3. TEORÍA DE CAMPOS BIDIMENSIONAL
3.1. El gradiente
3.2. Las fuerzas centrales
3.3. Las rotaciones
Componentes de la velocidad.
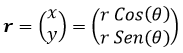
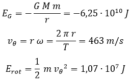
Como vimos en el capítulo del gradiente, al trabajar en dos dimensiones en física es frecuente emplear dos sistemas de coordenadas diferentes: el cartesiano y el polar. En ellos, respectivamente, el vector posición se expresaba de los siguientes modos:

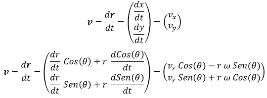
Es posible obtener el vector de velocidad de dos formas diferentes derivando ambas expresiones. Al derivar en coordenadas polares, no obstante, hay que tener cuidado con la regla de la cadena, con la regla del producto (según la cual la derivada de una multiplicación es la derivada del primero por el segundo sin derivar, más el primero por la derivada del segundo) y, además, teniendo en cuenta que la derivada del ángulo θ respecto al tiempo es la velocidad angular ω:

Si calculamos la energía cinética del cuerpo en coordenadas cartesianas, obtenemos la siguiente expresión:

Como se puede observar si descomponemos el último paréntesis, surgen dos energías cinéticas diferentes:
- Energía cinética sobre el eje x, que es la que tendría el cuerpo si solo consideramos so movimiento vx.
- Energía cinética sobre el eje y, que es la que tendría si solo contásemos vy.
Estas dos energías cinéticas sumadas darían como resultado la energía cinética total.
En coordenadas polares, por otra parte, sucede algo muy similar:

Aquí encontramos las siguientes dos energías cinéticas:
- Energía cinética radial (Ecr), que es la que tendría el cuerpo si solo considerásemos vr.
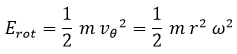
- Energía cinética angular, de rotación o rotacional (Erot), que es la que tendría el cuerpo si tan solo girase y tuviésemos en cuenta el producto r*ω.
De nuevo, estas dos energías cinéticas juntas tienen que sumar la energía cinética total.
A partir de la energía rotacional, tiene mucho sentido que definamos la velocidad de giro o de rotación vθ, la cual tiene la siguiente expresión:

Y, gracias a ella, podemos establecer dos expresiones para calcular la energía rotacional de un cuerpo:

Cabe destacar que la energía rotacional puede tener la misma expresión que la energía potencial elástica del oscilador armónico, pero no por ello son lo mismo. En el caso de la energía rotacional, ω puede variar (no hemos dicho nada que tengamos un cuerpo girando con velocidad constante) y además contribuye como una energía cinética. En el caso de la energía del oscilador armónico, ω era una constante del movimiento relacionada con la constante de elasticidad kH, y contribuía como una energía potencial. Por supuesto, hay muchas similitudes entre ambas, como que multiplicadas por la distancia al origen r en este caso o por la amplitud daban velocidades, pero es conveniente no mezclarlas.
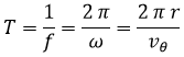
Si no existe velocidad radial vr y ω es constante, por otra parte, y tenemos un movimiento circular uniforme, también es posible calcular el periodo recurriendo a las expresiones del oscilador armónico (de hecho, un movimiento circular es, para los ejes x e y, un movimiento armónico simple, como veremos en breve):

Veamos un ejemplo muy claro de aplicación de energía rotacional:
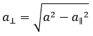
Tenemos ubicada sobre la superficie de la Tierra una persona de 100 kg, a una distancia de 6,37*10^6 m del centro de la misma. La Tierra da completa una vuelta sobre sí misma cada 24 h (86400 s). Ayudándote del valor de G y la masa de la Tierra, calcula:
a) La energía potencial gravitatoria a la que está sometida la persona.
b) La velocidad de rotación que lleva debido al giro de la Tierra.
c) La energía rotacional.
d) Calcula la altura que alcanzaría esta persona si toda su energía rotacional se convirtiese en gravitatoria (saliese despedida de la superficie de la Tierra debido al giro).Los primeros apartados los resolveremos de golpe:
Lo primero que tenemos que observar es que para cualquier cuerpo sobre la superficie de la Tierra la energía rotacional es aproximadamente 1000 veces menor que la gravitatoria, lo cual la convierte en despreciable y hace que en nuestra experiencia cotidiana podamos obviarla. Si llegase a hacernos flotar, podríamos calcular la altura alcanzada mediante las fuerzas vivas considerando que la energía rotacional se reduciría a 0 J al alcanzar la altura máxima:
Con la precisión que hemos empleado el resultado es que podríamos ascender unos 10000 m gracias a la rotación, pero justo esa cifra coincide con el error de aproximación que hemos cometido, con lo que en realidad la cantidad sería menor, y además habría que sumar los efectos de disipación de energía por calor. Sirva por tanto el resultado como mera aproximación conceptual a la cuestión.
Componentes de la aceleración.
La aceleración, al igual que la velocidad, también tendrá siempre una componente radial y otra de giro con respecto al origen de coordenadas. Sin embargo, resulta mucho más útil distinguir entre las aceleraciones tangente y perpendicular al movimiento.
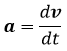
La aceleración total la definimos como:

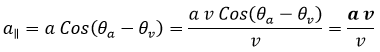
La aceleración tangente o paralela es la parte de la aceleración que es paralela a la velocidad y, por tanto, contribuye a aumentar su valor. En otras palabras, la aceleración tangente acelera. Podemos definirla como la parte de la aceleración que aparece proyectada sobre el vector velocidad mediante el coseno del ángulo entre ambos, es decir:

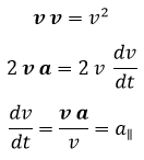
Aquí en el último paso hemos recurrido a la relación entre la expresión que teníamos y el producto escalar. Y se puede comprobar que esta es «la aceleración que acelera» tomando la expresión del módulo cuadrado de la velocidad y derivándola (regla de la cadena mediante):

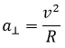
Una consecuencia directa de esto es que si la aceleración es perpendicular a la velocidad, la velocidad no aumenta. Por el contrario, la aceleración perpendicular o centrípeta provoca que los cuerpos giren.
Existe una relación directa entre la aceleración perpendicular que padece un cuerpo en un instante, su velocidad en dicho instante y el radio de curvatura R de la curva que comienza a describir debido a dicha a aceleración. Dicha relación es:

Esta fórmula no tiene demostración, ya que es la definición del radio de curvatura de una trayectoria en un punto cualquiera. Sin embargo, caben destacar las siguientes propiedades:
- Si no hay aceleración centrípeta el radio de curvatura es infinito. Y una curva que se curva desde el infinito es una recta, de modo que en ausencia de aceleración perpendicular a la velocidad los movimientos son rectilíneos.
- A medida que aumenta la aceleración centrípeta, el radio de curvatura se reduce y por tanto la curva se va haciendo más pronunciada.
- Estos efectos se multiplican por el cuadrado de la velocidad, con lo que para un cuerpo tomar una curva con el doble de velocidad la hace cuatro veces más peligrosa, con el triple de velocidad nueve veces y etc.
Por supuesto, la forma habitual de calcular esta aceleración teniendo las otras dos es mediante el teorema de Pitágoras:

Vamos a resolver cuatro casos representativos y, de paso, a practicar operaciones elementales con ellos. En todos ellos, por fluidez, obviaremos las unidades. Estamos preocupándonos más por las operaciones matemáticas que por la física tras ellas.
El primero será el movimiento rectilíneo uniforme, sin aceleraciones:
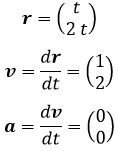
Tenemos un cuerpo moviéndose según la ecuación (t,2t). Verifica que su aceleración es nula.
Este resultado se dará siempre que en el movimiento original únicamente hayan constantes y números multiplicando a t.
El segundo será el movimiento rectilíneo general, sin aceleraciones perpendiculares:
Tenemos un cuerpo moviéndose según la ecuación (3*t^3,-3*t^3). Calcula sus aceleraciones:
El requisito para que el movimiento sea recto, si queremos detectar dicha propiedad antes de llegar a ver que la aceleración centrípeta de nula, es que las coordenadas x e y aumenten o disminuyan del mismo modo con el tiempo.
El tercero será el movimiento circular uniforme, sin aceleración tangencial:
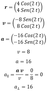
Tenemos un cuerpo moviéndose según la ecuación (4*Cos(2*t),4*Sen(2*t)). Calcula sus aceleraciones:
Para reconocer un movimiento circular uniforme a la primera, el único truco existente es analizar si es equivalente a este tras realizar cambios de unidades. Otra forma de confirmarlo, además de la ausencia de aceleración tangencial, es que la centrípeta sea constante.
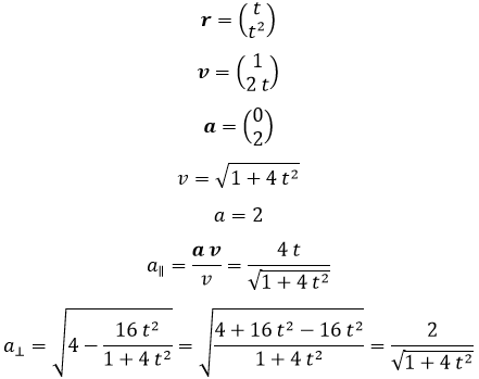
Por último, trataremos con un movimiento raro que combina de todo un poco:
Tenemos un cuerpo que se mueve según (0, t^2). Calcula sus aceleraciones:
Y ahora que ya sabemos analizar matemáticamente los movimientos, comprendiendo la diferencia entre las velocidades en distintas direcciones, el siguiente capítulo estamos en condiciones de aprender más sobre los teoremas de conservación.
ACTIVIDADES PROPUESTAS
1. Calcula la energía rotacional de la Tierra alrededor del Sol, usando el valor de G, el de la masa de la Tierra, el de la distancia entre ambos y el de la masa del Sol, además del hecho de que el periodo de traslación es de 1 año (pasándolo a segundos). Compárala con el de la energía gravitatoria entre ambos. Masa Tierra: 5,97*10^24 kg. Masa Sol: 1,99*10^30 kg. Distancia Tierra-Sol: 1,50*10^11 m.
2. Calcula las aceleraciones de los siguientes movimientos y clasifícalos como uniformes, rectilíneos, circulares uniformes o ninguno de los anteriores:
a) r=(e^t,e^t)
b) r=(0,t^2)
c) r=(7-2*t,3+t)
d) r=(Cos(t^2),Sen(t^2))
3. En los movimientos del ejercicio anterior que tuviesen aceleración centrípeta, calcula el radio de curvatura en función del tiempo.
Categorías:Blog, Cosmología, Docencia, Estudiar Física de Bachillerato, Física






