5. LUZ Y ONDAS
5.1. La propagación de la luz
5.2. Las lentes
5.3. Los espejos
5.4. Las ondas armónicas
5.5. El sonido
Ondas mecánicas.
La estructura atómica de la materia no se asentó del todo en el corpus científico hasta finales del siglo XIX. Antes se pensaba que esta era continua e infinitamente divisible, de modo que uno podría siempre cortar cualquier cosa en pedazos y obtener la misma cosa, pero de menor tamaño. Demócrito, en la antigua Grecia, fue el padre de la teoría atómica, pero su atomismo hipotético distaba tanto de tener respaldo que fue condenado al olvido.
Así las cosas, el sonido se interpretaba como la propagación de una onda por el interior de materiales (contando como material el aire), capaz de hacer que oscilasen internamente. Cuando se provocaba un ruido, este alteraba el aire de su alrededor y dicha perturbación llegaba hasta nuestros oídos.
El sonido era una de las muchas ondas mecánicas, un concepto clásico que representaba todas aquellas vibraciones internas de los materiales que se podían propagar. Los terremotos y la transmisión de vibraciones por el suelo al pisar eran otro tipo de ondas mecánicas.
Dentro del contexto de la física moderna, con sus átomos, no tiene sentido alguno hablar de ondas mecánicas, al menos en su sentido clásico, si bien si lo tiene en su acepción de vibraciones que se propagan a través de medios materiales transportando energía pero no masa.
Las ondas mecánicas se propagaban mejor por los sólidos que por los líquidos, y a su vez mejor por los líquidos que por los gases, al ser los sólidos normalmente más densos y contribuir esta densidad a una mejor transmisión de las ondas. Es normal pensar que el aire transmite mejor el sonido que, por ejemplo, una pared, pero eso es solo parte de la verdad. Una pared transmite el sonido mucho más rápido, pero también destruye más rápido su estructura por efectos de calor. Así que, aunque cuando alguien hable desde la habitación de al lado el sonido nos llegue más rápido a través de la pared, tan solo nos enteraremos cuando llegue la parte de este viajando a través del aire si hay algún pasillo con las puertas abiertas que conecte las habitaciones.
Mientras que la velocidad del sonido en el aire ronda los 343 m/s, sobre la superficie de la Tierra y a unos 20º C, a través de los sólidos puede llegar a ser de varios miles de metros por segundo. Es posible confirmar este hecho al sumergir la cabeza en el agua. Enseguida un montón de sonidos sobre estimulan nuestro oído. Son todas las ondas mecánicas que se están propagando a través del agua desde muy lejos, las cuales por el aire no llegan hasta nosotros.
El icónico físico del siglo XIX Ernst Mach fue quien propuso comparar las velocidades de todas las ondas mecánicas con los 343 m/s, la cual a día de hoy llamamos Mach 1 en su honor, aunque quizás hubiera sido mucho más coherente con la teoría de unidades decir 1 mach. Dado que al personaje en cuestión siempre le gustó ir por libre ideológicamente, renegando de modelos de otros físicos, quizás sea lo idóneo que su unidad tampoco respete las reglas. En efecto, Mach fue uno de los principales detractores de la teoría atómica, llegando a calificarla como ciencia sin ninguna evidencia experimental por motivos que detallaremos en venideros capítulos y bloques.
Decibelios.
En nuestro día a día estamos acostumbrados a clasificar los sonidos según si son o no altos o bajos. El tecnicismo asociado a esta idea es que estamos valorando la intensidad del sonido que nos llega, donde el término intensidad adquiere un nuevo significado.
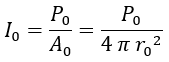
Supongamos que en un lugar cualquiera del espacio se produce un sonido con una cierta potencia de radiación P0, la cual mediremos en W o J/s. Si el ruido se produce en medio del aire, comenzará a propagarse de forma esféricamente simétrica alrededor de la fuente del ruido, y la potencia se tendrá que repartir por un área cada vez más grande. A este cociente entre la potencia de radiación y el área, que será siempre el área de una esfera, es a lo que llamamos intensidad:

Si suponemos que el sonido se crea en un punto, la intensidad inicial sería infinita al dividir entre un área nula, motivo por el cual no es conveniente realizar dicha aproximación, sino asignar la potencia inicial a una cierta área inicial A0 y definir así, a su vez, la intensidad inicial:

Y de aquí podemos concluir que si la distancia a la que escuchamos el ruido se duplica, la intensidad se divide entre el cuadrado, es decir, se reduce en un factor de cuatro. Por este motivo, los ruidos se atenúan relativamente rápido a medida que nos alejamos de ellos. Es, en realidad, el mismo fundamento del campo gravitatorio y el electrostático, cuya intensidad es proporcional a un valor fijo (la masa o la carga) dividido entre el área de la esfera por donde se distribuyen, como ya explicamos al hablar del flujo de los campos. En resumen, se cumple la relación:

Sin embargo, esta intensidad medida en W/m^2 tiene valores habituales que pueden ser extremadamente diferentes, pudiendo ser estos desde 0 cuando percibimos silencio hasta varios miles de millones en el caso de que un avión esté arrancando a nuestro lado. Para trabajar con números más pequeños, a principios del siglo XX la empresa telefónica del ya difunto Alexander Bell (reconocido por patentar el teléfono) propuso establecer un sistema de medida basado en logaritmos de base 10, y a la unidad resultante la bautizaron como decibelio (dB) por cuestiones evidentes. Para pasar una intensidad en W/m^2 a dB tenemos que realizar la siguiente operación:

En esta ecuación aparece el número 10^-12 dividiendo porque 10^-12 W/m^2 es, aproximadamente, la intensidad más baja que podemos escuchar a través del aire. Llamamos a dicha intensidad la intensidad de referencia. De este modo, podemos decir que los decibelios tienen las siguientes propiedades:
- Si la intensidad es igual a la de referencia, el cociente da 1, y el logaritmo de 1 en base 10 es 0, con lo que tenemos 0 dB.
- Si la intensidad es menor que la de referencia, el cociente es menor que 1, el logaritmo negativo y los decibelios negativos.
- Por último, si la intensidad es mayor que la de referencia, tendremos decibelios positivos.
- Al multiplicar la intensidad por 10, los decibelios aumentan en 10. Al multiplicarla por 100 los decibelios aumentan en 20, etc. Así, 50 dB suponen 100000 veces la intensidad de referencia.
- Al dividir la intensidad por 10, los decibelios se reducen en 10.
En España, la cantidad de decibelios máxima que puede hacerse llegar a la casa de otras personas dentro de la legalidad ronda los 50 dB. La mayoría de cosas ruidosas, si las escuchamos muy cerca, superan esa cantidad, pero hay que tener en cuenta que la ley hablar de cuánta intensidad pueden padecer otros en su casa por nuestra culpa, y no de cuánta se puede emitir. De este modo, podemos hacer mucho ruido siempre y cuando la distancia a viviendas permita una atenuación del sonido.
Algunos ejemplos de cosas que pueden resultar ilegales son activar aspiradoras o lavadoras durante la madrugada, pero normalmente salvo que gritemos, demos golpes o pongamos un equipo de música al máximo con heavy metal estaremos dentro de lo permitido. Los problemas surgen, normalmente, cuando alguien pretende deliberadamente ser ruidoso, y cuando las viviendas están en ubicaciones acústicamente problemáticas como las proximidades de un aeropuerto, las vías del tren o plazas donde se suelan realizar conciertos. Este tipo de situaciones suelen acarrear denuncias si son muy repetitivas.
Por encima de los 140 dB las personas, normalmente, comenzamos a sentir dolor en los oídos por culpa del ruido, pero hablamos de una intensidad a la que normalmente no estamos expuestos. Para escuchar algo que lo supere habría que ponerse junto a explosiones de gran magnitud, como erupciones volcánicas mortales o bombas.
Una persona gritando en medio de la calle produce una intensidad de 3*10^-5 W/m^2 a 1 m de ella. Calcula:
a) El valor de dicha intensidad en decibelios.
b) La intensidad a 20 m.
c) La intensidad anterior en decibelios.
d) Analiza si los habitantes de una casa a esa distancia podrían llegar a quejarse por el grito.Los apartados a), b) y c) requieren de simple aplicación de fórmulas:
La intensidad que llega es bastante próxima a los 50 dB, con lo que es posible que haya problemas.
Efecto Doppler.

