Blog

Estudiar Física de Bachillerato (34): El modelo estándar

7. FENÓMENOS CUÁNTICOS

7.1. La estructura atómica
7.2. El principio de incertidumbre
7.3. El modelo estándar

Bosones.

En los dos capítulos anteriores analizamos cómo se produjo el descubrimiento de las primeras partículas y, a su vez, cómo se establecieron las primeras leyes cuánticas acerca de su comportamiento. En esta ocasión, completaremos todo el zoo de partículas que elementales que conocemos, llegando así a una explicación superficial del modelo estándar de la física de partículas, con sus características más relevantes (y muy resumidas, ya que hay muchísimo para contar tras cada detalle).

Antes de que en Copenhague se estableciese la interpretación probabilista de la mecánica cuántica, diversos científicos intentaron analizar sus propiedades de forma estadística, siguiendo con el enfoque de Boltzmann.

Por un lado, Satyendra Bose y Einstein, analizando las propiedades de los fotones, llegaron a la conclusión de que dos fotones cualesquiera con la misma frecuencia y sentido de propagación eran indistinguibles, a excepción del sentido de giro del campo eléctrico que involucrasen a gran escala. A este sentido de giro de las partículas se le suele denominar espín,  y en cierto modo mide el momento angular de una partícula con respecto a sí misma, y esta es una cuestión muy importante acerca de las mismas que ha traído de cabeza a montones de físicos durante el último siglo. ¿Con respecto a qué giran las partículas que tienen espín? ¿Giran en absoluto, o es una simple analogía incorrecta? Volveremos sobre esta cuestión en el siguiente capítulo, para ver cómo la analiza la teoría de cuerdas, pero la respuesta estándar es que no hay una explicación fundamental del concepto de espín.

El espín de las partículas suele ser un múltiplo entero o semientero (dividido por 2) de la constante de Planck barrada, y los fotones tienen espín 1, lo que significa que en su caso es exactamente igual a dicha constante.

Bose y Einstein, teniendo estas ideas en cuenta, llegaron a dos cuestiones importantes:

  • Es imposible distinguir dos fotones con la misma frecuencia y sentido de propagación, resultando idénticos.
  • Dos o más fotones idénticos pueden existir en el mismo lugar a la vez, formando al aglomerarse lo que hoy llamamos un condensado de Bose-Einstein.

En resumen, para los fotones era posible agruparse y actuar como un único gran fotón sin ningún tipo de problema, y de hecho tenían cierta tendencia hacia ello si era necesario para minimizar la energía del sistema. A las partículas con estas propiedades a día de hoy las llamamos bosones.

Fermiones.

En contraposición a los bosones, el físico Wolfgang Pauli verificó años después que otras partículas como el electrón no podían producir condensados, sino que si se intentaban juntar con las mismas propiedades se generaba una gran repulsión no electrostática. A esta imposibilidad de juntar dos electrones con el mismo espín y estado energético se la conoce como principio de exclusión de PauliUn año después, los físicos Enrico Fermi y Paul Dirac analizarían la forma estadística de trabajar con estas partículas, denominadas fermiones.

Más de una década después, con nuevas partículas descubiertas, Pauli llegaría a la inevitable conclusión de que la naturaleza estadística de las partículas venía indicada por su espín, de modo que los bosones siempre tendrían espín entero (0, 1, 2, 3…) y los fermiones semientero (1/2, 3/2, 5/2…). Una relación conocida como teorema espín-estadística.

Antipartículas.

Dirac, además de interesarse por las propiedades de los fermiones, también estuvo muy intrigado por los principios matemáticos de la mecánica cuántica. Uno de sus grandes logros en este sentido fue establecer un modo de formularla que involucraba simultáneamente la función de onda de Schrödinger y las ecuaciones de Heisenberg. Dicho método se conoce como la formulación matricial de Dirac.

Pero su principal aporte fue de una naturaleza un poco diferente. Dirac se había dado cuenta de que la ecuación de Schrödinger era no relativista, en tanto que consideraba pequeñas velocidades en comparación con la de la luz, y además describía bosones de espín 0. Esto le llevó acertadamente a intentar dar con un modelo más elegante y obtuvo así una ecuación relativista para fermiones de espín 1/2 como el electrón, a la cual hoy llamamos ecuación de Dirac. En dicha ecuación se ponía de manifiesto un sentido de la elegancia tan llamativo como el que una década antes había llevado a Einstein a formular la teoría general de la relatividad.

Sin embargo, Dirac se dio cuenta también de que su ecuación parecía involucrar la posibilidad de que existiesen partículas con energía negativa, a las cuales él comenzó a llamar agujeros. A su modo de ver, al combinar su ecuación con el principio de mínima energía todos los electrones tenderían a convertirse en agujeros, y el resultado sería que no habría materia, ya que la cantidad de agujeros disponibles siempre sería infinita.

