Hace mucho tiempo explicamos el modelo relativista del universo y su estructura matemática. En ella comentamos que había tres posibles formas de rellenar el espacio dentro del modelo habitual: materia, radiación y energía oscura. La materia son todos aquellos cuerpos que apenas se mueven en comparación con la luz. La radiación son todos los cuerpos que se mueven a velocidades próximas o iguales a la de la luz. La energía oscura no sabemos qué es, pero sí que facilita una expansión acelerada del universo matemáticamente.
Para poder justificar cómo se analizó la composición del universo, anuncié que pasaríamos antes por algunos conceptos de física cuántica, con lo que he escrito ya unas cuantas entradas al respecto que sirvieron para justificar que las partículas cargadas interaccionan electromagnéticamente intercambiando fotones, que en la superficie de una estrella se emite una cantidad de energía en forma de fotones proporcional a la cuarta potencia de su temperatura y que cada átomo emite y absorbe fotones con colores característicos.
Una vez comentado todo eso, vamos al grano de una vez por todas.
El cálculo de distancias de estrellas lejanas:
¿Cómo se mide la distancia a la que está una estrella? Inicialmente uno podría pensar que por trigonometría. Sin embargo, si intentamos sacar mediante triángulos la distancia a las estrellas más lejanas la precisión es insuficiente. Un triángulo tiene 180º y, al observar una estrella desde dos lugares diferentes de la Tierra, si unimos los dos puntos de observación teóricamente con la estrella el ángulo asociado al vértice de esta será prácticamente nulo. Por tanto, en la medida de lo posible es preferible evitar este método tan antiguo.
La forma más estándar de calcular distancias a galaxias y regiones varias del universo es identificar en ellas cuya composición conocemos. En la entrada sobre energía nuclear vimos que las estrellas se pueden clasificar en un diagrama de Hertzsprung-Russell según su temperatura, y justificamos cualitativamente que dicha temperatura estaba estrechamente relacionada con la composición de la estrella. Las estrellas más cargadas de metales son más frías y las más cargadas de helio son más calientes. Así pues, si cuando recibimos luz de una estrella la descomponemos en colores y vemos cuáles faltan, identificando qué tipo de átomo son característicos podemos adivinar la temperatura y composición de la estrella.
Prácticamente todas las estrellas se clasifican actualmente según un escalado de temperatura dividido en siete categorías: OBAFGKM, cuya regla nemotécnica usual es «Oh, be a fine girl/guy, kiss me». Las O son las más cálidas y las M las más frías. Nuestro Sol sería una estrella tipo G. Por supuesto hay subdivisiones, pero no nos ocupan.
Quedándonos con lo relevante: analizando la luz de una estrella conocemos su composición, y analizando su composición conocemos su temperatura. Y conociendo su temperatura T y el tipo de estrella (su radio aproximado R), mediante la ley de Hertzsprung-Russell conocemos la energía E promedio del conjunto de fotones que emite su superficie en un instante dado:
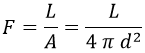
Por atender a la jerga usual, diremos que dicha energía emitida instantáneamente se corresponde con la luminosidad L de la estrella:
La luminosidad hace referencia a la energía emitida por la estrella en todas direcciones. Si queremos conocer la energía que emite por unidad de área hablamos de flujo F. Cuando una onda esférica de fotones es emitida por la estrella, su luminosidad o potencia neta se conserva en el tiempo salvo efectos disipativos. Sin embargo, el flujo disminuye al ser el área A de la onda cada vez más grande. Concretamente, a una distancia d de la estrella, el flujo vale:
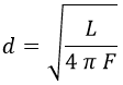
De modo que si conocemos la luminosidad de una estrella e identificamos el flujo de esta que nos llega a la Tierra, podemos calcular la distancia a la estrella:
Nótese que la única hipótesis que introducimos al calcular las distancias así es que somos capaces de calcular la luminosidad de la estrella correctamente con nuestros modelos. Las pérdidas de flujo por motivos varios, de haberlas, por supuesto que son consideradas.
El efecto Doppler cósmico:
Cuando hablé de los efectos Doppler dije que en principio no había más que los mencionados. Aunque no mencionase este aquello sigue siendo cierto.