Esquema visual del efecto Doppler.
Otra curiosidad acerca del sonido fue planteada a mediados del siglo XIX por el físico Christian Doppler, quien reflexionando acerca de las ondas armónicas que se propagaban con velocidad constante llegó a la conclusión de que la frecuencia con la cual eran percibidas debían depender de la velocidad tanto de la fuente de las mismas como de quien las escuchase.
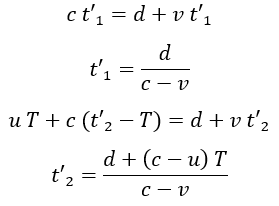
Supongamos que tenemos una fuente de ondas que se mueve a lo largo del eje x con la siguiente ecuación:

Por otra parte, consideremos que el observador se mueve con la siguiente ecuación, comenzando a una distancia d:

Si el el instante inicial t1=0 s la fuente lanza una onda hacia la derecha que se mueva con velocidad c, la onda partirá del punto x=0 m y se moverá según:

Y, si la fuente emite ondas con un periodo T, la siguiente se emitirá cuando esté en u*T, y se moverá según la ecuación:

Podemos calcular ahora en qué instantes t’1 y t’2 colisionarán las ondas con el observador igualando sus posiciones, obteniéndose como resultado:

De modo que el observador percibirá un periodo en principio diferente al de la fuente para los pulsos, el cual podemos obtener restando los tiempos en los que recibe la primera y la segunda señal.

De esta ecuación podemos deducir varias cosas:
- Si la fuente y el observador se mueven con la misma velocidad, el cociente da 1 y los periodos son iguales, no produciéndose efecto alguno.
- Si la fuente se acerca a la velocidad de la onda, todas las que emita irán juntas y el periodo percibido entre unas y otras será nulo.
- Si la fuente se acerca más despacio que la onda, el periodo se reduce.
- Si la fuente se acerca más rápido que la onda, el periodo se vuelve negativo, llegando antes las señales más nuevas que las más viejas hasta este.
- Si la fuente se aleja, el periodo aumenta.
- Si el observador se aleja a la velocidad de la onda, esta nunca le alcanza y el periodo se hace infinito.
- Si el observador se aleja más despacio que la onda, el periodo aumenta.
- Si el observador se acerca, el periodo se reduce.
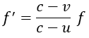
Con las frecuencias sucede exactamente lo contrario, y de hecho es más habitual encontrarse la ecuación escrita del siguiente modo:

Veamos un ejemplo.
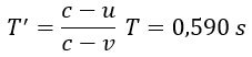
Un coche de policía persigue a 45 m/s a un vehículo que se aleja a 40 m/s por la autopista. Mientras tanto, su sirena emite el ruido característico con un periodo de 0,6 s. ¿Con qué periodo escuchará el coche que se aleja la sirena de la policía?
Como vemos, el efecto sería muy pequeño en este caso.
El efecto Doppler fue confirmado posteriormente por los experimentos, y un ejemplo muy famoso es el hecho de que los coches que se acercan a nosotros suenan más fuertes por el aumento de frecuencia, pero en cuanto pasan a alejarse suenan más suaves.

Onda de choque producida por avión alcanzando el Mach 1.
Mach, teniendo en cuenta las predicciones, supuso que si algún cuerpo moviéndose a gran velocidad superase la velocidad del sonido, las ondas de este que provocase se sumarían dando lugar a un frente de onda con forma de cono muy energético y peligroso, al cual denominamos hoy onda de choque o cono de Mach. El ejemplo más habitual es el de los aviones superando el Mach 1 y provocando una nube de condensación en forma de cono a su alrededor, pero lo mismo sucede por ejemplo con las olas. Las olas propagándose por la superficie del agua son ondas mecánicas con las mismas propiedades que el sonido, y si un barco se mueve a la velocidad de las olas puede crear también una onda de choque de estas que podría resultar problemática en caso de llegar a la costa.
Fizeau comprobó también, antes de medir su velocidad experimentalmente, que el efecto Doppler era aplicable a la luz, y que si nos acercábamos a ella tenía más frecuencia que al alejarnos. Pero de la luz y sus propiedades como onda hablaremos más en detalle en el próximo capítulo.
ACTIVIDADES RECOMENDADAS
1. Un volcán explota emitiendo ruido con una intensidad de 200 dB a 100 m del punto de la explosión.
a) Calcula la intensidad en W/m^2.
b) El umbral de dolor por ruido es de 140 dB. Escríbelo en W/m^2.
c) Calcula a qué distancia del volcán el ruido dejaba de resultar doloroso.
2. En un concierto se está tocando música con un compás de 4 s, pero nosotros preferimos escucharla con compases de 2 s. ¿A qué velocidad deberíamos movernos hacia el concierto para reducir el periodo a la mitad? Ten en cuenta qué velocidad estamos alterando y con qué signo deberá aparecer.
Categorías:Blog, Docencia, Estudiar Física de Bachillerato, Física


