Carrera

Análisis de la cronología cósmica: el Big Bang, la nucleosíntesis, la recombinación, el fondo cósmico de microondas, el modelo cosmológico concordante y la edad del universo.

Universo

En la entrada anterior explicamos que el universo parecía estar compuesto en un 70% de energía oscura y en un 30% de materia. Esto era debido a que era la única forma consensuada de compatibilizar la teoría con el hecho de que este se estuviese expandiendo aceleradamente.

Sin embargo, como vimos, tanto el parámetro de Hubble que indica la velocidad de expansión como el de deceleración dependen de la densidad de energía en el universo y esta no es constante, con lo que cabe esperar que ambos se hayan ido modificando en el tiempo. A medida que el universo es más grande tiene más volumen. Sin embargo, en principio contendría la misma cantidad de materia. Esto hace que la densidad de materia disminuya, con su efecto sobre la dinámica del cosmos.

En esta entrada analizaremos la cronología de la expansión cualitativamente de forma aproximada y calcularemos la edad del universo necesaria para que el modelo tenga sentido.

La teoría del Big Bang:

Después de que en 1929 Hubble publicase que el universo parecía expandirse fue necesario reconsiderar las teorías que había hasta entonces sobre el universo.

Einstein llevaba defendiendo desde 1917 que el universo tenía que ser estático, habiendo incluso introducido la constante cosmológica (actualmente conocida como energía oscura) para evitar que la materia colapsase gravitacionalmente. Además, dentro del modelo cosmológico de Friedmann se planteó que podría mantenerse inmóvil debido a que el espacio estuviese adecuadamente curvado.

Una vez descubierto que todos los intentos de explicar la quietud del universo iban a ser infructuosos porque de hecho el universo se expande, el sacerdote Georges Lemaïtre planteó en 1931 que tal vez todo el universo procedía de un único átomo primordial que se había desintegrado de forma violenta. Del mismo modo que cuando una estrella explota da lugar a una supernova, este átomo primordial habría dado lugar a todo un universo en movimiento cuyos componentes aún hoy se seguirían moviendo por inercia. Esta propuesta recibió el nombre de Big Bang tiempo después.

Cabe destacar que el concepto de «átomo primordial» ayuda a entender la idea, pero también genera confusión. Actualmente sabemos que el universo seguramente sea infinito, y si lo es hoy necesariamente también lo tuvo que ser en su origen. No hay forma de hacer que algo finito se vuelva infinito de repente. Lo que se dilata es el concepto de distancia dentro del universo y no el universo en sí. Así pues, la teoría del Big Bang lo que realmente dice es que hace muchísimo tiempo las distancias entre cosas que hoy están muy alejadas eran mucho menores.

Como comentamos en la entrada sobre unidades naturales y unidades de Planck, la física teórica considera que las magnitudes que se pueden obtener mediante constantes fundamentales de la naturaleza deben tener una cierta relevancia teórica. Así pues, no es de sorprender que se considere que todo comenzó con el tiempo que se obtiene de combinar la constante de gravitación universal, la constante cuántica de Planck y la velocidad de la luz: el tiempo de Planck:

Tiempo Planck

Este tiempo está relacionado con la energía de Planck y la temperatura de Planck (con la segunda mediante la constante termodinámica de Boltzmann):

Energía y temperatura de Planck

Así que partiremos de un universo en el que en el tiempo de Planck las partículas estaban a la elevadísima temperatura de Planck y poseían, cada una de ellas, la energía de Planck. Para comprender la magnitud de todos esos gigaelectronvoltios GeV de energía se puede pensar en que actualmente en el CERN trabajan con miles de GeV. Las partículas del LHC son millones de millones de millones de veces menos energéticas que las del comienzo del universo, y aún así son las más energéticas que tenemos a nuestro alcance en la Tierra a día de hoy. La temperatura de Planck ya resulta imponente por sí sola.

La nucleosíntesis y la recombinación en el universo dominado por radiación:

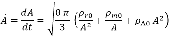
Debido a su elevada energía, todas las partículas del Big Bang serían considerables radiación: prácticamente la totalidad de su energía era cinética. Cuando el universo está dominado por radiación, habíamos visto que su factor de escala aumenta de forma proporcional al tamaño del tiempo:

Universo radiación

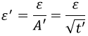
Debido a esta expansión, la energía cinética ε de las partículas se iría reduciendo con el factor de escala, dando lugar a una energía ε’ en un tiempo t’:

Doppler

Este era el efecto Doppler cósmico mencionado en la entrada anterior. De aquí podemos despejar:

Relación Doppler radiación

Y dado que esta relación es general para cualquier tiempo t’, se puede usar para relacionar diferentes etapas del universo primitivo cuya energía por partícula podamos estimar.