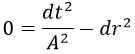
Consideremos que estamos en el centro de un sistema de coordenadas y denominamos con dτ al tiempo propio de un cuerpo, con dr los desplazamientos independientes que percibimos en él y con dt el tiempo durante el cual vemos que transcurren dichas variaciones. Todo ello se relacionaría mediante la solución de Friedmann a las ecuaciones de Einstein:
Aquí estamos usando unidades naturales. A sería el factor de escala del universo. Si el universo se expande, A aumenta. Si el universo se comprime, A disminuye. Cabe destacar que cualquier variación A induce que observemos un desplazamiento extra en cualquier objeto sometido a una distancia r aunque este esté quieto con respecto al universo (que hemos supuesto estático e isótropo, con la única posibilidad de aumentar sus distancias internas mediante A).
Cuando un cuerpo no varía dr, su tiempo propio coincide con el que observamos. Cuando lo varía, los tiempos discrepan debido a un efecto Doppler cinético: percibimos que tiene una velocidad relativa a nuestro sistema de referencia y la relatividad especial aplica.
Consideremos un rayo de luz, que por definición tiene tiempo propio nulo:
En este caso, podemos dividir todo por el cuadrado del factor de escala:
Es decir, que a priori analizando un rayo de luz podemos suponer que en lugar de expandirse el universo se comprime el tiempo. Decir que una estrella cada vez está más lejos lleva a las mismas conclusiones (obviando la metafísica) que decir que el tiempo pasa cada vez más rápido y por tanto lleva más llegar hasta ella.
Y aquí en lugar aparecen efectos Doppler gravitatorios por la compresión cósmica del tiempo que dilatan el periodo de la luz según la fórmula:
En este caso la métrica temporal es la inversa del cuadrado del factor de escala, mientras que desde el otro punto de vista era exactamente 1. Esto nos da lugar a:
Si recordamos que la luz más roja tiene periodos más grandes y la luz más azul tiene periodos más pequeños, esta ecuación nos dice algo verdaderamente relevante. Si el universo se expande, la luz que nos llegue de una estrella estará desplazada hacia el rojo. Si el universo se comprime, la luz que nos llegue de una estrella estará desplazada hacia el azul.
Resulta útil recurrir al parámetro z, usualmente denominado «desplazamiento al rojo», para tratar con estos cocientes que aparecen constantemente:
Si z es nulo, el factor de escala no varía y todo se mantiene.
El cálculo de distancias:
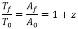
Pongámonos ahora en el caso de una estrella fija, que solo varía su distancia debido a A, emitiendo radiación hacia nosotros. Si su distancia obviando el factor de escala es dc (distancia comóvil), el factor de escala cuando emite la radiación es A0 y el factor de escala cuando la recibimos es Af, el flujo de la estrella se vería disminuido doblemente porque la luminosidad aparente es menor al ser menor la frecuencia de los fotones y al ser mayores los instantes de tiempo cuando llegan:
De aquí se despeja de esta ecuación relacionándola con el caso en el que el universo no se expande, obtenemos que la distancia hasta la estrella es:
Si el factor de escala nunca varía, la distancia a cualquier estrella siempre es igual a su distancia comóvil dc porque podemos obviar el concepto de factor de escala.
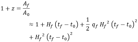
Consideremos un rayo de luz que se propaga desde el origen de coordenadas hasta una distancia comóvil dc, donde lo recibimos, saliendo en t0 y llegando en tf. Despejando de su ecuación de movimiento llegamos a que se tiene que cumplir:
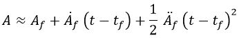
El factor de escala dependerá del tiempo de forma desconocida, con lo que no podemos resolver la integral de la derecha de forma genérica. Sin embargo, podemos suponer que el factor de escala varía con el tiempo muy despacio y aproximarlo por serie de Taylor en torno al tiempo final para pequeñas diferencias de tiempo cósmico:
Recordemos que expresamos las derivadas temporales con puntos sobre los parámetros.
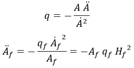
Teniendo en cuenta que el parámetro de Hubble H es el cociente entre la derivada temporal del factor de escala y el propio factor, es posible reescribir la derivada temporal de la siguiente forma:
Análogamente, teniendo en cuenta el parámetro de deceleración q es posible reescribir la derivada segunda:
Sustituyendo todo:
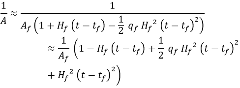
Pero en la integral, sin embargo, tenemos la inversa del factor de escala. Recordemos la siguiente expansión en serie:
Si el tiempo cósmico durante el cual se desplaza la luz es muy pequeño (el universo no aumenta su factor de escala de forma relevante), podemos usar esa serie para hacer la siguiente aproximación:
¿Qué hemos hecho aquí? En el denominador, consideramos que lo que suma a 1 es -x y por tanto después nos queda 1+x más el cuadrado del primer término porque entra dentro de nuestro nivel de aproximación.
