Hace tiempo calculamos la solución de Schwarzschild para la ecuación de la relatividad general de Einstein como ejemplo de cómo hacer cuentas con el formalismo de la teoría, la cual representaría el campo gravitatorio creado por una masa a su alrededor. En esta entrada daremos un primer vistazo general a las conclusiones que se derivan de su solución y las compararemos con las de la gravedad clásica de Newton y sus órbitas. No obstante, no haremos consideraciones sobre los periodos de dichas órbitas ni de la precesión relativista, que ya fue tratada en su momento.
Las órbitas de Newton:
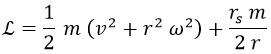
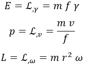
Las trayectorias clásicas de una partícula de masa m, velocidad radial v y velocidad angular ω en torno a una estrella de radio de Schwarz rs ubicada a una distancia r venían dadas por la siguiente lagrangiana:
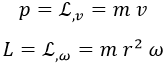
Dicha lagrangiana tiene asociados el siguiente momento lineal p y angular L, si bien el primero no se conserva:
Recordemos que las comas denotan derivadas parciales.
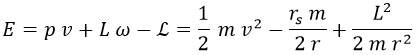
Teniendo los momentos, la energía de la partícula es:
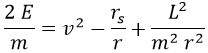
Y de aquí se puede obtener la siguiente relación:
Por comodidad, definimos las siguientes magnitudes para evitar andar arrastrando la m:
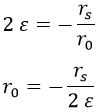
.-Alcance máximo:
La mayor distancia r0 a la que puede estar una partícula con energía ε es aquella en la que su energía no le da para tener velocidad radial ni angular, es decir, donde v y L son nulos. Eso lleva a:
Si la energía por unidad de masa es negativa, el alcance es finito y tenemos una trayectoria cerrada y caerá a la estrella. Si la energía es no nula el alcance es infinito y no habrá límites a la distancia alcanzable.
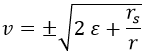
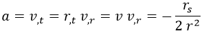
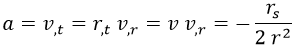
.-Aceleración radial:
Cuando una partícula está quieta en r0 y comienza a caer podemos despejar que su velocidad en función de r será:
Nótese que en la posición r0 siempre será nula salvo que la energía ε sea positiva. La ambigüedad en el signo es debida a que representamos con la misma ecuación tanto una caída como un ascenso.
La aceleración, por su parte, se puede obtener mediante la regla de la cadena, obteniéndose la ley de gravitación de Newton, como no podía ser de otro modo:
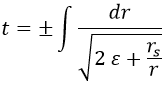
.-Tiempo de caída:
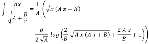
De la ecuación de la velocidad podemos despejar el tiempo t en función de la distancia r mediante la siguiente integral indefinida:
Esta integral se resuelve mediante diversos apaños que incluyen multiplicar y dividir por lo mismo, sumar y restar, separar fracciones y algún apaño más. Como ocuparía demasiado, cojo la solución tabulada y quien tenga interés puede demostrarla al revés derivando en unas pocas líneas:
Así pues, obtenemos:
Puede comprobarse fácilmente que si r es nulo el tiempo también, aplicando que el logaritmo de 1 es 0. Así pues, el si sustituimos el alcance máximo en la ecuación vemos que el tiempo que lleva a una partícula llegar hasta él desde el centro de la estrella con energía ε es:
El logaritmo de -1 es, según el análisis complejo, i π, con lo que:
¿Tenemos un tiempo complejo? No, dado que abajo realmente también tenemos la raíz de un número negativo y ambos factores imaginarios se cancelan. En particular, si trabajamos con el módulo de ε obtenemos:
Con lo que nos sale un número real y perfectamente razonable. Cuanta más energía tiene una partícula, menos le lleva llegar hasta su alcance máximo, aunque este sea a su vez más grande.
