3. TEORÍA DE CAMPOS BIDIMENSIONAL
3.1. El gradiente
3.2. Las fuerzas centrales
3.3. Las rotaciones
3.4. Los momentos físicos
Polisemia de la palabra momento.
En este capítulo nos embarcaremos en la comprensión de conceptos muy fundamentales en física y comunes a todos los modelos. Se trata, en efecto, de un capítulo tan esencial como aquel en el que tratamos la conservación de la energía. Es más, sería correcto decir que vamos a analizar por encima la estructura matemática que hace que la energía y otras magnitudes físicas se conserven.
Trataremos aquí, en esencia, la reformulación completa de la física del excelente físico y matemático William Hamilton a comienzos del siglo XIX, al menos de forma introductoria.
Por poner algo de contexto histórico, echemos un vistazo a los avances que se habían realizado en física y ya conocemos hasta su época:
- En la antigua Grecia, en torno al 400 a.C., Aristóteles resumió toda la física a que los sistemas hacen aquello que tienen la potencialidad de hacer.
- Cerca del 200 a.C., Arquímedes estableció su principio de flotabilidad, según el cual los cuerpos menos densos tendían a dejar pasar hacia debajo a los más densos.
- A principios del siglo XVII, Galileo Galilei desarrolla la cinemática, la rama de la ciencia que estudia los movimientos, y observa que en ausencia de aire todos los cuerpos caen con la misma aceleración cerca de la superficie de la Tierra.
- Poco después de Galileo, René Descartes marca para las generaciones posteriores la forma de combinar el álgebra con la geometría, dando lugar a las coordenadas cartesianas como herramienta para trabajar con problemas bidimensionales.
- Durante la segunda mitad del siglo XVII, Robert Hooke establece la ley de Hooke acerca de los muelles.
- Hacia finales del siglo XVIII, Isaac Newton unifica todos los descubrimientos anteriores en su obra «Principios matemáticos de la filosofía natural», donde asienta el concepto de fuerza, el de derivada, e introduce una ley de gravitación universal mucho más general que la de Galileo.
Desde Newton y su estructura matemática, la física nunca volvió a ser lo mismo. Su modelo de fuerzas vectoriales era tan potente que parecía ser capaz de explicar todo y, en efecto, hasta el siglo XX lo fue.
El modelo de Newton basado en vectores, eso sí, fue siendo moldeado poco a poco por los físicos matemáticos. A comienzos del siglo XVIII, Jean d’Alembert se dio cuenta de que los sistemas físicos parecían optimizar una magnitud a la que a día de hoy denominamos acción. Hacia la mitad del siglo, Joseph-Louis Lagrange fue capaz de reescribir toda la mecánica en términos de una función actualmente conocida como lagrangiano, la cual mediante derivadas permitía obtener todas las ecuaciones de movimiento. En su desempeño colaboró con Leonhard Euler, uno de los principales contribuidores al desarrollo del cálculo analítico y la teoría de números complejos. Ya a finales de siglo, el gran Pierre-Simón Laplace no solo consideraba la física suficientemente desarrollada como para poder resolver cualquier cosa, sino que llegó a afirmar que la hipótesis de Dios había dejado de ser necesaria.
Sin embargo, por difícil de creer que pueda resultar, ninguna de estas personas hablaron jamás de cosas como la conservación de la energía o la energía potencial. Esos conceptos necesitaban esperar a la llegada de uno de los grandes científicos del siglo XIX: William Hamilton. No fueron tampoco desarrollados por él, pero quizás sea la persona que más acercó a la sociedad a darse cuenta de su utilidad.
Hamilton se dio cuenta, en esencia, de que podía definirse siempre una función, el hamiltoniano, y que según las cosas que pudiesen alterar su valor habría unas ciertas magnitudes relevantes u otras. La función hamiltoniana es a lo que actualmente llamamos energía mecánica, y por tanto él fue su precursor más directo.
Así, Hamilton estableció que cada magnitud de la que pudiese depender la energía mecánica tendría asociada su propia magnitud canónica conjugada trascendental. A dichas magnitudes las denominó momentos, del latín «momentum», en su acepción de magnitudes trascendentes/relevantes. Es importante tener claro este uso de la palabra «momento», ya que de lo contrario resulta poco intuitivo comprender por qué se les llaman así a ciertas cosas en física. Pero veamos en detalle qué son estos momentos.
Momentos físicos.
Pensemos por ejemplo en la dependencia que pueda tener la energía mecánica de la posición x. El eje x es una línea recta, con lo cual el momento canónico asociado a x será denominado con cierto sentido momento lineal de x. Esto, en palabras corrientes, significa que el momento lineal de x será la magnitud trascendente que deberemos tener en cuenta al trabajar con eje eje x. La trascendencia lineal, aquello que nos resulta relevante relacionado sobre dicha línea.
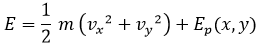
Procederemos ahora a ver cómo se calcula el momento asociado a una variable de forma general. Todo parte de la cuestión de cuántos grados de libertad o variables tiene nuestro sistema. Si estamos trabajando con un cuerpo moviéndose por el plano sus grados de libertad son las dos dimensiones del plano. Estos grados de libertad se ven afectados en la cantidad de variables de las que depende nuestra energía mecánica. Por ejemplo, si el cuerpo se puede mover por los ejes x e y la energía mecánica dependerá de las variables x e y. Pero además, a través de la energía cinética dependerá también de las derivadas de dichas variables. Concretamente, de las componentes de la velocidad vx y vy. Así, en coordenadas cartesianas, la energía mecánica estándar tendrá la siguiente fórmula:

Pues bien, a partir de esta expresión, definimos el momento lineal de x (px) como la derivada parcial de la energía mecánica respecto a la derivada temporal de x, es decir, vx:

Es decir, que el momento px es igual al producto de la masa por la velocidad en la dirección x. Análogamente, para el eje y tenemos:

Al producto de la masa por la velocidad desde la edad media se le llamaba ímpetu, y quizás por ese motivo haya sobrevivido la p como forma de referirse al momento.
Dado que podemos decir el momento lineal es un vector de dos componentes proporcional (y por tanto paralelo) a la velocidad, tiene sentido escribirlo del siguiente modo:

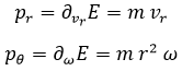
Pero sucede que si en lugar de emplear coordenadas cartesianas se emplean otras, como por ejemplo las polares, los momentos asociados a las magnitudes r y θ son diferentes. En particular, la energía en coordenadas polares tiene, como ya vimos en el capítulo anterior que se podía demostrar, la fórmula:

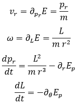
Aquí vr hace de derivada temporal de r, pero para el ángulo tenemos ω, lo cual cambia ligeramente la cuestión, pues los momentos serán:

Y se les denomina momento radial y momento angular. Al momento angular en física es muy frecuente denotarlo como L por motivos que no están del todo claros, o al menos no lo están para mí en este momento. Existe, además una relación muy relevante entre el momento angular y la velocidad de giro:

En el siguiente bloque veremos que existe una operación llamada producto vectorial con la que es más habitual definirlo. Se suele explicar con productos vectoriales por no perder tiempo explicando los pormenores de la diferencia entre velocidad radial y velocidad de giro previamente, y en mi opinión es un error, ya que de ese modo se tarda más en comprender de qué se está hablando cuando se trabaja con momentos angulares. Baste decir que en este caso, empleando productos vectoriales, tendríamos que explicar que el momento angular es esta cosa que sigue:

Lo cual es cierto, pero poco intuitivo. Para relacionar esta expresión con la anterior tenemos que escribir todo en términos de módulos y ángulos y darnos cuenta de que vθ es una proyección con el seno de la velocidad. La demostración sería la siguiente:

En lo personal, considero que a este nivel no es necesario para nada tener que conocer la expresión del momento angular que surge del producto vectorial, pero ya que es parte del temario la voy comentando.
Dinámica de Hamilton.
Una vez calculados los momentos de nuestro sistema, Hamilton demostró que resultaba muy conveniente reescribir toda la energía eliminando las velocidades, de modo que tan solo dependiese de los momentos y de las coordenadas sin derivar. En coordenadas cartesianas y polares quedaría así:

Y a partir de aquí, a partir del principio de la teoría de Lagrange (que no hemos visto), Hamilton demostró que siempre tenían que cumplirse las siguientes ecuaciones para cualquier coordenada χ, las cuales son conocidas como las ecuaciones de Hamilton:

La primera ecuación relaciona la velocidad asociada a la coordenada χ con su momento. La segunda, es la forma de Hamilton de escribir que la fuerza es opuesta al gradiente de la energía potencial, como veremos en breve.
En coordenadas cartesianas tendríamos las siguientes cuatro ecuaciones:

Podemos escribirlas de forma vectorial como:

Y ahora veamos las cuatro ecuaciones que surgirían en coordenadas polares:

Sobre el interés de esto hablaremos dentro de poco, pero antes repasemos las conclusiones en cartesianas.
Teorema de conservación del momento lineal.
Al trabajar coordenadas cartesianas hemos llegado a esta ecuación:

La cual nos dice que si el gradiente de la energía potencial es 0, es decir, si no varía en ninguna dirección, el momento lineal como vector se conserva. Esto es exactamente lo que queríamos decir ya en el segundo capítulo cuando indicábamos que si la energía potencial era constante y no se modificaba de un sitio a otro, entonces no habría movimiento. Tendríamos los cuerpos moviéndose de forma indefinida con velocidad uniforme. Es necesario que la energía potencial varíe para desviarlos.
Pero hay otra cuestión incluso más curiosa, que es que si atendemos a la definición del momento lineal, el producto de la masa por la velocidad, su derivada respecto al tiempo resulta ser la fuerza. Y, por tanto, podemos decir que la presencia de fuerzas es la que hace que el momento lineal no se conserve en un sistema:

Otra conclusión interesante es que si la energía potencial varía en un eje, por el ejemplo el x, pero en el y no, entonces la componente py se conservará y la componente px no.
Llegados a este punto podéis preguntaros, y con razón, por qué se habla de la conservación del momento lineal y no de la velocidad si la masa que los relaciona siempre se mantiene. Surge de esta pregunta la principal utilidad del concepto de que el momento lineal se conserve.
Hay ocasiones, como vimos en el capítulo de trabajo y calor, en las que obviamos la estructura de los sistemas internos. Cuando trabajamos con un cuerpo ignorando lo que sucede en su interior, a efectos prácticos es porque sus energías potenciales interiores no nos afectan. De modo que cualquier cambio en la estructura de nuestro cuerpo debe conservar el momento lineal: si explota, si se dilata, etc. No puede no conservarlo.
Un ejemplo habitual para comprender esto es el del astronauta en reposo en el espacio. Si un astronauta está flotando en el espacio no le es posible modificar de ningún modo su velocidad, ya que para alterar su momento lineal necesita de fuerzas externas a él. Si levanta un brazo, provocará en el resto de su cuerpo un tirón equivalente hacia abajo. Si da un paso hacia delante, su cuerpo pegará un tirón hacia atrás. Su única opción sería, en el caso de que tuviese aire, soplar sin casco (y morirse). El aire saldría por la boca hacia delante, y el cuerpo se opondría con un tirón hacia detrás.
Sirva esto para comprender que si nosotros podemos caminar sobre la Tierra es, en esencia, porque la Tierra absorbe el tirón en el sentido contrario a nuestro movimiento. Cada vez que pisamos y aprovechamos el impulso para mover hacia delante la otra pierna, estamos empujando la Tierra en sentido contrario. Un efecto diminuto si tenemos en cuenta su masa, pero existente. Es más fácil darse cuenta de esto en suelos arenosos, donde al pisar hacemos una huella que se hunde hacia detrás.
La conservación del momento lineal también sirve, a su vez, para explicar por qué no podemos tirar de nosotros mismos hacia arriba (nuestro cuerpo se opone a nuestro tirón impulsándose hacia abajo), pero sin embargo otra persona sí puede cogernos y levantarnos (su tirón lo absorbe el suelo.
Además, la ley del momento lineal es, en sí misma, las tres leyes de Newton de la dinámica, que se resumen en:
- En ausencia de fuerzas, un cuerpo mantiene su momento lineal constante.
- Si aparecen fuerzas, estas son iguales al producto de la masa por la aceleración.
- Toda fuerza dentro de un sistema produce una reacción opuesta.
Veamos un ejemplo práctico.
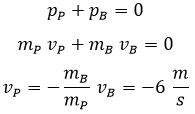
Tenemos una pistola de 1 kg colgada de un hilo, la cual contiene en su interior una bala de 15 g. Tras dispararse, la bala sale disparada hacia delante con una velocidad de 400 m/s hacia delante. Calcula:
a) La velocidad con la que la pistola sale despedida hacia atrás.
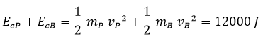
b) La variación en la energía cinética del sistema, explicando las transformaciones que se hayan producido.Para resolver el primer apartado tenemos que aplicar la conservación del momento. El momento lineal inicial del sistema era exactamente 0, con lo que tras el disparo también debe serlo. Esto significa que el momento de la pistola P y el de la bala B deben sumar cero (ir en sentidos opuestos):
Para el segundo apartado tenemos que calcular la energía cinética que suman entre las dos:
Toda esta energía procede, por supuesto, del sistema de detonación.
Y vamos ahora con otro caso más rebuscado.
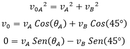
Un disco de hockey A avanza por el eje x a 20 m/s, rumbo a colisionar con otro idéntico B en reposo. Tras la colisión, ambos quedan en movimiento formando ciertos ángulos con el eje x. Calcula todos los datos posibles acerca de sus velocidades finales y sus ángulos, sabiendo que la que estaba en reposo se desvía con un ángulo de 45º hacia abajo.
En esencia aquí tenemos que garantizar tres cosas: que se conserve la energía, que se conserve la componente x del momento, y que se conserve la componente y del momento. Como las masas dan igual porque son iguales, esto podemos escribirlo así:
En primer lugar, despejamos vB de la ecuación de abajo:
Después, sustituyendo en la del medio y teniendo en cuenta que el seno y el coseno de 45º grados son iguales:
En el paso 3, el más turbio y por el cual esto se hace odioso, sustituimos todo en la primera ecuación y despejamos el seno del ángulo A, preferiblemente llamándolo z por escribir menos y teniendo en cuenta que el coseno es la raíz de 1 menos el cuadrado del seno:
Y a partir de aquí todo es cuestión de ir deshaciendo:
La conclusión es clara: lo que el sistema físico prefiere en este caso después del choque es que si un disco se desvía 45º hacia abajo el otro se desvíe 45º hacia arriba, y los dos tengan la misma velocidad de 14,1 m/s.
Dinámica del momento radial.
En lo referente al momento radial, la ecuación a la que llegamos fue:

Aquí podemos observar que siempre que haya momento angular no nulo (el cuerpo gire en torno al origen), existirá una tendencia positiva del momento radial a incrementarse, la cual solo podrá ser contrarrestara por la derivada parcial respecto a r de la energía potencial. Analizaremos esto en más detalle el siguiente capítulo, pero en esencia lo que esto nos está diciendo es que tenemos una lucha entre dos fuerzas, una centrífuga hacia fuera y otra centrípeta hacia dentro.
Teorema de conservación del momento angular.
Y, para concluir con el equipo, nuestra reflexión estrella de este capítulo: el momento angular se conserva siempre que la energía potencial no dependa del ángulo.

Como habréis notado, ninguna de las energías potenciales con las que hemos tratado hasta ahora dependían del ángulo, eran energías potenciales centrales, con simetría esférica. Esto significa que todas las energías potenciales que hemos visto preservan el momento angular, y que todas las fuerzas centrales en general lo hacen.
El momento angular es, por tanto, un pilar al trabajar con rotaciones y fuerzas centrales, ya que siempre se conserva al igual que la energía. Si un cuerpo gira y no se ve afectado por fuerzas externas, seguirá girando por siempre. Y si una parte de un cuerpo en reposo comienza a girar en un sentido, otra tendrá que girar en el contrario, esté donde esté. Este es el curioso motivo por el cual, si sentados en una silla giratoria giramos la parte de arriba del tronco hacia un lado, nuestro cuerpo y la silla comienzan a girar hacia el contrario. En el caso de que giremos la silla en sí, será esta la que induzca un giro en sentido contrario sobre las partículas del suelo.
Teorema de conservación de la energía.
Al principio del capítulo anticipé que todo lo que íbamos a exponer estaba relacionado con la conservación de la energía, y ahora veremos en qué sentido a modo de cierre.
Cuando la energía potencial depende de las coordenadas del espacio todo nuestro modelo está blindado para que se conserve la energía. Es una consecuencia inevitable de que se verifiquen las ecuaciones de Hamilton, las cuales conllevan la conservación de la energía.
Ahora bien, podría suceder que nuestra energía potencial dependiese explícitamente del tiempo, teniéndolo como variable. En dicho caso, existiría un momento temporal pt que cumpliría:

¿Y qué magnitud podría dejar de conservarse en este supuesto? Pues la propia energía mecánica, que sería en sí el momento temporal. No obstante, hay un par de puntos frágiles con esta asociación entre el momento temporal y la energía que no escapan al ojo avizor y voy a resolver.
El primer problema tiene que ver con el hecho de que la otra ecuación de Hamilton nos diría que la derivada del tiempo con respecto al tiempo sería idéntica a la derivada de la energía con respecto a la energía, lo cual es cierto, pero además es obvio. ¿Qué sentido tiene relacionar un momento con la derivada del tiempo respecto al tiempo?
El segundo problema, por su parte, está relacionado con el signo negativo de la ecuación. Si la energía potencial varía con el tiempo, la energía mecánica debe crecer con él, no reducirse. ¿Qué pinta ese signo negativo ahí?
Desde el punto de vista de la mecánica clásica, podemos decir que tiene sentido hablar del momento temporal en tanto que en algún problema podemos toparnos con una energía temporal que dependa del tiempo. Para que eso suceda, necesariamente tiene que estar definida de forma poco elegante, ya que se estará considerando interno o externo un sistema que debería ser analizado con cuidado, y además dicha energía potencial siempre podría ser expresada en términos de coordenadas.
Si, por ejemplo, tenemos una energía potencial que se reduce con el tiempo, y con ella estamos representando que un sistema externo aporta energía de forma constante, dicho sistema externo tendrá una energía potencial normal dependiente de coordenadas que esté produciendo ese efecto. Si la energía potencial depende del tiempo, estamos obviando física del sistema.
La cuestión del signo negativo se arregla de un plumazo con el siguiente razonamiento. Lo que Hamilton nos dice es que tiene que existir un momento temporal que se conserva si la energía potencial es negativa. Ciertamente este pt que hemos escrito se comportaría al revés que la energía habitual, pero si este pt es constante la energía mecánica, que es su opuesta, también lo será. Con lo cual, la constancia de uno conlleva la constancia del otro.
Ambas cuestiones adquieren matices diferentes en física relativista, donde el tiempo es una coordenada espacio-temporal más dependiente del observador. Dado que existirán diferentes tiempos, tendrá todo el sentido hablar de las derivadas de unos con respecto a otros, las cuales definirán momentos temporales de interés. Además, en relatividad el tiempo suele aparecer en las ecuaciones con el signo opuesto al espacio, y el modelo de Hamilton pertinente plantearía esta ecuación con el esperado signo positivo. Pero estas cosas las comentaremos mucho más adelante.
En el próximo capítulo hablaremos sobre las implicaciones físicas de la conservación del momento angular, estando entre ellas el hecho de que al girar en un tiovivo salgamos despedidos hacia fuera si se rompe. Posteriormente, al fin, analizaremos las órbitas planetarias y de los átomos combinando este efecto con la gravedad y la electrostática, respectivamente.
ACTIVIDADES PROPUESTAS
1. Repite el problema de los discos de hockey para el caso en el que el disco en reposo sale despedido con 40º en lugar de 45º. Compara conclusiones.
2. Calcula el momento angular de la Tierra con respecto al Sol con los datos del capítulo anterior. Después calcula de nuevo la energía rotacional a partir del momento angular y comprueba que coinciden los resultados.
Categorías:Blog, Docencia, Estudiar Física de Bachillerato, Física