.-Nucleosíntesis:

Supongamos que en cierto punto del universo primitivo había protones y neutrones a partes iguales sueltos por ahí por no tener ningún motivo para justificar que tuviese que haber de unos más que de los otros. Como vinos, en estas circunstancias, los neutrones tenderían naturalmente a convertirse en protones liberando electrones y neutrinos con una energía cinética del orden del MeV:

Desintegración neutrón

Debido a la elevada temperatura y, por tanto, a la elevada energía que tendrían todos los electrones del universo, el proceso contrario también sería forzadamente posible: que un protón absorbiese un electrón y se convirtiese en neutrón emitiendo un neutrino:

Captura electrónica

Estos dos procesos competirían simultáneamente por mantener nivelado el número de protones y de neutrones. Ahora bien, mientras que el primer proceso es completamente natural, el segundo requiere de grandes temperaturas que den a los electrones las energías cinéticas apropiadas.

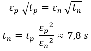
Se denomina era de la nucleosíntesis primordial al instante del universo en el que la energía de los electrones dejó de ser suficiente para convertir los protones en neutrones, dando lugar a un desequilibrio que contribuyó a disminuir los neutrones sueltos.

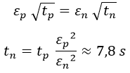
Mediante la relación entre tiempos y energías, y sabiendo que la energía de nucleosíntesis εn debió de ser de alrededor de un MeV, se obtiene el tiempo tn al que debió de tener lugar:

Tiempo de nucleosíntesis

Vemos que aproximadamente los protones dejaron de convertirse arbitrariamente en neutrones a partir de los primeros segundos del universo. Una vez que esto sucedió y tuvimos un universo en el que protones y neutrones se comportaban como lo hacen a día de hoy, pudieron comenzar a formar núcleos atómicos sin que estos fuesen destrozados por efectos térmicos.

-Recombinación:

Una vez que ya había núcleos en principio podría haber empezado a haber átomos, pero esto siguió siendo complicado por la elevada temperatura. Un núcleo de hidrógeno con carga positiva (un protón) puede juntarse con un electrón de carga negativa para dar lugar a hidrógeno neutro bajo el único precio de que el electrón emita un fotón γ con una energía εc del orden del electronvoltio, como vimos en las entradas sobre orbitales atómicos:

Formación átomo

La formación de átomos mediante la captura de electrones por parte de los protones, sin embargo, se veía constantemente estropeada por nuevos fotones que al incidir con el átomo formado arrancaban el electrón de nuevo:

Ionización

Al igual que sucedía con la nucleosíntesis, para que los fotones dejasen de reventar el empeño del universo por formar átomos fue necesario que la temperatura decayese hasta impedirles hacerlo. Se denomina recombinación o última dispersión al instante tR en que los fotones arrancaron electrones de sus respectivos núcleos por última vez, y sabiendo que la energía εR era del orden del electronvoltio se puede calcular que tuvo lugar unas centenas de miles de años después del Big Bang:

Tiempo de recombinación

La estimación oficial es de 300000 años debido a correcciones del modelo que no hemos considerado.

Después de la recombinación, aunque no inmediatamente, el universo ya tenía las propiedades con las que lo conocemos y pudo empezar a formar cúmulos, galaxias, sistemas estelares y demás ingredientes de los que conocemos. Comenzaba la dominación de la materia.

El fondo cósmico de microondas:

Mapa cósmico de los fotones de la recombinación detectados.

Mapa cósmico de los fotones de la recombinación detectados.

Todos los fotones que interactuaron por última vez durante la recombinación es de esperar que nunca más desde entonces hayan interaccionado con prácticamente nada, ya que perdieron la energía necesaria para realizar la mayoría de los procesos físicos habituales asociados a fotones.

En torno a 1950 el modelo del Big Bang empezaba a calar hondo en la mente de los cosmólogos, y una buena evidencia de que estaban siguiendo la senda correcta sería poder detectar estos fotones reliquia. Estos viajeros del universo primitivo.