.-Órbitas cerradas:
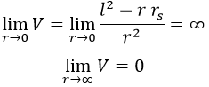
A partir de la definición de la energía podemos identificar como la energía potencial V del sistema la siguiente expresión:
La energía potencial gravitatoria tiende a atraer el cuerpo a la estrella y la rotacional lo repele. Es fácil ver que a pequeñas distancias gana la rotacional por tener una mayor potencia en el denominador y que a grandes distancias pierden ambas:
¿Pero cómo es la forma del potencial por el medio? Para intuirlo, podemos buscar sus radios críticos derivando e igualando a cero:
La distancia obtenida minimiza el potencial, lo cual se deduce sabiendo que la derivada para distancias menores es negativa y para distancias mayores es positiva. Tenemos pues una órbita circular sobre la cual el cuerpo puede oscilar en torno a la estrella sin variar su radio. Si se aproxima más, la energía rotacional lo acabará repeliendo. Si se aleja más, puede que escape o acabe cayendo de nuevo según la energía extra con la que lo haga.
Reflexión importante con la que nos debemos quedar: según la mecánica clásica es imposible que un cuerpo con momento angular no nulo caiga a la estrella por repulsión del eje de rotación.
Las órbitas de Schwarzschild para cuerpos masivos:
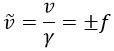
En relatividad, como es usual, tendremos que considerar que en todo planteamiento van a existir siempre el tiempo que transcurre para un observador t y el tiempo propio que transcurre para el cuerpo observado τ. La derivada del primero respecto al segundo la denotamos por γ:
Como vimos ya en la entrada sobre la solución de Schwarzschild, el módulo de la cuadrivelocidad de cualquier cuerpo, que tendrá que valer 1, responde a la siguiente ecuación:
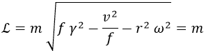
La lagrangiana relativista en este caso se definía del siguiente modo:
Sus momentos asociados tienen las siguientes expresiones:
Nótese la novedad de que en este caso aparece la energía como momento conjugado del tiempo debido a que el tiempo de observador y el propio no son iguales. Al derivar hemos suprimido la raíz de la expresión final en el denominador aplicado que vale 1.
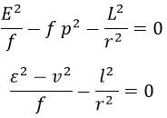
Finalmente obtenemos:
Lo cual podemos reescribir como:
Y a su vez como:
De esta última expresión nos beneficiaremos para analizar la energía potencial efectiva de forma cualitativa por comparación con el caso de Newton.
.-Alcance máximo:
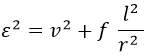
En esta ocasión, si nos cargamos la velocidad y el momento angular obtenemos:
Al final hemos introducido la nueva variable ∈ por comodidad y por hacer más evidente la analogía con la gravedad clásica.
.-Aceleración radial:
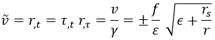
Supongamos ahora, de nuevo, que el cuerpo sale despedido desde el centro de la estrella con factor energético ∈ y sin momento angular. Su velocidad según la distancia será:
Con respecto a la aceleración, obtendremos de nuevo la ley de gravitación de Newton:
Pero, ¿cómo puede ser que estemos obteniendo la aceleración de Newton usando relatividad general? Fácil: estamos derivando respecto al tiempo propio y con este los efectos de curvatura del tiempo son invisibles. Si queremos observar efectos relativistas tendremos que redefinir la velocidad usando el tiempo de observador, al cual se llega fácilmente mediante la regla de la cadena:
Teniendo en cuenta que esta y no la anterior sería la velocidad medida por un observador en reposo con la estrella, la aceleración ya padece de efectos relativistas:
El límite clásico se recupera a grandes distancias si la energía ε es prácticamente 1 y, consecuentemente, ∈ es nulo. La relatividad general corrige a la gravedad de Newton solo con grandes distorsiones energéticas.
