5. LUZ Y ONDAS
5.1. La propagación de la luz
5.2. Las lentes
5.3. Los espejos
5.4. Las ondas armónicas
Ondas.
En los capítulos anteriores hemos analizado la luz como un rayo que se propaga siempre en línea recta, jugando con los fenómenos de refracción y reflexión y sus consecuencias. Obviando el experimento de Young, podríamos suponer con todo lo visto que la luz es un corpúsculo que se propaga por el espacio y quedarnos tan tranquilos, pero sin embargo, en tanto que con ella se produce el fenómeno de difracción, es evidente que en cierto sentido podemos pensar en ella como una onda.
¿Pero qué entendemos por onda? Pensemos que estamos en el plano, y que tenemos una cuerda que debería ser horizontal, pero sin embargo se ha doblado siguiendo la forma de una cierta función y(x). Aquí y mediría la desviación de la cuerda respecto a su posición original en cada posición x. Si en x=0 m tenemos y=0,3 m, la conclusión será que la cuerda está, en ese punto, 0,3 m más hacia arriba de donde debería estar.
Ahora, supongamos que esa deformación de la cuerda se propaga en sentido horintal, de modo que lo que antes sucedía en x=0 m pase a suceder en, digamos, x0. Matemáticamente, podríamos decir que la deformación de la cuerda ha pasado a ser de la forma y(x-x0). Resulta directo verificar que esto es equivalente a desplazar el centro de hasta el punto x0. Así, por ejemplo, al escribir y(x-4) desplazaríamos todo 4 m a la derecha, y al escribir y(x+2) desplazaríamos todo 2 m a la izquierda.
Pero podría suceder, además, que el punto de desplazamiento variase con el tiempo, de modo que podríamos escribir y(x-f(t)) y se trataría de una onda. En particular, si se desplazase en el tiempo con velocidad de propagación constante hacia la derecha podríamos decir que tenemos y(x-v*t), y si lo hiciese hacia la izquierda y(x+v*t). En estas circunstancias, decimos que estamos tratando con una onda en movimiento uniforme.
Veamos algunos ejemplos de esto.
Indica, para cada una de las siguientes perturbaciones posibles, si representan ondas o no y, en caso de representarlas, su sentido de propagación y si se mueven o no de forma uniforme.
a) y=(x-t)^2
b) y=x^3
c) y=log(x+t^2)
d) y=x+3*t
e) y=x^3-e^t
f) y=2*(-x+4*t)
g) y=-x-7*tDado que las ondas deben incluir en su expresión una suma o resta de x con alguna función del tiempo, podemos decir que son ondas las perturbaciones a), c), d), f) y g). No son ondas, sin embargo, las perturbaciones b) y e), donde o bien no aparece nada que dependa del tiempo o bien no aparece sumando o restando a x.
Una vez distinguidas las cinco ondas, podemos verificar que la c) no lleva un movimiento uniforme porque se suma t^2 en lugar de t. Las cuatro restantes, a), d), f) y g), sí son de movimiento uniforme.
Por último, podemos distinguir las ondas que se propagan a la derecha y a la izquierda según si x y la dependencia temporal tienen signo opuesto o no, respectivamente. En este caso, las ondas a) y f) se mueven hacia la derecha, pero las ondas c), d) y g) lo hacen hacia la izquierda.
Además de la velocidad de propagación, las ondas tienen una cierta velocidad de fase, la cual mide la velocidad en la que la perturbación que transportan sube y baja en cada punto en lugar de cómo de rápido se desplazarían a lo largo de la cuerda. Esta velocidad de fase, así como su aceleración de fase, se calculan de la forma habitual:

Es importante saber distinguir entre la velocidad de fase y la de propagación, ya que no hacerlo puede llevar a errores muy básicos durante la resolución de problemas.
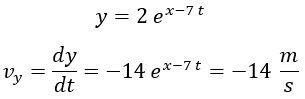
Tenemos una onda de la forma y=2*e^(x-7*t). Si estamos en el punto x=0 m y en el instante inicial, calcula:
a) La velocidad de propagación.
b) La velocidad de fase.a) La velocidad de propagación se deduce de la ecuación. Es de 7 m/s hacia la derecha.
b) La velocidad de fase, sin embargo, requiere de derivar y sustituir:
Al trabajar con ondas, comparándolas con problemas donde analizamos el movimiento de un cuerpo, debemos pensar en ellas como el movimiento conjunto de infinitos cuerpos alineados que suben y bajan. Con cada valor real de x fijamos un cuerpo diferente, y obtenemos la ecuación de movimiento vertical de dicho cuerpo, y(t). Es por este motivo que no les es aplicable de forma sencilla toda la teoría de campos que ya vimos en su momento, y un análisis riguroso requeriría de considerar conceptos como la tensión con la que cada punto de la cuerda tira de los adyacentes. Las matemáticas no son particularmente complicadas, pero no nos van a ayudar a comprender mejor la física que hay detrás, así que simplemente renunciaremos al análisis energético del problema, al menos en lo que a cuerdas se refiere.
Ondas armónicas.
Supongamos que nuestra cuerda tiene una forma sinusoidal al principio, la cual vendría dada por la ecuación armónica en cualquiera de las siguientes dos versiones:

Donde, como sucedía con el oscilador armónico, se puede pasar de una versión a la otra mediante el cambio:

Aquí k será lo que denominaremos número de onda, una magnitud que medirá la cantidad de radianes de vuelta que se recorren por cada metro transcurrido (rad/m). Si llamamos longitud de onda λ a la distancia que hay que desplazarse sobre la cuerda para acabar en una posición equivalente, lo cual sería equivalente a avanzar un «ángulo» de 2*π rad, obtenemos:

Es decir, que cuanto mayor sea la longitud de onda menor será el número de onda. Resulta importante resaltar que aunque al avanzar a lo largo de la cuerda no haya, en realidad, un avance en un ángulo, es como si estuviésemos dando vueltas en círculo en lo que respecta a la altura de cada punto x.
A los puntos donde el valor de x hace que la perturbación valga 0 se los llama nodos, mientras que a los valores donde la perturbación toma valores máximos o mínimos se los denomina vientres. La distancia entre dos nodos o dos vientres consecutivos siempre es de media longitud de onda, y la distancia entre un nodo o vientre y sus vientres o nodos adyacentes es de un cuarto de longitud de onda.
Tenemos una cuerda que ha adquirido la forma y=3*Sen(4*x+0,5). Calcula:
a) Su longitud de onda.
b) La posición de sus nodos.
c) La posición de sus vientres.a) Este apartado es directo:
b) Los nodos se producen siempre que el ángulo (expresión entre paréntesis) se anule, y eso sucede cuando es múltiplo de π. De modo que tenemos infinitos nodos caracterizados según el número entero n del siguiente modo:
El protocolo en este tipo de problemas es no sustituir π.
c) Por último, los vientres tienen que estar desplazados un cuarto de longitud de onda con respecto a los nodos:
Pongamos ahora nuestra cuerda sinusoidal en movimiento, para dar lugar a una onda armónica:

Ahora tenemos la posibilidad de decir que la velocidad de propagación de la onda debe ser equivalente a la longitud de onda dividida entre el periodo T que le lleva recorrerla. De aquí, recurriendo a las definiciones habituales de velocidad angular y frecuencia, podemos extraer el siguiente set de igualdades:

Lo cual, a su vez, nos permite reescribir la ecuación de la onda de los siguientes modos:

Y ya cada cual que elija la que más le guste según el caso, pues todas ellas son equivalentes. Evidentemente, cada punto de la onda oscilará entre la amplitud hacia arriba y la amplitud hacia abajo mientras esta se propaga.
Las ecuaciones de la velocidad de fase, derivando solo dos de las ecuaciones, son:

Y, tal y como sucedía con los osciladores armónicos, y por el mismo motivo, se cumple para cualquier valor de x y de t que:

Cuando la perturbación es máxima e igual a la amplitud, la velocidad de fase es nula. Por otra parte, si la perturbación es nula la velocidad de fase es máxima e igual al producto de la amplitud por la velocidad angular. Exactamente igual que en el oscilador armónico.
Por su parte, la aceleración de fase cumplirá con la ley de Hooke:

Y, como siempre, será máxima si la perturbación es igual a la amplitud, y nula si no hay perturbación.
Sabemos de una onda armónica que en el instante inicial su velocidad de fase en x=0 m es nula y que su amplitud es de 0,03 m. Sabemos además que su número de onda es 4 m y que pasado 1 s su perturbación en x=0 m es de y=-0,02 m. Calcula:
a) Su fase inicial (cualquiera).
b) Su longitud de onda.
c) Su velocidad angular.
d) Su velocidad de propagación.
e) El sentido en el que se mueve.
f) Su aceleración máxima.
g) Su ecuación (cualquiera).Trabajaremos (por comodidad) con la ecuación:
a) Sustituyendo que cuando x=0 m y t=0 s se cumple que vy=0 m/s, sustituyendo en la ecuación de la velocidad de fase podemos calcular la fase inicial:
b) Teniendo el número de onda es directo:
c) Sustituyendo que cuando x=0 m y t=1 s se cumple que y=-0,02 m, sustituyendo obtenemos:
Aquí hay que destacar que dado que son muchos los ángulos que pueden tener el mismo seno, la velocidad angular podría haber dado un resultado escogiendo cualquiera de ellos. En ocasiones, los problemas pueden vetar las soluciones alternativas indicando entre qué rango de valores está la velocidad angular y forzando a elegir la solución que lo cumpla. Este problema surge de que existen infinitas velocidades angulares que permiten el mismo resultado.
d) La velocidad de propagación se calcula directamente con fórmula:
e) El sentido que se mueve, teniendo en cuenta que en la ecuación tenemos un menos entre x y t, es hacia la derecha. Pero si hubiésemos resuelto el apartado c) de modo que la velocidad angular fuese negativa, habríamos obtenido que la onda se mueve hacia la izquierda.
f) La aceleración máxima se calcula con fórmula:
g) La ecuación final de la onda resulta ser:
En general los problemas son muy similares, modificándose únicamente los datos iniciales.
Energía puntual del sonido.
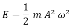
Otro ejemplo de onda sencillo, además de las que se propagan a lo largo de una cuerda, es el sonido. Una comprensión profunda del sonido requiere de la teoría cuántica, pero en un contexto clásico podemos simplemente decir que estaba bastante aceptado que el aire podía agitarse y tenía masa como punto de partida. A partir de esta consideración, una onda de sonido sería una perturbación que se propagaría por el espacio en una cierta dirección provocando que el aire vibrase de forma perpendicular. Matemáticamente, la idea es equivalente a suponer que el aire es una hilera de pequeñas masas que, al ser atravesada por una onda sonora, comienzan a oscilar en perpendicular como osciladores armónicos. Si a cada uno de los puntos de aire le asignamos una masa m, podemos entonces decir que el sonido transporta a través de cada pedazo de aire una energía armónica de:

Esta aproximación es demasiado exagerada para mi gusto, pero una pregunta que se suele hacer en las pruebas de universidad es si la energía de una onda armónica es proporcional a la amplitud o la frecuencia, en cuyo hay que decir que es proporcional al cuadrado de cada una de ellas.
Interferencia.
Supongamos que tenemos una pareja de ondas con idéntico número de onda y velocidad angular propagándose a lo largo del eje x, teniendo la segunda un cierto desfase φ respecto a la primera, algo que representaríamos así:

¿Cuál será el efecto conjunto de las dos? Podemos sumarlas y tener en cuenta el teorema del seno de la suma para descubrirlo:

Se distinguen aquí tres casos muy relevantes. Si el desfase es nulo, las ondas entran en interferencia constructiva, y dan lugar a una onda con una amplitud igual a la suma de la de cada una de ellas:

Por otra parte, si el desfase es opuesto, de 180º, las ondas entran en interferencia destructiva y dan lugar a una con amplitud igual a la diferencia entre ambas:

Esto implica que si las dos ondas originales eran iguales pero tenían un desfase opuesto y cuando una de ellas alcanzaba un máximo positivo la otra un mínimo negativo se cancelarán sin piedad, siendo el resultado de la suma de ambas la ausencia de ondas en absoluto. De modo que la ausencia de efectos ondulatorios en un lugar puede deberse a que no hay ondas o, alternativamente, a que las que hay interfieren negativamente y se cancelan.
En el resto de casos, la interferencia dará como resultado una onda más intensa que si la interferencia es destructiva, pero mayor que si es destructiva. Estos conceptos serán muy importantes cuando hablemos de la teoría cuántica de los campos y de cómo se descubrió que el éter electromagnético no existía.
Ondas estacionarias.
Volvamos a plantear el asunto de la sección anterior, pero ahora sumando dos ondas que se propagan en sentidos opuestos con la misma amplitud y no tienen desfase. Nuestras ondas serían:

Al sumarlas obtenemos lo siguiente:

El resultado es lo que llamamos una onda estacionaria con una amplitud igual al doble de la de cada una de las ondas por separado. En este tipo de ondas (que de hecho no son tal en sentido estricto) x y t se separan, y no existe velocidad de propagación en absoluto. Los nodos se mantienen fijos en su sitio, y el único movimiento que hay es en cada punto hacia arriba y hacia abajo. No hay propagación a lo largo del eje de la cuerda, el aire, o lo que sea que esté oscilando.
Teniendo claras estas propiedades, todo lo demás es análogo al resto de casos. Nos podrían pedir relacionar la velocidad angular con el periodo o la frecuencia, y el número de onda con la longitud de onda. También dónde están los nodos y los vientres. Y, muy en particular, cuál es la relación entre la amplitud de la onda estacionaria y la de las dos ondas que la componen al sumarse (el doble).
Las ondas estacionarias son características de sistemas donde se producen ondulaciones, pero estas quedan encerradas y ni desaparecen ni se pueden propagar. Por ejemplo, las cuerdas de los instrumentos de música al sonar producen ondas estacionarias, ya que no se propaga la perturbación hacia ningún sitio y se acaba disipando en forma de calor.
En el siguiente capítulo hablaremos acerca de las ondas de sonido, su propagación y el efecto Doppler. comentando algunas de sus principales utilidades. Será el último capítulo previo antes de ver, al fin, cómo Maxwell resolvió definitivamente la naturaleza clásica de la luz.
ACTIVIDADES RECOMENDADAS
1. Sabemos que una onda se propaga hacia la izquierda con una velocidad de 0,8 m/s, pasando en el instante inicial por el punto x=0 m, y=0 m. Sabemos también que su periodo es de 1,5 s y que tiene una velocidad de fase máxima de 0,4 m/s. Calcula:
a) Su fase inicial (en cualquier versión).
b) Su velocidad angular.
c) Su número de onda.
d) Su longitud de onda.
e) Su amplitud.
f) Su ecuación (en cualquier versión).
g) El valor de y cuando x=2 m y t=3 s.
h) El valor de vy cuando x=5 m y t=-2 s.
2. Tenemos una onda estacionaria en la que la distancia entre dos nodos consecutivos es de 8 m y la frecuencia es de 5 Hz. Además sabemos que tiene una amplitud de 4 m. Calcula:
a) Su periodo.
b) Su longitud de onda.
c) Su número de onda.
d) La amplitud de cada una de las dos ondas que la han producido.
e) La posición de todos los nodos en función de n.
f) La distancia entre los vientres.
g) El valor de y cuando x=4 m y t=1 s.
h) El valor de y cuando x=-8 m en cualquier instante.
Categorías:Blog, Docencia, Estudiar Física de Bachillerato, Física











