y eje óptico a la línea que lo atraviesa perpendicularmente, se puede demostrar con trigonometría que todos los rayos que incidan en el espejo de forma paralela al eje óptico en las proximidades del vértice (en la jerga del capítulo anterior, que procedan desde el infinito negativo) son reflejados en el punto exacto entre el vértice y el centro de curvatura del espejo. Si llamamos a este punto el foco, lo que estamos diciendo es que:

La demostración de esta aproximación requiere considerar que en las proximidades del vértice el espejo se puede aproximar por una parábola, pero no entraremos en detalles, ya que es más bien un problema de matemáticas.
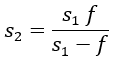
A partir de esto, la ecuación del espejo curvo, siendo s1 la distancia del objeto original al vértice sobre el eje óptico y s2 la de la imagen, es:

La primera pregunta que tenéis que haceros, en comparación con las lentes, es por qué demonios el signo de s1 es positivo. Podríamos volver a enredar con todos los ángulos y sacar la ecuación, pero resulta mucho más productivo limitarnos a considerar lo siguiente: en la ecuación de las lentes, presupusimos que s1 estaría a la izquierda, mientras que s2 y f2 (el equivalente a f) estarían a la derecha. De ahí procedía el signo de discrepancia. Ahora que los supondremos a todos a la izquierda, todos llevarán el mismo signo.
De la ecuación se despeja fácilmente:

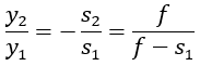
Por otra parte, si consideramos que nuestro objeto tiene una altura y1, el rayo de luz que vaya desde este hasta el vértice será reflejado con el mismo ángulo δ y por trigonometría se cumplirá la relación:

De donde se despeja inmediatamente que:


Espejo convexo.
De modo que, en resumen, si el espejo es cóncavo:
- Si s1 = f no se forma imagen.
- Si s1 < f la imagen es real, invertida y está a la izquierda.
- Si s1 > f la imagen es virtual, derecha, aumentada y está a la derecha.
Por el contrario, si el espejo es convexo la imagen siempre será virtual, derecha, reducida y estará a la derecha.
Por este motivo, cuando nos adentramos en un espejo cóncavo (más próximos que su distancia focal) vemos nuestro reflejo gigante, y cuando nos aproximamos a un espejo convexo nos vemos diminutos.

a) Espejo cóncavo con s1=f1. No se forma imagen y los rayos se desvían en paralelo. b) Espejo cóncavo con s1f1. Se forma una imagen virtual, derecha y aumentada a la derecha. d) Espejo convexo. Se forma una imagen virtual, derecha y reducida a la derecha.
Velocidad de la luz.
Para concluir este capítulo comentaremos dos de sus aplicaciones más relevantes. La primera de ellas es la construcción de telescopios, y la segunda su inestimable ayuda para poder medir la velocidad de la luz por primera vez.

Esquema de telescopio reflectante. La luz llega por la izquierda hasta el espejo cóncavo, que concentra los rayos hacia la cruz x a la izquierda. Por el medio, otro espejo los desvía hacia el ocular (arriba).
En el capítulo anterior explicamos brevemente los fundamentos de los telescopios basados en refracción, o telescopios refractores. Su principal inventor fue Galileo y requerían de una sofisticación que no estaba al alcance de cualquiera. A partir de ideas previas, sin embargo, Newton desarrolló el telescopio reflector, el cual es mucho más sencillo y el más común en la actualidad. En este modelo, la luz que llega desde el espacio entra en el tubo del telescopio, donde un espejo cóncavo la recoge y la concentra en su foco. Pero de camino al foco se coloca sabiamente otro espejo plano inclinado que desvíe los rayos hacia una lente convergente, llamada como siempre ocular. Con este sencillo mecanismo uno puede ponerse a observar el cielo nocturno.
Pero vayamos al grano de este capítulo, a cómo el ingenio de los físicos del siglo XIX les permitió medir la velocidad de la luz de forma bastante acertada empleando espejos. Hasta entonces, el método más popular para intentar medirla fue el de Huygens a principios del siglo XVIII. Él, observando que los satélites de Júpiter tardaban cierto tiempo en reflejar la luz solar hacia la Tierra cuando la luz del Sol les daba por primera vez tras un eclipse, consideró que era una buena idea emplear ese dato para estimar la velocidad de la luz, comparando el instante en el que deberían de haberse iluminado con el instante en el que desde nuestro planeta los veíamos así. El resultado que obtuvo fue de unos 2,20*10^8 m/s, aproximadamente un 73% del valor que a día de hoy conocemos.
A mediados del siglo XIX, el físico Hypolite Fizeau afinó más el resultado recurriendo a un espejo, una linterna y una rueda dentada. Con la linterna iluminó el espejo, el cual devolvía la luz reflejada al mismo sitio. Sin embargo, Fizeau introdujo en el medio una rueda dentada capaz de girar con frecuencia variable, y la calibró hasta conseguir que los rayos de luz que la atravesasen al pasar entre dos aspas no pudiesen regresar reflejados al chocar con el aspa colindante debido al giro. Con este método, obtuvo una velocidad aproximada de 3,15*10^8 m/s para la velocidad de la luz.

Esquema del experimento de Foucault. Primero, un rayo de luz va desde S hasta M parando por R. Al volver, R ha girado y la luz acaba dentro de un detector que registra con qué ángulo de desviación ha vuelto.
Pocos años después el físico Foucault refinó el experimento de Fizeau, con quien había tenido una disputa y por ello no le ayudó en su primer intento. En la versión de Foucault, de nuevo una linterna emitía un rayo de luz, pero este incidía oblicuamente sobre un primer espejo que lo reflejaba hacia un espejo secundario de forma perpendicular. Este segundo espejo devolvía el rayo hasta el primero, pero el primer espejo habría comenzado a girar con gran velocidad angular, y por tanto reflejaría el rayo no hacia la interna inicial, sino hacia a algún sitio próximo a ella. La desviación del rayo de luz al regresar, la cual era detectada en una pantalla, permitía conocer la velocidad a la que se había propagado, resultando ser esta de aproximadamente 2,98*10^8 m/s.
La siguiente persona que estimó la velocidad de la luz ya lo hizo con enorme precisión, y fue Maxwell. No obstante, antes de llegar a su versión de los hechos tendremos que dar un paseo por el mundo de las ondas armónicas y sus propiedades matemáticas.
ACTIVIDADES RECOMENDADAS.
1. Al acercarnos a un espejo, nos vemos mucho más pequeños de lo normal. Indica qué tipo de espejo es y, en su caso, cómo nos hemos colocado.
2. Colocamos junto a un espejo cóncavo de radio 2 m a un niño de altura 0,7 m. Indica cómo será su imagen y dónde estará si lo colocamos a 0,2 m del espejo y si lo colocamos a 5 m.
Categorías:Blog, Docencia, Estudiar Física de Bachillerato, Física