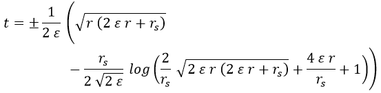
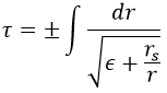
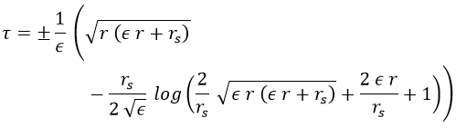
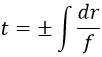
.-Tiempo de caída:
Igual que en el caso clásico, la velocidad nos lleva a la siguiente expresión para el tiempo propio:
La integral es análoga:
Y el tiempo propio de vuelo hasta el alcance máximo es:
Así pues, no obtenemos ninguna diferencia con el caso clásico para caer en una estrella concentrada en un punto.
Sí que se percibe una diferencia sustancial, no obstante, si en vez de caer queremos observar caer a otro cuerpo, dado que la integral para el tiempo de observador es:
Esta integral explota al pasar por el radio de Schwarzschild, dado que f se anula en el denominador. La consecuencia es directa: lleva un tiempo infinito ver a algo llegar hasta dicho radio tanto desde fuera como desde dentro. Este es el motivo por el que dicha distancia se conoce como el horizonte de sucesos de Schwarzschild.
Sin embargo, que nos lleve infinito tiempo ver a algo llegar hasta el horizonte, no significa que ese algo no lo haya atravesado ya. En efecto, si la teoría es correcta, unas líneas arriba obtuvimos que en tiempo propio ya no solo el horizonte de sucesos sino también el centro de la estrella eran alcanzados en tiempo finito.
.-Órbitas cerradas:
Supongamos que queremos estudiar un horizonte de sucesos sin caer para siempre al otro lado y quedar descomunicados, en principio, del resto del universo. ¿Cuánto nos podemos acercar? Para contestar a esta pregunta debemos saber cuál es la órbita circular estable más próxima al horizonte en la que nos podemos mantener.
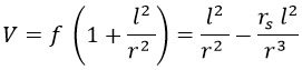
Por analogía con el caso clásico, definimos el potencial V:
La principal diferencia entre este potencial y el clásico es la aparición de un término gravitatorio-rotacional al final que decae más rápido que los anteriores. Sin embargo, es dominante a cortas distancias y atractivo, cargándose la barrera repulsiva de la energía rotacional a la que nos tenía acostumbrados la mecánica clásica. Así pues, en este caso a cortas distancias es infinitamente atractivo y a largas distancias sigue siendo nulo:
Si buscamos sus radios críticos, nos aparecen dos:
En ausencia de velocidad radial, ambos representan órbitas circulares, ¿pero qué propiedades tienen dichas órbitas? Pensémoslo cualitativamente.
El potencial comienza siendo infinitamente atractivo y acaba siendo nulo. Por el medio, sabemos que tiene dos puntos críticos entre los cuales la derivada es negativa. Así pues, lo que tenemos es que el potencial aumenta a medida que nos alejamos de la estrella hasta alcanzar un máximo en r- (la solución con signo -), después decae hasta alcanzar un mínimo en r+, y finalmente asciende hasta ser nulo a una distancia infinita.
Las órbitas circulares en r+ son estables, dado que representan un mínimo de potencial: si el cuerpo se acerca más a la estrella la rotación lo repele y si se aleja tal vez se escape, aunque puede que vuelva a caer.
Por el contrario, las órbitas circulares en r- son inestables, dado que representan un máximo: si el cuerpo se acerca más a la estrella cae irremediablemente más allá del horizonte de sucesos y si se aleja podrá escaparse del todo o ubicarse sobre la órbita circular estable en r+.
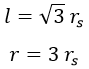
No obstante, estas consideraciones presuponen que la raíz que ha aparecido al resolver los puntos críticos es positiva. Si fuese nula, ambas órbitas circulares serían la misma, inestable, y se encontraría a una distancia de tres radios de Schwarzschild:
Un poco por encima de distancia es lo más próximo que se podría orbitar en torno a un agujero negro estático sin peligro de caer en él, aunque no por ello dejaría de ser una misión alocada.
Si el momento angular por unidad de masa fuese menor que la raíz de tres veces el radio de Schwarzschild no habría ninguna órbita circular capaz de salvar al cuerpo orbitante de ser engullido.
