EDICIÓN ANTES DE QUE ESTO SE DESMADRE: El artículo presente desmiente los artículos que dicen que es imposible propulsarse con ondas electromagnéticas usando cavidades y fuentes externas. No respalda el montaje experimental empleado porque lo desconozco. Resulta que hay dos puntos separados a la hora de hablar de EmDrive: la teoría de propulsión electromagnética y el modelo de EmDrive en sí. Mientras que el primero está bien el segundo parece que se ha hecho de forma dudosa. Lo que aquí critico son opiniones vistas diciendo que una onda electromagnética no puede impulsar. Aclarado este punto, creo que las quejas se apaciguan.
En los últimos meses, más de una vez me han preguntado por la supuesta paradoja de que funcione un sistema de propulsión por ondas electromagnéticas, y en cuanto analicé muy por encima (ver párrafo anterior) en qué consistía no le vi ninguna pega. De hecho he descubierto que mi explicación de por qué no se carga ningún principio fundamental es la misma que da el autor en las FAQ de su web: http://emdrive.com/faq.html . Escribo esta entrada a modo de inciso para solventar de una vez por todas esta cuestión. La comentada arriba.
La propulsión en mecánica clásica:
En mecánica clásica, la del instituto, existen dos cantidades que deben conservarse en todo sistema aislado: la energía cinética Ec y el momento cinético p. Ambas dependen de la masa m y la velocidad v del cuerpo en movimiento, y son aproximadamente:
Hago hincapié en el «aproximadamente», para bajas velocidades.
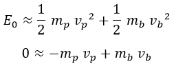
Cuando, por ejemplo, detonamos una pistola aportándole una energía E0, esta energía se invierte en aportar energía cinética a la bala y a la pistola, y el momento se conserva yendo la bala hacia un lado y la pistola hacia el lado opuesto. El retroceso es una consecuencia de un teorema de conservación:
Las cosas con sufijo p hacen referencia a la pistola, mientras que la b hace referencia a la bala. Dado que hay dos velocidades pendientes por fijar y dos velocidades, podemos calcular cuanto vale cada una por simple conservación de la energía y el momento cinético, conociendo las masas de la bala y la pistola.
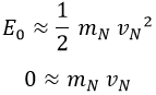
Si aplicamos esto a EmDrive, donde toda la nave se propulsa hacia delante sin emitir nada hacia atrás, llegamos a lo siguiente:
Conclusión de varias personas a lo largo y ancho del planeta: «¡el momento cinético no se conserva! ¡Esto está mal! ¡Que le corten la cabeza al diseñador!». Mi respuesta: «Señores, si aprendiesen algo de electrodinámica en vez de ponerse a gritar, tal vez acabarían antes y se quedarían tranquilos».
Mecánica relativista:
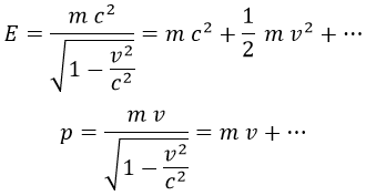
Las expresiones anteriores son meras aproximaciones clásicas cuando la velocidad de los objetos de un sistema son muy pequeñas en comparación con la de la luz. ¡Hace más de un siglo que sabemos que con las ondas electromagnéticas son completamente imprecisas! En relatividad especial las auténticas ecuaciones de la energía y del momento son:
Aquí c es la velocidad de la luz en el vacío. Las expresiones del medio son exactas, y las de la derecha sus aproximaciones clásicas en serie de Taylor para pequeñas velocidades.
En la energía relativista aparece un término «de reposo», no dependiente de la velocidad, que es la archiconocida fórmula de Einstein para la energía debida exclusivamente a la masa.
La aproximación en serie de Taylor está muy bien, como decíamos, para pequeñas velocidades, pero en caso de tratar con el campo electromagnético no. El campo electromagnético está compuesto de fotones sin masa que se mueven a la velocidad de la luz, lo que en relatividad les permite tener energía y momento. No tener masa se contrarresta con moverse a la velocidad de la luz:
Así que, dado que el hecho de que el campo electromagnético puede portar energía y momento es una conclusión básica de la electrodinámica y la relatividad especial, el campo electromagnético EM de EmDrive puede perfectamente propulsar una nave sin necesidad de que nadie se tenga que echar las manos a la cabeza:
El momento sale del campo electromagnético. Y se renueva con la fuente eléctrica, igual que su energía, que tiene que ser capaz de transmitir momento al campo, lo cual será posible si es externa, como el Sol, que es lo que me consta que pretendían usar.
