En el clásico de 1994 «El rey león» el personaje Pumba hace una de las preguntas que todos nos hacemos en algún momento de nuestra vida: «¿Nunca te has preguntado qué son esos puntos brillantes de arriba? (…) Siempre pensé que eran bolas de gas quemándose a millones de kilómetros de aquí».
Las estrellas son, en efecto, grandes bolas de gas a distancias extremadamente lejanas y con una enorme temperatura, ¿pero qué significa quemarse cuando hablamos de estrellas? La química nos dice que una sustancia se está quemando cuando entra en contacto con oxígeno de forma explosiva, y en el universo en principio no hay oxígeno suelto por ahí. Evidentemente las estrellas no se «queman» como un tronco en una hoguera. Ni tampoco con la misma energía.
En esta entrada haremos una primera aproximación a la astrofísica nuclear, una rama que nace de la combinación de la relatividad especial y la mecánica cuántica para dar explicación a qué son esos puntos brillantes en el cielo.
Ingredientes en el juego nuclear:
En la entrada introductoria del concepto de neutrino vimos algunas cuantas cosillas que estará bien repasar.
Consideraremos que en la naturaleza existen dos nucleones: el protón y el neutrón, y dos leptones: el electrón y el neutrino. El protón y el electrón tienen cargas opuestas y los otros dos tienen cargas nulas. Si consideramos el electronvoltio como la energía que posee un electrón sometido a un voltio, y consideramos que la masa es energía, las masas de cada una de estas partículas son:
Podemos denominar a un átomo X mediante su número atómico Z de protones, su número másico A de protones y neutrones y su carga Q:
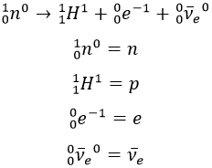
La desintegración del neutrón:
Desde el principio de Hamilton sabemos que todos los cuerpos tienden por naturaleza a evitar tener valores elevados de energía potencial. Cuando soltamos una piedra esta se cae para evitar tener la energía potencial gravitatoria de estar más arriba. De hecho, en el siglo XVIII se definió la energía potencial con este propósito como aquella de la que los cuerpos escapan: la energía potencial gravitatoria es la potencialidad para caer de un cuerpo.
En mecánica clásica la masa se conservaba, con lo que el único modo de reducir el potencial gravitatorio era que las masas se aproximasen. Sin embargo, dado que en relatividad la masa es energía y la energía se transforma, la masa puede crearse y perderse, lo que abre una nueva vía para reducir el potencial gravitatorio: destruir masas.
Esto explica por qué el neutrón podía transmutar en un protón emitiendo también un electrón y un antineutrino: la suma de todas las masas finales es menor que la masa inicial:
Al protón lo denominamos con H por ser a efectos prácticos un átomo de hidrógeno. Con respecto a las antipartículas, en esta entrada es suficiente con pensar en que simplemente cambian la carga con respecto a las partículas originales.
La desintegración del neutrón conserva el número másico, la carga, el número de nucleones y el número leptónico. El electrón y el neutrino tenían número leptónico 1 y sus antipartículas número leptónico -1. Dicha desintegración, además, constituye un ejemplo de lo que es una desintegración nuclear débil. La posibilidad de este fenómeno débil es responsable de que el neutrón no sea una partícula estable: la naturaleza puede cargárselo y lo hace.
Energía de ligadura:
Sin embargo, en los núcleos atómicos hay neutrones. ¿Por qué no se han desintegrado todos dando lugar a protones? La respuesta es imposible de plantear desde un punto de vista electromagnético ni gravitatorio, hace falta algo más. Una fuerza nuclear fuerte con propiedades que se pueden ir acotando.
Supongamos (como es el caso) que la misma fuerza que evita que los neutrones del núcleo se desintegren es la responsable de que los protones no se repelan entre ellos. Evidentemente es una fuerza más potente que el electromagnetismo, pero solo en el núcleo. Si la fuerza fuerte tuviese un alcance arbitrariamente lejano las fuerzas electromagnéticas serían siempre apantalladas por esta y todos los átomos colapsarían en uno único. Parece por tanto también evidente que la fuerza nuclear solo opera en el núcleo.