No obstante, lo que hemos calculado es que tres radios de Schwarzschild son la órbita circular estable más próxima, pero podemos preguntarnos por la inestable si nos la queremos jugar más. Para ello, tenemos que ver cómo funciona la teoría con momentos angulares tendiendo a infinito. Para ello, aproximamos por serie de Taylor la raíz:
En suma, con momentos angulares elevados las órbitas estables pasan a ubicarse a distancias infinitas y las inestables se aproximan hasta un 50% por encima del horizonte de sucesos:
La órbita circular inestable más próxima al horizonte está a la mitad de distancia del centro del agujero que la estable.
Órbitas de Schwarzschild para cuerpos sin masa:
En ausencia de masa, como sucede con los fotones de la luz, la ecuación lagrangiana queda como sigue:
Lo cual reescribimos del siguiente modo:
De nuevo, usaremos esta ecuación para razonar el potencial.
.-Alcance máximo y aceleración:
En el caso de la luz, no puede ser que la velocidad se anule, porque obtendríamos que la energía debe ser necesariamente cero. Es decir, que no haya luz:
Siendo realistas cosas, la velocidad sería constante y la aceleració sería nula:
Sin embargo, solo serían así con respecto al tiempo propio. Con respecto al tiempo del observador, la luz cambiaría tanto su velocidad como su aceleración por la curvatura temporal representada mediante el factor f:
Cabe destacar dos cosas. La primera que la velocidad observada de la luz se anula en el horizonte de sucesos, igual que sucedía con la de la masa, al ser proporcional a f. La segunda que la luz se acelera radialmente el doble de rápido que la masa según la ley de gravitación de Newton. Este efecto fue medido por Eddington y su equipo en 1919. Einstein diría al respecto que «la luz se curva por la gravedad en un 50% debido a la fuerza gravitatoria y en un 50% debido a la dilatación del tiempo». No obstante, la frase es imprecisa, dado que el efecto también sucede con masas. Lo que sucede es que la aceleración extra de la relatividad general se manifiesta a velocidades próximas a la de la luz, con lo que apenas la percibimos en objetos masivos en nuestro día a día. En relatividad general, la velocidad «gravita».
.-Tiempo de caída:
Debido al hecho de que la velocidad de la luz observada también es nula en el horizonte de sucesos, también llevará un tiempo infinito verla llegar a este, lo que se manifiesta con una divergencia en el denominador de la ecuación integral del tiempo:
.-Órbitas cerradas:
Por último, planteémonos la cuestión que ya intuís: ¿cuál es la distancia más próxima al horizonte de sucesos sobre la cual la luz puede orbitar circularmente sin peligro de caerse? ¿El propio horizonte? La respuesta ya la hemos sugerido hace nada, pero calculémosla antes de nada.
El potencial en esta ocasión carecería del término de Newton, quedándose con el gravitatorio y el gravitatorio-rotacional:
Siendo este el caso, de nuevo tenemos un potencial infinitamente atractivo en las cercanías del agujero negro. Derivando, obtenemos el siguiente punto crítico:
El cual es inestable, y además define la única trayectoria circular posible para la luz. Si se desvía más cerca del agujero negro está condenada a caer sobre este, y más lejos a escapar.
Así pues, es imposible tener un rayo de luz orbitando sobre el propio horizonte de sucesos, aunque de primeras uno podría estar tentado de pensar lo contrario. Esto no es lo mismo que la distancia más próxima al horizonte desde la cual la luz puede escapar moviéndose completamente hacia fuera, en todo caso. Dicha distancia estaría justo encima del horizonte.
Cabe destacar que la órbita más próxima al horizonte permitida para la luz es la misma que la permitida para la materia. Esto evidencia, como comentábamos, que el único requisito para que ambas padezcan las mismas fuerzas es que tengan velocidades similares. En efecto, en relatividad las partículas que se mueven muy rápido es como si no tuviesen masa de base.
Categorías:Carrera, Física, Relatividad

















