Esta es la conclusión a la que llegué simplemente leyendo noticias sobre el asunto. La explicación oficial es la misma:
«The EmDrive cannot violate the conservation of momentum. The electromagnetic wave momentum is built up in the resonating cavity, and is transferred to the end walls upon reflection. The momentum gained by the EmDrive plus the momentum lost by the electromagnetic wave equals zero. The direction and acceleration that is measured, when the EmDrive is tested on a dynamic test rig, comply with Newtons laws and confirm that the law of conservation of momentum is satisfied.»
«El EmDrive no puede violar la conservación del momento. El momento electromagnético se acumula en la cavidad resonante y se transfiere a las placas del final por reflexión. El momento ganado por EmDrive más el momento perdido por el campo electromagnético es igual a cero. La dirección y aceleración medidas, cuando EmDrive es puesto a prueba, cumple con las leyes de Newton y confirma que la conservación del momento es satisfecha.»
Para más gancho, añaden lo siguiente:
«Newton’s laws are applied in the derivation of the basic static thrust equation and have also been demonstrated to apply to the EmDrive experimentally.
The law of conservation of momentum is the basis of Newtons laws and therefore applies to the EmDrive. It is satisfied both theoretically and experimentally.
The law of conservation of energy is the basis of the dynamic thrust equation which applies to the EmDrive under acceleration.
The principles of electromagnetic theory are used to derive the basic design equations.»«Las leyes de Newton son aplicadas en la derivación de las ecuación básica del empuje estático y también se ha demostrado que son aplicables a EmDrive experimentalmente.
La ley de la conservación del momento es la base de las leyes de Newton y por tanto aplica a EmDrive, que satisface ambas tanto teórica como experimentalmente.
La ley de conservación de la energía es la base de la ecuación de empuje dinámico que aplica en el EmDrive acelerado.
Los principios elementales de la teoría electrodinámica han sido usados para derivar las ecuaciones básicas del diseño»
Así que, como conclusión, si volvéis a ver una noticia sobre esto diciendo que la propulsión electromagnética va contra todo lo establecido porque EmDrive pueda irlo, podéis dar por hecho que el periodista no sabe electrodinámica y que quien le concedió la entrevista o la fuente de la que sacó la información tampoco. Esto en referencia a los que desmienten que el campo electromagnético pueda propulsar. He visto que hay críticas técnicas que van por otros derroteros. Parece ser que no han sido respetuosos con el montaje y en concreto con que la fuente pueda transmitir momento.
Al final he tenido que escribir otra entrada sobre la que ha liado esto xD:
Categorías:Física








¿Campo electromagnético compuesto por fotones?
Ya sé que mis clases de física me pillan lejos, pero eso de verdad que no me sonaba que fuese así.
Que el fotón representa el campo electromagnético es algo que se enseña en cualquier facultad de física. Por si quieres ampliar, aquí tienes dos entradas en las que lo explico. Aquí relaciono el fotón con la ley de Coulomb:
Aquí con las ondas electromagnéticas:
De todas formas acabo de buscar información del EmDrive, y si funciona con microondas no entiendo la parte de campo electromagnético que comentas aquí.
Las microondas son ondas electromagnéticas de baja frecuencia…
http://es.wikipedia.org/wiki/Microondas
baja, baja no es…
Depende con qué la compares. Yo con luz visible y ultravioleta, que son las habituales en física teórica.
Es que para empezar no hay motor. Así que algo que no funciona es difícil que pueda violar nada. Poniéndonos en ese caso el titular es correcto: algo que no hace nada difícilmente puede violar, abusar o mantener ningún tipo de relación sexual con las leyes físicas.
Pero creo que no va por ahí lo que está diciendo. Lo que está diciendo es que «funcionaría». Pues no funciona, así que no se monte castillos en el aire.
Supongo que tienes un montón de pruebas de que todos los que dicen que funciona mienten, ¿verdad? Yo digo que lo publicado no parece contradecir ningún principio fundamental de la física en absoluto. Otra cosa es el montaje, en lo cual no me meto. Pero varios fotones pueden propulsar una estructura metálica a costa de aniquilarse. Eso está perfectamente permitido por la física.
La fuente eléctrica de la nave tiene que ser capaz de inducir momento al campo electromagnético. Si la fuente es interna a la nave lo tendrá complicado, pero por lo que leí pretendían que la fuente fuese externa a la nave.
ahí estamos Adri, dales duro jajajaja
Si pretenden utilizar una fuente externa, el invento ya existe y se llama vela solar. Si pretenden utilizar una fuente interna, puede haber propulsión solo si la onda sale de la cavidad: la onda sale despedida para un lado y la nave para otro, tercera ley de Newton. Pero, por lo que tengo entendido, la cavidad es cerrada. Por tanto, no puede funcionar.