Si denotamos con B su efecto, podemos decir que la masa de un núcleo de número atómico Z y másico A es:
¿Qué estamos haciendo aquí? Decimos que la masa de un núcleo es la de sus Z protones más la de sus A-Z neutrones, restándole una energía de ligadura B. La energía de ligadura tiene que ser tal que al núcleo le compense más mantener algunos neutrones en lugar de cargárselos todos, aportando un equilibrio diferente al de simplemente sumar masas de constituyentes.
Antes de empezar a analizar la energía de ligadura, hagamos alguna consideración previa para que no entorpezca más adelante. Bajo la única hipótesis de que todos los nucleones ocupan el mismo volumen, podemos suponer sin temor a equivocarnos que el volumen V de un núcleo es proporcional a su número másico:
Si suponemos además que el núcleo es esférico, su radio R será proporcional a la raíz cúbica del volumen:
Y el área S será proporcional al cuadrado del radio:
Ahora necesitamos que la energía de ligadura sea coherente con los siguientes hechos:
- La energía nuclear fuerte es de muy corto alcance y afecta solo a dos nucleones muy próximos.
- Los nucleones en la corteza del núcleo están sometidos a menor interacción.
- Los protones se deberían repeler entre ellos electrostáticamente (contribución electromagnética).
- La naturaleza parece tener predilección por núcleos en los que hay tantos protones como neutrones.
- La naturaleza parece tener predilección por los números pares de nucleones.
Así pues, la energía de ligadura propuesta cualitativamente fue:
Esta barbaridad de expresión se conoce como la fórmula semiempírica de masas o ecuación de Weizsäcker. Evidentemente es una ecuación no elegante, y ello lleva a pensar inmediatamente en que si tenemos que tratar con algo tan complicado seguramente estamos siendo ineficientes. Sin embargo, todos los términos parecen ser independientes y por tanto no compactificables.
Comentemos todos los términos uno por uno:
- El término de volumen con constante aV expresa que cuantos más nucleones haya mayor energía de ligadura tendremos. Se multiplica por A porque es el número de nucleones.
- El término de superficie con constante aS expresa que, dado que los nucleones de la corteza tienen menor interacción, es necesario corregir el término anterior restándole algo proporcional al área.
- El término de Coulomb con constante aC es un intruso en la expresión de la fuerza nuclear, y representa la energía potencial electrostática, dada por el cuadrado de las cargas en interacción (Z protones) entre el radio. También se opone al término principal.
- El término de asimetría con constante aA expresa que la diferencia entre protones y neutrones debe ser mínima. A-2Z es la resta del número de protones al de neutrones. La elevamos al cuadrado para que de igual el signo y la dividimos entre A para contrarrestar. Si el ratio neutrones/protones se descompensa, independientemente de cuál salga ganando, este término se opone a la energía de ligadura. Si son iguales se anula.
- El término de paridad δ con constante aP se divide en tres casos. Si el número de protones y neutrones es par (Z par, A par) contribuye apoyando a la energía de ligadura con un signo positivo como premio por ser las cantidades de nucleones pares. Si el número de protones y neutrones es impar (Z impar, A par) castiga a la energía de ligadura llevando un signo negativo. En cualquier otro caso (A impar) no tiene ningún efecto.
Comparando las masas de todos los núcleos conocidos con esta fórmula e intentando que las constantes sean lo más compatibles posible, se obtienen los siguientes valores:
Y de aquí viene el nombre de fórmula «semiempírica»: el aspecto es teórico, pero los valores numéricos son medidos. La teoría no se pronuncia particularmente sobre cuánto deberían valer.
Equilibrio nuclear:

«El valle de la estabilidad» Los núcleos estables conocidos. Z en el eje horizonta. A-Z en el vertical.