Esta paradoja la resolvió mediante su modelo rocambolesco conocido como mar de Dirac, según el cual el vacío estaba lleno de infinitos huecos ya ocupados (dos fermiones no pueden compartir el mismo estado), y los electrones solo podían convertirse en huecos cuando alguno de ellos quedaba libre. Cuando un hueco quedaba libre, este provocaba que un electrón desapareciese y liberase energía.

Si bien el mar de Dirac resultó ser un modelo erróneo, resultó ser la predicción de las antipartículas, partículas gemelas de todas las que consideramos partículas del modelo estándar que tienen carga y espín opuesto a sus originales. Hoy sabemos que cuando un electrón se junta con un antielectrón, también denominado positrón, ambos desaparecen y dan lugar a un fotón con la suma de sus energías. ¿Cómo sucede esto? Pues la primera interacción del modelo estándar nos lo explica.

Electrodinámica cuántica.

Durante los años cuarenta, el célebre Richard Feynman se dio cuenta de que este proceso vaticinado por Dirac constituía la base de las interacciones electrodinámicas a nivel cuántico, y lo llamó vértice electromagnético. Un vértice electromagnético era, a su modo de ver, un lugar del espacio-tiempo donde un fermión con carga «llegaba», producía un fotón y «salía». Indico los verbos «llegar» y «salir» porque en este contexto no tienen su significa habitual, y aquí radica parte de la magia del modelo.

Si un fermión llega al vértice desde el pasado, es una partícula normal, pero si llega desde el futuro es una antipartícula. Sucede lo contrario con las salidas: si un fermión sale hacia el futuro es una partícula normal, pero si sale hacia el pasado se trata de una antipartícula. Los fotones siempre son fotones, ya que son sus propias antipartículas.

De este modo, un electrón que llega hasta un vértice, emite un fotón y sale hacia el pasado debe ser reinterpretado como un par electrón-positrón que se encuentran en dicho vértice y se aniquilan emitiendo un fotón. Según la orientación del tiempo, podemos encontrarnos muchos procesos diferentes para el mismo vértice.

Sin embargo, las ecuaciones llevaban a la ineludible conclusión de que los vértices electromagnéticos no eran compatibles con la conservación simultánea de la energía y del momento (o de todos los momentos en general, si consideramos la energía como el momento temporal). De modo que para que un proceso fuese viable debía de involucrar al menos dos vértices, de modo que el segundo anulase los efectos «imposibles» o virtuales del primero. Pero, ¿cómo es posible que se considere como válido el tramo entre ambos vértices, donde los teoremas de conservación fallan? Pues gracias al principio de incertidumbre.

El error en la energía al medir una interacción es inversamente proporcional al error en la medición del tiempo, con lo cual un fotón virtual puede propagarse desde un vértice hasta otro siempre y cuando la distancia que los separe sea menor que la que puede recorrer el fotón a la velocidad de la luz en ese tiempo:

Error Energía.PNG

En resumen, la energía se puede violar instantáneamente siempre que el error en esta sea, como mucho, el que permita el error en el tiempo. Una simplificación que nos permite llegar a la conclusión de que la energía electrostática entre dos cargas está más indefinida cuanto más próximas estén, y debemos reinterpretar así los concepto clásico de campo. Lo que en un contexto clásico llamábamos energía potencial, en la teoría cuántica de campos debe leerse como la cantidad de energía promedio que es arrastrada por partículas virtuales indetectables en un instante dado. Y el hecho de que estas partículas se muevan a la velocidad de la luz hace que la energía potencial clásica decaiga de forma inversamente proporcional a la distancia. Una propiedad que, en principio, es común con la gravedad.

Dentro del marco de la electrodinámica cuántica, por tanto, todos los procesos se llevan a cabo a través de vértices «imposibles» en un sentido clásico, y el principio de incertidumbre deja de consistir en una lacra, pasando a a ser el único modo de que todas las interacciones sean posibles.

Veámoslo así. Supongamos que tenemos una carga  eléctrica quieta que crea a su alrededor un campo electrostático, el cual en última instancia está compuesto por fotones. Si todos estos fotones fuesen reales y observables, la carga estaría liberando energía. Sin embargo no lo hace, con lo que dichos fotones no son observables. Al añadir una segunda carga opuesta, se produce una atracción, y es entonces cuando todos esos fotones flotando por el vacío pueden tener un efecto real y transportar energía. En suma, necesitamos dos vértices para poder tener procesos observables. Además, cuando las cargas se junten podrán quedar en reposo porque todos los fotones reales se habrán llevado la energía lejos.

Cuando los fotones son virtuales y no hay segundo vértice, tenemos un campo electrostático. Por el contrario, cuando transmiten energía son reales y se convierten en ondas electromagnéticas con energía a gran escala. Es por este motivo que siempre que hay una fuerza electrostática entre cargas que las acelera se libera radiación. Y podemos ver así que la mecánica cuántica dispone de sus propios elementos interesantes que nos sirven para comprender de forma diferente la realidad a la que estamos acostumbrados.

