3. TEORÍA DE CAMPOS BIDIMENSIONAL
3.1. El gradiente
3.2. Las fuerzas centrales
3.3. Las rotaciones
3.4. Los momentos físicos
3.5. La fuerza centrífuga
Energía rotacional.
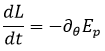
En el capítulo anterior presentamos el momento angular L, y aprendimos las tres formas más habituales de escribirlo, especificando que la tercera es la más desagradable a este nivel:

A mayores, explicamos que el momento angular se conserva siempre que las energías potenciales tengan simetría esférica o, dicho de otro modo, sean centrales y solo dependan de r en coordenadas polares, ya que el momento angular solo varía si la energía potencial depende del ángulo θ:

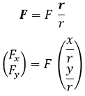
Existe otra forma más fea de demostrar que el momento angular se conserva si las fuerzas son centrales, la cual requiere de la tercera forma de expresar el momento angular. Si la energía potencial es central, la fuerza que produce era proporcional a la posición r del siguiente modo:

Y, a partir de esta consideración, derivando y teniendo en cuenta la regla de la derivada del producto obtenemos:

De este modo queda demostrado que si la fuerza es central, entonces el momento angular se conserva.
¿Y para qué queremos todo esto? Pues para tratar en este capítulo en detalle la energía rotacional y el clásico problema para distinguir el concepto de fuerza centrípeta del de fuerza centrífuga.
Energía potencial rotacional.
La energía cinética de rotación, o rotacional, podemos escribirla de tres formas diferentes:


Energía rotacional frente a distancia para un cierto valor de L^2/m.
La última expresión, en términos del momento angular, está hamiltonizada, al depender tan solo del momento angular y de la coordenada r. Al hamiltonizar una expresión de este modo, si además se da el caso de que el momento angular sea constante, sucede algo peculiar: la energía rotacional puede pasar a ser interpretada como una energía potencial, ya que no aparece ninguna velocidad en su expresión. Y si la energía rotacional actúa como energía potencial, eso implica que debe de existir una fuerza asociada. A dicha fuerza la denominamos fuerza centrífuga, y siempre empuja hacia fuera, ya que la energía rotacional se reduce cuanto mayor es la distancia:

Si nos quedamos tan solo con el módulo:

Esta fuerza, que como decíamos siempre empuja a los cuerpos a alejarse de su eje de giro, es una fuerza central más, pero de naturaleza en apariencia diferente a las demás.
Mientras que la fuerza gravitatoria o la electrostática son consecuencia de un campo que las produce, la energía rotacional no tiene algo equivalente a un campo de rotación detrás de ella. En efecto, no es más que una energía cinética de rotación matemáticamente trucada para comportarse como una energía potencial. Cuando dos cargas se atraen, realmente hay una fuerza desviándolas, pero en el caso de la fuerza centrífuga la fuerza es frecuentemente caracterizada como ficticia. Si un cuerpo está girando, su tendencia natural le llevará a moverse en línea recta, y por tanto a salirse de la órbita de giro. Lo que nosotros llamamos fuerza centrífuga es esa tendencia que tienen los cuerpos a alejarse de la órbita circular perfecta, cuando en realidad lo que requiere de una fuerza es exactamente lo contrario: que se forme una órbita circular. Basta con pensar en que los cuerpos simplemente están conservando su momento lineal cuando salen disparados de su órbita para que deje de ser necesaria una fuerza que explique en fenómeno.
Puede parecer muy abstracto esto de que una energía sea cinética o potencial según cómo la enfoquemos matemáticamente, pero en realidad no es más que un aperitivo teórico. En el siglo XX Einstein, con su teoría de la relatividad general, mostró que de hecho todas las energías potenciales en general y sus fuerzas asociadas se pueden interpretar como ficticias bajo la hipótesis de que todos los cuerpos se mueven siempre en línea recta y es el espacio-tiempo el que se deforma.
Fuerza centrífuga y fuerza centrípeta.
Tal y como acabamos de explicar, la tendencia natural de los cuerpos les lleva a abandonar las órbitas circulares en cuanto pueden para comenzar a moverse en línea recta. Para que la órbita circular se mantenga es necesaria una fuerza que la provoque tirando hacia dentro, y entonces hablamos de una fuerza centrípeta.
Para que la órbita circular se mantenga perfectamente estable es necesario, a su vez, que la fuerza centrípeta hacia dentro y la centrífuga hacia fuera sean iguales, lo que en general lleva a la siguiente igualdad:

Y este es el origen de todos los males, ya que en movimientos circulares la fuerza centrípeta hacia dentro se iguala con la centrífuga hacia fuera. Pero la fórmula de la derecha es explícitamente la de la fuerza centrífuga. Con lo cual, cada vez que queremos calcular la fuerza centrípeta en un movimiento circular y usamos la fórmula de la derecha estamos obviando información: no es que la fuerza centrípeta se calcule así, sino que en este caso concreto es igual a otra fuerza que sí se calcula de ese modo.
En particular, la aceleración centrípeta hacia dentro de la curva, que ya vimos en el capítulo sobre rotaciones, se calcula en base a esto y es contraria a la fuerza centrífuga.
El resumen diría que es bastante claro: si hablamos de una fuerza o aceleración que apunta hacia dentro de la órbita es centrípeta, y si apunta hacia fuera es centrífuga.
Resolvamos un problema con ambos conceptos para afianzar.
Un astronauta está pegado a la pared exterior de una nave espacial cilíndrica que rota en torno a su eje. La nave tiene un radio de 10 m, el astronauta una masa de 70 kg, y la nave gira con una frecuencia suficiente para que la aceleración centrífuga en su extremo valga lo mismo que g sobre la superficie de la Tierra.
a) Calcula cuál es la velocidad angular de la nave.
b) Calcula cuál es la velocidad a la que esta girando el astronauta.
c) Calcula el momento angular del astronauta.
d) Calcula la energía rotacional del astronauta.
e) Calcula la fuerza centrípeta que está ejerciendo el cable de unión con el astronauta para que este no salga despedido por la fuerza centrífuga.
f) Calcula, si el cable se rompe, con qué velocidad llegará el astronauta hasta el infinito, teniendo en cuenta que la energía rotacional se convertirá en cinética radial hacia fuera. Justifica el resultado.
g) Explica la forma que tendrá su trayectoria.Los apartados desde el a hasta el f se pueden calcular por simple aplicación de fórmulas:
¿Cómo es posible que el astronauta llegue al infinito con la misma velocidad con la que salió despedido si la energía potencial se ha ido disminuyendo por alejarse del eje de giro? Como decíamos, la fuerza centrífuga es ficticia. En realidad el astronauta si se rompe el cable simplemente se mueve en línea recta conservando su velocidad. Lo único sucede es que dicha velocidad va pasando de ser de giro (dirección angular) a ser completamente radial (hacia fuera de la nave). La trayectoria que ha descrito el astronauta es, por supuesto, recta.
Teorema de conservación de la velocidad areolar.

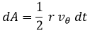
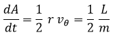
Esquema de la fórmula de la velocidad areolar. Los dos puntos están a una distancia r. El punto de arriba a la derecha se desplaza perpendicularmente un tramo igual a vθ*dt. El área del triángulo que forman es la que nos interesa.
Cuando un cuerpo se mueve a cierta distancia del origen de coordenadas, existe un concepto peculiar denominado velocidad areolar que ha tenido históricamente su interés astronómico. El término «areolar» procede de la palabra «área», y realmente pretende medir un concepto de superficie recorrida por segundo.
Supongamos que una estrella, por ejemplo, está a una distancia r de nosotros, y se mueve con una velocidad de giro vθ. Tras desplazarse un cierto instante dt, podemos formar un triángulo que una su posición anterior, su posición tras ese desplazamiento y nuestra propia posición. Un triángulo cuya base sería r y cuya altura, más o menos, vθ*dt. De modo que aplicando que el área de un triángulo es la mitad de su base por su altura podríamos decir que el diferencial de área es:

Y, tras manipular la expresión un poco, podemos llegar a que:

De modo que si el momento angular es constante porque sobre la estrella estén actuando fuerzas centrales la velocidad areolar, al igual que el momento angular, se conserva. La velocidad areolar y el momento angular son dos magnitudes que van de la mano porque son proporcionales, y por tanto conocer uno supone conocer la otra (siempre y cuando se conozca también la masa del cuerpo). El único motivo por el que se sigue hablando de velocidades areolares a día de hoy es porque los astrónomos detectaron su constancia antes de que se desarrollase el concepto de momento angular.
En el próximo capítulo, por fin, analizaremos las órbitas gravitatorias de los astros y las electrostáticas de los átomos, y analizaremos las tres leyes de Kepler de los movimientos planetarios en el sistema solar, generalizándolas a otros casos de interés. También calcularemos el tamaño del átomo conociendo su energía.
ACTIVIDADES PROPUESTAS
1. Una montaña rusa tiene una espiral en la que los pasajeros van a quedar boca abajo al pasar por su punto más alto. Para evitar que se caigan, además de las barras se intenta que la fuerza centrífuga hacia arriba contrarreste la gravedad, de forma que no solo la anule sino que los pasajeros sientan que el suelo está hacia arriba. Es decir, se busca que la aceleración centrífuga sea igual a 2*g. Si el radio de la espiral es de 4 m, ¿con qué velocidad debe atravesarla el vagón de la atracción?
2. Estamos preparando un batido con una batidora, y para ello empleamos un recipiente cilíndrico de radio 3 cm. La batidora agita todo a razón de 20 vueltas por segundo. En cierto instante, el recipiente se rompe y por un lateral sale disparado todo el batido.
a) ¿Con qué velocidad sale disparado?
b) Si una gota de batido de las que salen despedidas tiene 1 g de masa, ¿cuál es su momento angular y su energía rotacional en el momento que se rompe el recipiente?
c) Si la batidora está a una altura de 0,8 m sobre el suelo, ¿con qué velocidad llegará al suelo la gota? Considera que actúa la gravedad de Galileo.
3. Un cuerpo sometido a una fuerza central se encuentra a 7 km de su centro de giro, y posee una velocidad de giro de 70 m/s. ¿Cuál es su velocidad areolar? ¿Será constante?
Categorías:Blog, Cosmología, Docencia, Estudiar Física de Bachillerato, Física