Siendo así las cosas, tenemos:
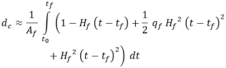
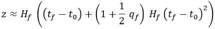
Como no queremos pasar de potencias cuadradas del tiempo, al integrar estas son obviables y nos quedamos simplemente con:
Esta ecuación es correcta, pero no nos sirve para absolutamente nada tal y como está. Previamente habíamos calculado la distancia de la estrella, pero ahora tenemos algo que depende del tiempo que ha tardado la luz en llegarnos, el parámetro de Hubble, el factor de escala y la distancia comóvil. Todo ello a priori desconocido.
Podemos, sin embargo, cambiar el tiempo de vuelo de la luz por el desplazamiento al rojo teniendo en cuenta la ecuación ya vista:
De aquí se despeja inmediatamente:
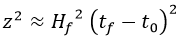
Teniendo esto podemos aproximar también su cuadrado:
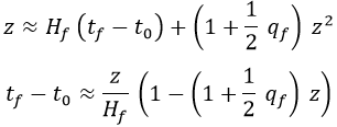
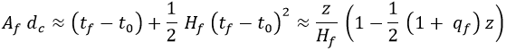
Y sustituyendo la aproximación para el cuadrado de z donde aparece en la aproximación para z podemos despejar el tiempo de vuelo en función de z, el parámetro de Hubble y el parámetro de deceleración:
Sustituyendo esta expresión para la diferencia de tiempos en la que teníamos para la distancia:
Y teniendo en cuenta la relación entre lo que hemos calculado y la distancia d de luminosidad:
Y esta es la aproximación fundamental para cálculos cosmológicos. La distancia luminosa d y el desplazamiento al rojo z son parámetros medibles para cualquier astro de forma directa, y teniendo ambas se puede estimar el parámetro de Hubble y el de deceleración.
¿Que sea una aproximación implica que esté mal? No, siempre que z sea suficientemente pequeño.
El parámetro de Hubble:
En 1929 Hubble publicó las conclusiones de sus observaciones aproximando la ecuación de arriba a primer orden:
Comparando las distancias de diversas estrellas con sus desplazamientos al rojo, llegó a la conclusión de que todas ellas tenían el mismo parámetro de Hubble y que, por tanto, el universo se estaba expandiendo. Concretamente, el valor inverso de dicho parámetro es:
No obstante, que el parámetro de Hubble fuese positivo solo implicaba una expansión en ese instante, sin pronunciarse sobre si acelerada o decelerada. Puede pensarse como un coche avanzando por la carretera. Si sabes que avanza en un momento dado solo sabes eso, pero no sabes si está frenando, acelerando o dejándose llevar. Para descubrir eso, hay que observar durante más tiempo.
El parámetro de deceleración:
Estudiar la aceleración del universo era algo mucho más complejo. El parámetro de Hubble se manifiesta claramente en estrellas lejanas, gracias a que la luz que nos envían tiene que recorrer el universo durante el tiempo suficiente para que su color se vea claramente alterado. Esta medición tenía sus complicaciones y eso que solo era proporcional al minúsculo z.
Sin embargo, para estudiar el parámetro de deceleración hace falta que z2, mucho más pequeño, se haga notar también. Esto es bastante engorroso de medir, dado que la luz de las estrellas a la distancia necesaria no nos llega con intensidad.
Exceptuando las supernovas, los fenómenos del cosmos más violentos en los que la enorme temperatura permite que veamos su luz y las identifiquemos desde donde somos incapaces de ver otras cosas.
En 1998 dos equipos de investigación consiguieron medir el parámetro de deceleración analizando supernovas y llegaron al siguiente resultado:
La deceleración era negativa, de modo que el universo no solo se estaba expandiendo sino que además lo hacía aceleradamente.
Materia y energía oscuras:
En su momento vimos que un universo dominado por materia tenía un parámetro de deceleración positivo:
Es por tanto evidente que si el modelo está bien no vivimos en un universo dominado por materia. Por el contrario, en un universo dominado por energía oscura el parámetro de deceleración era negativo:
Se hizo por tanto necesario en 1998 considerar que vivimos en un universo dominado parcialmente por ambas cosas. Si denominamos por xm y xΛ a las fracciones de energía que hay de cada cosa en el universo, ambas deben sumar 1:
Por otra parte, la combinación de sus contribuciones a la «deceleración» debe ser coherente con las observaciones experimentales:
Resolviendo este simple sistema de ecuaciones y dos incógnitas, se obtiene que aparentemente nuestro universo está dominado en un 30% por materia y en un 70% por energía oscura:
Si comparamos la densidad de energía que debería tener el universo, fijada por el parámetro de Hubble y la primera ecuación de Friedmann, y la que tenemos identificada, resulta que solo conocemos el origen de un 5% de esta. Eso significa que del 30% de materia que supuestamente hay en el universo cae en nuestro saber una sexta parte. El resto es la denominada materia oscura. Además, de la energía oscura no sabemos absolutamente nada salvo que funciona dentro del modelo.