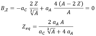
Si tenemos un núcleo con una cantidad de nucleones A dada cabe preguntarse cuál es la cantidad de protones Z óptima para él. Atendiendo a la fórmula de la energía de ligadura, en este caso la gráfica de A frente a Z tendría forma de parábola, donde el valor de equilibrio Zeq sería el vértice y todos los núcleos con mayor y menor Z serían inestables en favor suyo, es decir, tenderían a tener Zeq protones.
Si derivamos la energía de ligadura respecto a Z e igualamos a 0 obtenemos:
Si suponemos que todos los núcleos de la naturaleza tienden a estar en un equilibrio acorde a esta fórmula obtenemos de forma extremadamente precisa lo que las proporciones entre A y Z que de hecho se dan en la naturaleza. Es decir, si comparamos esta fórmula con los números atómico y másico de todos los átomos en la tabla periódica de los elementos, la concordancia es espectacular. Cabe destacar que solo dos términos de la energía de ligadura aparecen en esta expresión: el de Coulomb y el de asimetría.
Esta fórmula explica además un hecho que llama la atención durante los cursos de química del instituto y nunca se explica: ¿por qué a medida que aumenta el número atómico los neutrones se multiplican más que los protones?
Dividamos Zeq entre el número másico:
Si consideramos ahora valores muy pequeños de A, tendiendo a 0, en el denominador desaparece y obtenemos que para núcleos pequeños la mitad del núcleo está compuesto por protones, lo cual es rigurosamente correcto:
Por el contrario, a medida que A aumenta, los protones tienden a tener una población relativa nula. Esto es debido íntegramente a la repulsión electrostática. Al núcleo le empieza a salir muy caro tener que soportar varios protones y los sacrifica en favor de aumentar neutrones:
Desintegraciones:
Ya hemos visto las propiedades energéticas generales de los núcleos. Falta ver cómo pueden transformarse unos en otros liberando grandes dosis de energía del orden del megaelectronvoltio.
.-Desintegración alfa:
Un clásico en centrales nucleares. Cuando tiene lugar, un núcleo grande emite desde su interior un núcleo de helio (2 protones y 2 neutrones), dando lugar a la reacción:
El átomo hijo Y resultante queda con carga negativa debido a haber emitido dos protones. La emisión de partículas alfa/núcleos de helio es característica de núcleos con demasiados neutrones con respecto al valor óptimo de equilibrio. Consecuentemente, es una raciación corriente entre los átomos más pesados. Cabe destacar que si los núcleos de helio son de los más preferidos para emitir es por su elevada estabilidad, ya que son pequeños y tienen el mismo número de protones que de neutrones.
.-Desintegraciones beta:
Estas se dividen en dos categorías, la β+ y la β-.
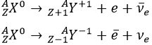
La β- es la del neutrón, y consiste en la transmutación a protón emitiendo un electrón y un antineutrino. Análogamente, la β+ es la del protón, y consiste en su transmutación a neutrón emitiendo un antielectrón y un neutrino:
Las desintegraciones beta son el mecanismo básico mediante el cual los núcleos pueden variar su número atómico conservando el másico. Si Z es demasiado grande, los procesos β+ lo reducen. Si Es demasiado pequeño, los procesos β- lo aumentan.
Tanto los procesos beta como los alfa tienen en común que instantáneamente violan el principio de conservación de la energía. Sin embargo, como ya sabemos, esto es posible gracias al principio de incertidumbre de Heisenberg.
Desintegraciones gamma:
Por último, dentro de las tres desintegraciones relevantes, estaría la emisión de un simple fotón γ por parte del núcleo:
Cabe destacar que los fotones emitidos por el núcleo tienen energías de megaelectronvoltios, mientras que los emitidos por los electrones en sus transiciones orbitales rondan las decenas y centenas de electronvoltios. Consecuentemente, los fotones procedentes del núcleo son ultravioleta y muy peligrosos, mientras que los otros son radiación habitual y corriente.
La energía para emitir estos fotones es extraída de movimiento de los nucleones.