Si la recombinación tuvo lugar en todo el universo a la vez, y el universo es perfectamente simétrico, deberían estarnos llegando dichos fotones desde todas direcciones desde distancias extremadamente lejanas. Concretamente, desde la distancia que recorre la luz en el tiempo que va desde que tuvo lugar la recombinación hasta el instante actual, sumando el factor de expansión del universo que haya habido durante su viaje.

En 1965, los experimentales Penzias y Wilson estaban calibrando una antena cuando detectaron que había un ruido de fondo que les era imposible corregir. Una radiación electromagnética de baja frecuencia que procedía de todas direcciones con la misma intensidad: el fondo cósmico de microondas.

Los fotones reliquia que detectaron tenían un espectro de frecuencias acorde con la ley de Planck para la radiación electromagnética, lo que significa que todos ellos precedían de un sistema con la misma temperatura. Y si desde todas direcciones, a una barbaridad de distancia entre ellas, proceden fotones con la misma temperatura, eso sugiere que tienen el mismo origen. ¿Y qué mejor explicación que el Big Bang y su consecuente recombinación? Ambos recibieron el premio Nobel por su importante contribución a nuestra comprensión del universo.

Actualmente el fondo cósmico tiene asociada una energía/temperatura ε0 de:

Fondo cósmico

Es decir, que estas gloriosas partículas que al principio del universo tenían la temperatura de Planck, ahora se conforman con unas tristes centenas de milielectronvoltios.

Dado que el fondo cósmico de microondas está en equilibrio término su entropía es máxima (de lo contrario estaría variando), y esto demuestra que el modelo cosmológico actual, según el cual la expansión no afecta a la entropía en absoluto, es correcto. La entropía del universo aumenta por casi todos sus procesos internos, pero no porque este se expanda.

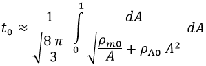
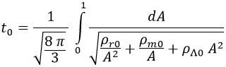
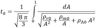
¿Podemos usar lo visto para intentar calcular la edad del universo? Sí, y nos dará más o menos bien.

En el universo dominado por materia el factor de escala aumenta de la siguiente forma:

Universo materia

Sabiendo esto, podemos relacionar dos etapas sabiendo la energía característica de ambas. Así pues, si suponemos que desde la recombinación hasta el presente la materia ha sido la gran protagonista del universo, obtenemos que el tiempo actual t0 es de 69000 millones de años:

Estimación edad

Sin embargo, lo que se dice es que tiene solo 14000 millones de años. Hemos metido la pata por poco pero la hemos metido. ¿Y qué ha pasado? Que actualmente, como vimos en la entrada anterior, el universo estaría más bien dominado por energía oscura.

El modelo cosmológico concordante (con los datos):

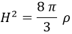
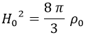
Tomemos la primera ecuación de Friedmann en el presente, que relaciona el parámetro de Hubble actual H0 con la densidad de energía del universo ρ0:

Conocemos el valor del parámetro de Hubble porque lo hemos medido:

Hubble

De modo que podemos despejar de forma sencilla la densidad de energía del universo:

Sabiendo que en el presente más o menos el 70% de la energía es oscura y el 30% de materia, obtenemos:

Densidades de energía oscura y materia

Para la radiación tenemos que hacer alguna consideración primero. Sabemos que la energía neta E de un gas de fotones de volumen V y temperatura T sigue la ley de Stefan-Boltzmann:

Ley de Stefan-Boltzmann

La constante de proporcionalidad de Stefan-Boltzmann valdría para el caso que nos ocupa:

Constante de Stefan-Boltzmann

Consecuentemente, si consideramos que la radiación más importante que hay a día de hoy en todo el universo es el fondo cósmico de microondas (aunque realmente también estarían los neutrinos de la nucleosíntesis, no detectados), cuya temperatura conocemos, la densidad de energía por radiación en el universo es:

Densidad de energía de radiación

Una nimiedad en comparación con las otras dos.

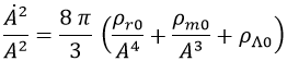
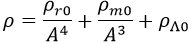
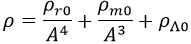
La densidad de energía en el universo sería, a priori, la suma de estas tres:

Densidad de energía

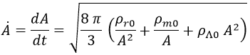
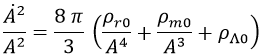
Y si tenemos en cuenta que la densidad de radiación decae con la cuarta potencia del factor de escala A y la de materia con el cubo, podemos relacionar la densidad de energía en cualquier instante con las que medimos en el instante actual mediante la relación:

Densidad de energía global

Aquí estamos suponiendo que el factor de escala vale 1 en el presente porque podemos.