Cabe destacar que la materia oscura tiene un par de evidencias experimentales más de existir que ya comentaremos en su momento.
Escepticismo:
La energía oscura es uno de los grandes enigmas de la física teórica y pone en jaque todo el modelo cosmológico de Friedmann. La materia oscura contribuye a dudar de su veracidad pero está más respaldada. Las únicas formas de evitar recurrir a ambas, pero sobre todo a la primera, pasan necesariamente por alguno de estos puntos:
- Suponer que la teoría general de la relatividad, en la que se apoya el modelo de Friedmann, es ineficiente para tratar con el universo.
- Suponer que el universo no es homogéneo ni isótropo, siendo sus diferentes regiones distinguibles y no estando todos los puntos en pie de igualdad. Esto hasta donde sabemos es falso, pero claro, no conocemos todo el universo y puede que cuanto conocemos no sea más que una simple mota de polvo insignificante en medio de algo más complejo.
Dentro del segundo caso estarían las teorías con universos curvados en 4 dimensiones espaciales o más de las formas más variopintas, pero aunque me encanta la ciencia ficción por ahora me gusta usar la navaja de Ockham con esos modelos y quedarme con otras posibles explicaciones.
Categorías:Carrera, Cosmología, Electromagnetismo, Física, Relatividad







































Me ha encantado esta entrada, tan sólo hay un pequeño trozo que no he podido seguir las operaciones y eso es todo un logro tratándose de alguien como yo que no tiene ni idea.
Gracias por escribir sobre estos temas!
Interesante, gracias por divulgar Ciencia.
Creo que se te ha colado un pequeño gazapo:
1/Hf ~ 1.4E+10 años es correcto, pues H tiene unidades de tiempo^(-1) y por lo tanto 1/H unidades de tiempo.
Pero a continuación escribes ~ 4.2 Gpc y ahí creo que te equivocas, pues transformas los años, (unidad de tiempo) en GParsec que es una unidad de longitud.
Saludos y ánimos para continuar.
Supongo que lo que realmente querías decir es que al Tiempo de Hubble de 1.4E+10 años le corresponde una Distancia de Hubble de 4.2 Gpc
Hola, en este blog uso unidades naturales. Está especificado en el momento en que sumo tiempo y espacio. Sobreentiendo los conceptos detrás de todos los cambios de unidades.
Hola excelente tratamiento de los temas.
Quisiera saber si es solo el espacio del Universo el que de expande por asi decirlo o es todo lo que hay dentro del Universo lo que se expande,materia,tiempo,espacio,galaxias,estrellas,nosotros lo que va aumentando de tamaño.
También quisiera saber si es posible que el Universo o espacio mismo se este expandiendo a una velocidad igual o mayor que la velocidad de la luz ,pues si se ha estado expandiendo desde el Big Bang,y la expansion se ha estado acelerando desde entonces,será que ya alcanzó esa velocidad.
Hola,
Todo el espacio se va multiplicando, alejando las cosas que están en él. Dentro de cada átomo se crea espacio que aleja más los electrones del núcleo, por ejemplo, pero este alejamiento se compensa rápidamente por el electromagnetismo, que lo devuelve a su tamaño habitual. Es decir, se expande todo, pero las estructuras atómicas vuelven a su tamaño original inmediatamente después. Como cuando estiras un muelle y lo sueltas, que se vuelve a comprimir.
En lo referente a la velocidad de expansión, no hay una velocidad única sino que vemos a las regiones más distantes alejarse más rápido. Existe una distancia, el horizonte cósmico de sucesos, a partir de la cual las cosas ya se alejan de nosotros a la velocidad de la luz y en principio nunca volvemos a saber de ellas. Dicha distancia cada vez está más cerca de nosotros y, si la cosa sigue así, llegaríamos a un punto donde dejaríamos de poder ver cosas en el cielo por estar todas más allá de dicho horizonte.
Saludos.