Hace algunas entradas analizamos qué ecuación de movimiento debía cumplir una cuerda relativista y anticipé que próximamente veríamos qué posibles movimientos podía realizar si la cumplía. Después, en la última entrada, analizamos las coordenadas cono luz, que bajo una sencilla hipótesis de partida permitían simplificar mucho las cuentas cuando teníamos varias coordenadas espaciales y una de ellas era privilegiada para el problema. Así pues, siguiendo con ello, en esta ocasión analizaremos el movimiento posible de las cuerdas relativistas en coordenadas y gauge cono luz y, si bien no llegaremos a ninguna conclusión particularmente sorprendente, dejaremos todo el camino hecho para, en alguna entrada venidera, cuantizarlas y ver qué sucede.
Breve repaso de las condiciones de la cuerda relativista:
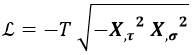
La posición espacio-temporal de los distintos puntos de la cuerda relativista venían caracterizados por dos parámetros, y concretamente habíamos elegido τ para indicar el tiempo y σ para indicar la posición sobre la cuerda. Representando las derivadas con comas, la lagrangiana de la cuerda resultaba ser, en función de la tensión T:
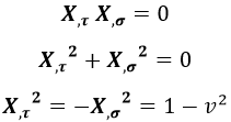
Los vectores X,τ (derivada temporal) y X,σ (y derivada natural) eran perpendiculares espacio-temporalmente entre ellos y tenían módulos opuestos:
En la última ecuación, v representaba la velocidad trasversal de la cuerda: no se puede en su propia dirección.
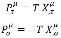
Los cuadrimomentos temporal y natural de la cuerda, por su parte, eran:
Y la ecuación diferencial que tenía que cumplir la cuerda resultaba ser una ecuación de onda:
No obstante, antes de resolverla es conveniente hacer algunos cambios.
Reparametrización sin unidades:
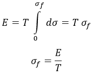
Para evitar que las unidades de τ y σ compliquen las expresiones, buscaremos otras variables equivalentes pero sin unidades. Concretamente, se elige una redefinición de σ en la cual tome valores entre 0 y s π.
¿Y cómo obtenemos dicha redefinición? Pues solo necesitamos conocer cuál era el valor máximo que tomaba el σ original, al que denominaremos σf, y transformarlo mediante un factor de conversión a s π. El procedimiento estándar más elemental.
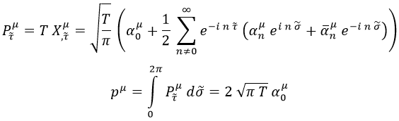
Consideremos el cuadrimomento temporal Pτμ. Su valor depende del punto σ de la cuerda en el que se calcule. Por este motivo, resulta más conveniente integrarlo en σ para obtener el cuadrimomento p neto de la cuerda:
Si en esta ecuación consideramos el caso en el que μ es igual a la componente temporal t, y tenemos en cuenta que para el cuadrimomento es la energía y para la cuadriderivada temporal es 1, llegamos a la siguiente relación:
Así que la redefinición de unidades que buscamos es:
Las derivadas de la cuadriposición en estas nuevas coordenadas respecto a cualquiera de las dos variables, etiquetadas conjuntamente como α, es proporcional al caso anterior:
Con lo cual, todas las relaciones entre los vectores X,τ y X,σ se mantienen intactas con las nuevas variables y, en particular, se mantiene intacto que:
La cuerda abierta:
En el caso de la cuerda abierta fijaremos que σ tome valores entre 0 y π, con lo cual:
-Movimiento general:
Dentro del contexto de la teoría de cuerdas, las cuerdas abiertas tendrán siempre sus extremos «anclados» perpendicularmente a ciertas superficies de las que ya hablaremos en otra ocasión llamadas branas. Con lo cual, se exige que la derivada natural de la cuerda en sus extremos sea nula para garantizar la mencionada ortogonalidad:
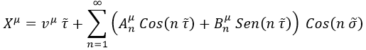
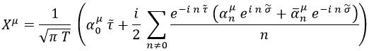
Y sabiendo esto, ¿cuál es el movimiento más general que puede tener una cuerda? Pues básicamente desplazarse en línea recta siguiendo un cierto cuadrivector v y oscilar en tiempo y longitud de todas las formas posibles, es decir, para todas las frecuencias n naturales según una serie de Fourier. Algo del siguiente estilo:
Nótese que prohibimos los términos con el seno de n σ por no cumplir la condición exigida a las cuerdas abiertas.
Ahora bien, si tenemos en cuenta que los senos y los cosenos son una combinación de exponenciales complejas mediante las relaciones de Euler, podemos compactar más la expresión extendiendo el sumatorio a todos los enteros y redefiniendo los cuadrivectores An:
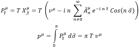
Para fijar el cuadrivector v podemos relacionarlo con el cuadrimomento p. Para ello primero obtenemos el cuadrimomento Pτ y después lo integramos en σ como antes:
En la integral nos hemos beneficiado de que las integrales de cosenos entre 0 y π son nulas.
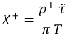
Así pues, tenemos que:
Pero como dirían en cierta serie, «esta no es todavía su forma final». Al trabajar con cuerdas cuánticas es más común utilizar otros cuadrivectores an tales que permitan reescribir todo así:
Si esta expresión de recuerda a la del campo escalar de Klein-Gordon en términos de sus operadores de creación: perfecto, es lo que terminarán siendo al cuantizar.