Nucleosíntesis estelar:
Todas las estrellas nacen de grandes nubes de polvo estelar, típicamente compuesto de hidrógeno. El hidrógeno es un elemento muy estable, pero en términos de energía de ligadura por nucleón el elemento más estable que existe es el hierro, y por tanto el átomo que todos los demás aspiran a ser. Comienza así la nucleosíntesis estelar, cuando un gran cúmulo de átomos se juntan gravitacionalmente e intentan optimizar su energía.
Cabe destacar que no demostramos con cuentas que el hierro es el elemento más estable porque queda una ecuación multipolinómica que no se puede resolver elegantemente.
Para construir hierro a partir de hidrógeno/protones hay montones de posibilidades, por lo que aquí solo comentaremos por encima los procesos más conocidos que tienen lugar en el interior de las estrellas. Por comodidad, omitiremos cargas y emisiones de energía en forma de fotones, con lo que simplemente indicamos ahora que todos los procesos que siguen permiten a la estrella liberar mayores o menores cantidades de energía electromagnética, además de neutrinos.
.-Cadenas protón-protón:
Estos son los procesos mediante usando solo hidrógeno una estrella consigue formar helio.
La colisión de dos protones puede dar lugar a la unión de uno de ellos para dar lugar a un núcleo de deuterio donde uno se convierte en neutrón por emisión β+:
El positrón emitido nunca llega a abandonar la estrella, ya que en cuanto se topa con cualquier otro electrón ambos se aniquilan dando lugar a raciación electromagnética:
Una vez hecho el núcleo de deuterio, eventualmente (con poca probabilidad) la estrella conseguirá formar también núcleos de helio inestables:
Y estos núcleos de helio inestables podrán chocar entre ellos para fundirse y dar lugar a helio estable en lo que se conoce como la cadena pp-I:
Recordemos que las partículas alfa son helio. Cabe destacar también los dos protones extra que son emitidos durante el proceso de fusión.
Estas reacciones de fusión son extremadamente improbables por consideraciones energéticas aunque el helio final sea estable. Por este motivo, acorde a lo que vimos en la mecánica estadística, es necesaria una elevada temperatura para que a la estrella le den igual dichas consideraciones. Esto explica también por qué en la Tierra es mucho más complicado conseguir fusionar núcleos.
Una vez concluida una cadena pp-I, el helio estable puede combinarse con helio inestable para dar lugar a berilio:
El berilio, a su vez, puede absorber un electrón suelto y decaer β+ a litio:
Si posteriormente el litio se fusiona con un protón, dará lugar a dos núcleos de helio en lo que sería una cadena pp-II:
Esto también podría suceder con menor probabilidad si el protón lo absorbiese el berilio, dando lugar a una cadena pp-III:
¿Por qué es menos probable? Porque el berilio prefiere hacer otra cosa:
.-Fusión de helio:
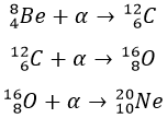
Dos núcleos de helio pueden fusionarse para dar lugar a berilio:
Y fundiendo más y más helio se pueden formar más y más núcleos nuevos: carbono, oxígeno, neón…
Técnicamente la probabilidad de que una estrella llegue a formar así hierro es no nula, pero no es lo habitual. Sobre todo porque los núcleos cada vez serían menos estables, al requerir mayor proporción de neutrones. Los ajustes de protones y neutrones son procesos lentos y llevan tanto como lo que vive una estrella, dado que la estrella muere cuando consigue que todo su material sea hierro.
.-Ciclos CNO:
Estos son los procesos mediante los cuales el carbono ayuda a la estrella a convertir protones en helio pasando por convertirse en nitrógeno y oxígeno. En su versión más simple, empezarían con el carbono absorbiendo un protón y decayendo β+ para dar lugar a carbono inestable:
El carbono inestable absorbería otro protón y se convertiría en nitrógeno:
Posteriormente, el nitrógeno absorbería otro protón y decaería, dando lugar a nitrógeno inestable:
Finalmente, el nitrógeno inestable absorbería un cuarto protón y decaería alfa:
En cómputo global, lo que ha sucedido es que el carbono ha ayudado a formar un núcleo de helio.