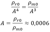
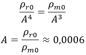
Teniendo esta ecuación podemos preguntarnos cuánto valía el factor de escala cuando la densidad de materia fue igual a la de radiación. ¿La respuesta? Menos de una milésima de lo que vale ahora:

Factor recombinación

Dicho de otra forma: el universo ha aumentado su tamaño en un factor mayor que mil desde los tiempos de la recombinación.

Análogamente podemos preguntarnos cuánto valía el factor de escala cuando la densidad de energía oscura consiguió igualar a la de materia. Pues un 90% de su valor actual:

Es decir, «casi fue ayer» cuando la energía oscura comenzó a ser la más relevante de las tres.

Así pues, el modelo cosmológico concordante actual supone que hubo una explosión inicial durante la cual el universo fue casi en su totalidad radiación. Dicha radiación fue decayendo y en muy poco tiempo en escala cósmica la materia tomó el relevo. En el instante actual la energía oscura se hace notar, una vez que sus dos competidoras van perdiendo relevancia.

Densidades de energía según el factor de escala.

Densidades de energía según el factor de escala.

La edad del universo:

Tomemos la primera ecuación de Friedmann de nuevo:

Sustituyamos cada miembro de la ecuación por su expresión general:

Primera ecuación de Friedmann 3

Esto nos lleva a:

Despeje A

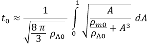
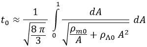
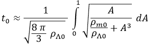
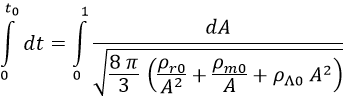
Y de aquí llegamos a una ecuación integral con el factor de escala por un lado y el tiempo por el otro. El tiempo nos interesa integrarlo desde 0, el origen del universo, hasta el presente t0. El factor de escala desde 0, el universo con distancias internas nulas, hasta 1, el factor de escala actual:

Ecuación integral

Integrando en el primer miembro y sacando constantes en el segundo:

Cuentas 1

Ahora quitamos de la ecuación la densidad de radiación porque ha sido anecdótica en la historia del universo. Las verdaderas protagonistas han sido la energía oscura y la materia:

Cuentas 2

Teniendo esto, sacamos para fuera de la integral la densidad de energía oscura haciendo un apaño y multiplicamos y dividimos el integrando por la raíz del factor de escala:

Cuentas 3

Estando así las cosas, la integral se puede encontrar tabulada y tiene como resultado:

Cuentas 4

Finalmente, para sustituir los límites de integración tenemos en cuenta que la resta de logaritmos es el logaritmo del cociente y obtenemos los 14000 millones de años de edad del universo:

Edad del universo

3 respuestas »

  1. Adrián, aprovechándome de tus conocimientos de Cosmología, una pregunta, (perdona si la respuesta es obvia, pero no caigo)
    Los fotones del Fondo Cósmico de Microondas que estamos recibiendo ahora (z=1100 aprox.) partieron con una longitud de onda unas 1100 veces menor que la que observamos ahora cuando nos llegan.
    Es decir cada fotón partió con una energía 1100 veces mayor a la que tiene ahora cuando lo observamos. (La constante de Planck es la misma entonces y ahora)
    Según explicas, la mayoría de esos fotones que recibimos no han interaccionado con nada, simplemente se ha alargado su longitud de onda por la expansión del Universo.
    ¿Dónde está la diferencia de energía entre la que tenían los fotones al partir en el momento de la recombinación, hace 13.798 Maños y la que tienen ahora, que es 1100 veces menor?
    Muchas gracias y saludos cordiales.

    • Hola,

      Ten en cuenta que ahí se está produciendo un efecto Doppler. El fotón tiene la misma energía, pero lo vemos moviéndose con velocidades relativas diferentes por la expansión.

      Análogamente, cuando un coche se acerca a nosotros detectamos su ruido con más energía que cuando se aleja.

      ¿Dónde se va o de dónde aparece la energía que falta? Pues resulta que la energía depende del estado de movimiento del observador, y que nuestro estado de movimiento con respecto a dichos fotones varía con el tiempo. La expansión del universo no conserva la energía localmente con respecto a un observador interno.

Preguntas, correcciones y debate son bien recibidos.