-Gauge cono luz:
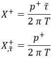
Mediante el grado de libertad que tenemos para decir cómo oscila la cuerda, usamos el gauge cono luz y fijamos que la componente + de los osciladores sea nula:
Esto implica que cuando μ tome el valor + la ecuación de la cuerda será:
Y consecuentemente:
Esto será útil en unas pocas líneas.
-Grados de libertad:
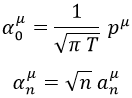
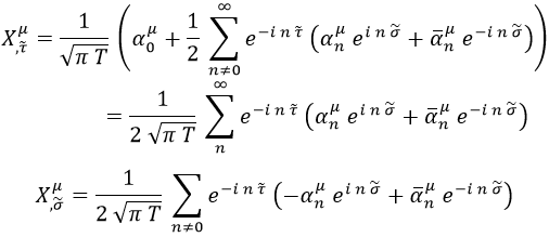
Tras cargarnos las oscilaciones asociadas a +, veremos que las asociadas a – son dependientes de las trasversales, I. Pero antes, no obstante, es muy conveniente definir los cuadrivectores αn:
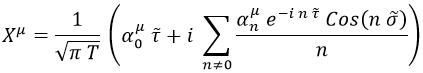
Y, tras ello, cambiar el aspecto de la cuadriposición por cuarta vez:
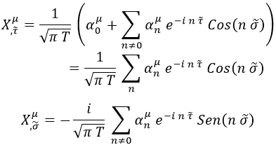
Sus derivadas temporal y natural son:
En la derivada temporal hemos introducido α0 en el sumatorio aprovechando que tanto la exponencial como el coseno valen 1 en ese caso, con lo que todo queda bien.
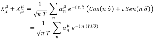
Combinando las dos derivadas llegamos a la siguiente expresión:
En el paso intermedio hemos usado de nuevo la ecuación de Euler de los números complejos.
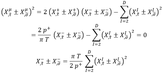
El módulo cuadrado de las dos combinaciones recién calculadas sabemos que es nulo por las condiciones de parametrización, con lo cual combinando ese hecho y lo que sabemos sobre las coordenadas + llegamos a que:
Que, tal y como anticipamos, dice claramente que las vibraciones en las coordenadas – dependen de las coordenadas trasversales.
Sustituyendo:
Aquí a la derecha hemos introducido dos sumatorios multiplicados porque la expresión de la derecha estaba al cuadrado.
-Operadores trasversales de Virasoro
Para concluir el análisis de esta entrada sobre la cuerda abierta, introduciremos los operadores trasversales de Virasoro Ln, que básicamente consisten en la mitad de la suma de todos los oscilares trasversales:
Usando esto, la última ecuación podría reescribirse como:
Lo que fija que:
La cuerda cerrada:
En el caso de la cuerda cerrada, donde principio y final coinciden, fijaremos que σ tome valores entre 0 y 2 π, imponiendo una periodicidad espacial. Es decir, impondremos que:
-Movimiento general:
En esta ocasión, las vibraciones albergarán todas las posibilidades porque no se requiere que ninguna derivada sea nula. Sin embargo, cada una «vale» la mitad:
Nótese que aparecen dos conjuntos de osciladores diferentes debido a estas oscilaciones extra.
A partir de aquí, podemos que relacionar α0 con el cuadrimomento p mediante el protocolo usual:
Obviando el 2, es la misma relación que en el caso de la cuerda abierta.
-Gauge cono luz:
Imponiendo, como antes, que no haya oscilaciones en +, en esta ocasión llegamos a las siguientes relaciones:
La derivada natural sigue siendo nula también.
-Grados de libertad:
Como no podía ser de otro modo, en la cuerda cerrada veremos que también depende todo de las oscilaciones trasversales. Las derivadas de la cuadriposición en este caso son:
Al hacer la compactación en la derivada temporal definimos las siguientes igualdades «ad hoc» porque podemos:
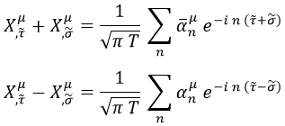
En esta ocasión expresamos la suma y resta de derivadas por separado, porque no encajan tan bien como en el caso de la cuerda abierta:
Cada una de ellas debe depender de las coordenadas trasversales del siguiente modo:
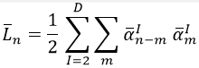
-Operadores trasversales de Virasoro:
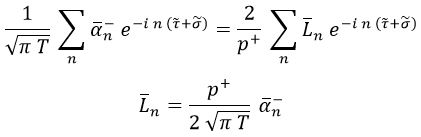
En el caso de la suma, esto es equivalente a:
Aquí definimos:
Lo que usando la ecuación facilita su expresión sencilla:
En el caso de la resta la ecuación resultante es:
Y usando la misma definición para los operadores de Virasoro de la cuerda abierta, llegamos a que:
De donde se concluye directamente, que si bien los dos conjuntos de operadores de Virasoro de la cuerda cerrada son diferentes, sí es cierta la igualdad siguiente:
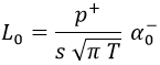
Operador de Virasoro fundamental en ambas cuerdas:
Tras analizar ambas cuerdas por separado, cabe destacar que sus operadores de Virasoro fundamentales, es decir, con n siendo 0, responden a la misma ecuación en función de s:
Y este objeto matemático será responsable de que al cuantizar las cuerdas pasen cosas que pueden producir taquicardias a cualquier matemático. Pero eso lo veremos en la siguiente entrada sobre la cuestión, así como por qué la cuantización de nuestras cuerdas requerirá de 25 dimensiones espaciales.
Categorías:Física, Relatividad, Teoría de Cuerdas












