.-Elementos pesados:
Como se puede ver, los procesos de una estrella no es solo que sean lentos e improbables, ¡es que incluso los aparentes avances en la formación de núcleos más pesados se pueden ver frustrados por decaimientos alfa y beta! Consecuentemente, una estrella tarda las barbaridades de tiempo que tarda en concluir su vida «útil» para suerte de nuestra supervivencia. Los elementos pesados no se forman de forma directa, sino a base de coincidencias estadísticas en las que un núcleo inestable consigue absorber la cantidad de protones adecuada antes de decaer.
Diagrama de Hertzsprung-Russell:
En la entrada de mecánica estadística vimos la ley de Stefan-Boltzmann, según la cual la energía E de un gas de fotones a una temperatura T y ocupando un volumen V cumplía la relación:
Aquí σ era la constante de Stefan-Boltzmann.
Los fotones emitidos por una estrella, en su inmensa mayoría ultravioletas, están sujetos a esta ley, dado que cuando salen despedidos desde su superficie son un gas adaptado a la temperatura de un foco. Hay que cambiar, no obstante, el volumen por su análogo bidimensional: la área A esférica de la estrella de radio R:
Tomando logaritmos en ambos miembros de la ecuación tenemos:
Y ahora podemos hacer los siguientes apaños por conveniencia:
Resulta entonces que el logaritmo de la energía de la luz emitida por una estrella es linealmente opuesto al logaritmo de la inversa de la temperatura, siendo la constante intermedia el radio de la estrella. Esto da lugar a los diagramas de Hertzsprung-Russell, donde el eje horizontal indica la temperatura en sentido decreciente y el vertical la energía luminosa o luminosidad.
Dentro de estos diagramas hay una línea recta en el medio de estrellas con aproximadamente el mismo radio que, acordes con la ecuación de arriba, tienen mayor luminosidad cuanto mayor es su temperatura. Esas estrellas centrales son la secuencia principal de la astrofísica.
Las estrellas corrientes, como nuestro Sol, estarían a la derecha de la secuencia principal, teniendo temperatura y luminosidad moderadas. Las más energéticas estarían hacia la izquierda y serían azules.
A medida que las estrellas corrientes van fusionando sus átomos en su núcleo, estos van radiando energía a sus átomos más externos, que tardan más en comenzar a calentarse y fundirse. Durante la última etapa de una estrella, cuando su capa más externa es la que se empieza a fundir, el incremento de temperatura le permite multiplicar su volumen como un gas corriente y la estrella se convierte en una gigante roja. El proceso es análogo para las gigantes azules.
Cuando la gigante agota su combustible típicamente explota en una supernova para dar lugar a una estrella enana concentrando todo el material ligero. El resto es expulsado durante la explosión. El motivo por el que una gigante explota es el mismo motivo por el que sus átomos se han fundido previamente: al universo le renta más en energía potencial.
A partir de estos datos, resulta evidente relacionar la temperatura de una estrella con su contenido material. Las estrellas más azules son más ricas en hidrógeno y helio, mientras que las más rojas son ricas en metales. Así pues, conociendo la temperatura de una estrella podemos conocer su composición, más o menos, y viceversa.
En la próxima entrada usaremos esto como uno de los pilares para explicar cómo se llego a la conclusión de que el universo se expande.
Conclusiones:
La combustión estelar y la combustión química son dos conceptos muy diferentes. Mientras que la segunda habla de reacciones eléctricas entre átomos, la primera habla de reacciones nucleares. La combustión estelar juega con fuerzas nucleares, lo que hace que sus productos radiados (fotones y neutrinos, principalmente) sean mucho más energéticos.
Queda abierta la cuestión de si debería usarse entonces la palabra combustión en ambos casos. En caso afirmativo, deberíamos decir que una combustión es un proceso durante el cual se emite mucha radiación.
Categorías:Carrera, Cosmología, Electromagnetismo, Física, Física cuántica, Partículas, Relatividad, Termodinámica




