Si pretenden que no haya flujo de campo fuera del trasto y que este avance, entonces es como decir que pretenden violar el principio de conservación del momento lineal. Si están midiendo una pequeña fuerza neta, será que tienen fugas. Así de fácil.
Los fotones pueden aniquilarse sin necesidad de tener que ser emitidos.
Respondo aquí porque abajo no puedo…
«Los fotones pueden aniquilarse sin necesidad de tener que ser emitidos.»
Si estás intentando invocar algún efecto de QED, ocurren dos cosas, que lo que dices no es cierto y que, aunque lo fuese, la escala de energías del EMDrive está muy por debajo de lo que necesitas para ver efectos de correcciones cuánticas.
No digo que se aniquilen el uno con el otro… Una onda puede ser apantallada y que se absorba su energía. En todo caso, post editado.
Hola Adrián,
El asunto es mucho más básico que eso. Si EMDrive funciona como aseguran que funciona, efectivamente viola la conservación del momento. El problema es que EMDrive es una cavidad resonante, como el interior de un horno microondas, y una onda atrapada dentro de la cavidad no puede producir una fuerza neta sobre el centro de masas del sistema, es decir, mover el motor; sin violar la conservación del momento, puesto que toda fuerza que pueda ejercer la onda sobre las paredes es una fuerza interna (supongo que recuerdas la diferencia entre fuerzas internas y externas de las clases sobre sistemas de partículas).
Decir que EMDrive funciona como dicen que funciona es equivalente a decir que puedes mover un vagón de tren empujándolo desde dentro. Mi opinión es que, o bien lo que está ocurriendo es algún tipo de calentamiento no homogéneo del aire alrededor del «motor» que provoca una presión en los instrumentos; o bien lo que ocurre es que la cavidad no está bien aislada, con lo que no sería más que una vela solar muy cara…
Como contesté a otro, yo he replicado a quienes dicen que no se puede propulsar con fuentes externas a la nave, que son las que pueden transferir momento neto al campo electromagnético. El artículo que vi sobre EmDrive decía que la idea era usar luz solar.
Te estás liando… Una cosa es que la fuente de energía esté fuera (paneles solares) y otra dónde se emiten las ondas que supuestamente hacen funcionar el motor.
Si se emiten desde dentro, que es lo que dicen, entonces tenemos lo que digo, es una fuerza interna y no puede generar un empuje neto sin violar las leyes de la física.
Si se emiten desde fuera, entonces EMDrive sólo es una vela solar muy fea, porque no hay nada nuevo.
Pues críticas al concepto de vela solar es lo que he visto. No obstante, parece que habrá que aclarar.
Adrián,
es cierto que la radiación electromagnética transfiere momento. Pero, incluso si toda la potencia de entrada que introducen (entorno al KW) se radiase en la misma dirección, al hacer los cálculos se ve que el momento transferido es mucho menor al que miden (mN hasta cientos de mN).
No niego que exista el efecto de la transferencia de momento a través de la radiación, pero si haces los cálculos, ni de lejos explica el empuje supuestamente medido.
Como ya dije, no me metí a tratar el montaje experimental, que puede ser magufo. Lo que replico es gente que dice que viola cosas que no viola. Estoy descubriendo que el asunto tiene más chicha (en el sentido de que no obtienen la energía como dicen) y he replicado a críticas malas perdidas entre las críticas buenas.
Creo que la cavidad resonante es una cosa, y otra es que las microondas se envíen desde esta cavidad al exterior, por una guía de ondas y un «radomo». Los fotones salen al exterior hacia atrás.
Adrián, titular un post
«No, el EmDrive no viola ninguna ley física»
Y ahora reconocer que no te habías mirado cómo sus creadores reivindican que funciona el EmDrive, es un epic-fail. :)
De todas maneras mejor es reconocer la metedura de pata tarde, como has hecho, que nunca. Saludos.
Albert, no me gusta presuponer la infalibilidad perfecta. Ni siquiera en mí. Todos metemos la gamba alguna vez. Lo importante es tomárselo con filosofía, disculparse las veces que sea necesario e intentar enmendar el asunto. Yo mismo me dedico a la caza de charlatanes (tengo entradas sobre ello) y eso no ha evitado que me haya pasado esto. Lecciones como esta nunca están de más.
Bueno, yo quiero dar la enhorabuena a Adrián por su blog, creo que tiene muy buena calidad y todo aquel que construye cosas sabe lo duro que es conseguirlo. Hay que ser crítico con el trabajo pero también darle el valor correspondiente, y entender que todos somos humanos (constructores de em-drives, blogueros y comentaristas varios).
Me recuerda al tema de las velas solares para propulsarse por el espacio. Fuente casi inagotable de energía, estando a pocas distancias astronómicas del sol. Pero digamos que para llegar a la órbita de destino desde el suelo no vale…