Desintegraciones nucleares.

Gracias al trabajo de Becquerel y los Curie, junto con los aportes cruciales de Frederick Soddy y Kazimierz Fajans, a finales de los años veinte se conocían tres tipos de radiación diferentes, que fueron nombradas según el alfabeto griego:

  • Desintegración alfa (α): En ella un núcleo con P protones y N neutrones se fragmenta dando lugar a un núcleo con P-2 protones y N-2 neutrones, y un núcleo de helio con 2 protones y 2 neutrones. Los núcleos de helio, denominados partículas alfa, se descubrieron como partículas cargadas que podían ser desviadas por campos magnéticos.
  • Desintegración beta – (β-): En ella un núcleo con P protones y N neutrones transmuta dando lugar a un núcleo con P+1 protones y N-1 neutrones, y se libera una partícula beta –, que a día de hoy sabemos que es un electrón.
  • Desintegración beta + (β+): Contraria a la anterior, en ella un núcleo con P protones y N neutrones transmuta dando lugar a un núcleo con P-1 protones y N+1 neutrones, y se libera una partícula beta +, también llamada antielectrón o positrón.
  • Desintegración gamma (γ): La más simple de todas, pues en ella un núcleo libera partículas gamma, o fotones, y a cambio modifica su momento angular y su energía.

Las desintegraciones gamma representan interacciones electromagnéticas, ya que median fotones en su desarrollo. Las desintegraciones alfa y beta, por su parte, son características de interacciones nucleares fuertes y débiles, respectivamente.

Todos estos procesos tienen en común que se fundamentan en el intento de reducir la energía total de los núcleos originales, a los que denominamos núcleos padre, en contraposición a los resultantes, a los que denominamos núcleos hijoEn el caso de la desintegración gamma, la energía se reduce perdiendo energía rotacional de los núcleos. En las otras dos, por su parte, la energía liberada procede de la masa, en sentido relativista. Podemos establecer así que si un núcleo se desintegra para dar lugar a otros, necesariamente su masa era mayor que la suma de aquellos que produce.

Los núcleos se pueden caracterizar por su cantidad de protones P, su cantidad de neutrones N y su cantidad de electrones E, pero es más frecuente describirlos en términos de otros tres números más útiles:

  • Número atómico Z: indica la cantidad de protones que hay en un núcleo y fija el nombre de este. Durante casi un siglo se pensó que este número no podía alterarse, pero las desintegraciones beta demostraron que su conservación era falsa.
  • Número másico A: indica la suma de la cantidad de protones y neutrones que hay en un núcleo. Para su cómputo en general, no se tienen en cuenta los electrones, ya que como vimos en su momento su masa es muchísimo menor. Su valor se conserva siempre durante una desintegración nuclear básica, aunque como veremos en el caso general, procede redefinirlo.
  • Número de carga Q: indica la carga eléctrica neta, en múltiplos de la carga del protón. De este modo, cada protón contribuiría con un +1 y cada electrón con un -1, por ejemplo.

Un átomo X se representa, por tanto, del siguiente modo:

Núcleo.PNG

Y podemos representar algunas de las partículas que ya hemos visto, como el electrón, el fotón, el protón, el neutrón, el antielectrón y la alfa del siguiente modo:

Partículas.PNG

Es importante notar que el antielectrón se representa con una barra encima de su nombre. Y teniendo esto en cuenta podemos representar las desintegraciones alfa y gamma, por ejemplo, como:

Desintegraciones Alfa Gamma

Como se puede observar, en la desintegración alfa el núcleo cambia de nombre a Y porque el número de protones es diferente, mientras que en la gamma el nombre se mantiene.

Interacción nuclear débil.

Las desintegraciones beta supusieron una gran sorpresa en la comunidad científica por diversos motivos. El principal, que en ellas los neutrones se convertían en protones (beta -) o los protones se convertían en neutrones (beta +). Un fenómeno que no tenía explicación en términos gravitatorios ni electromagnéticos. En segundo lugar, la energía parecía no conservarse. Por ejemplo, al convertirse un neutrón en un protón, entre el protón y el electrón resultante, junto con sus energías cinéticas, no sumaban toda la masa del neutrón.

Midiendo las energías en electrónvoltios (eV) o, más acertadamente, en megaelectrónvoltios (MeV), la energía debida a la masa del neutrón es de 939,565 MeV, la del protón es de 938,272 MeV y la del electrón es 0,511 MeV. Como se puede verificar llevando a cabo una simple resta, la energía del neutrón suma 0,782 MeV de más. Y esta energía a veces era más o menos la que sumaban las energías cinéticas del protón y el electrón, pero muchas otras veces no. Algo fallaba.

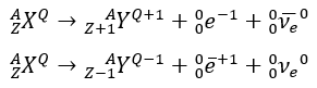
Pauli propuso la hipótesis de que toda esa energía se la llevaba una partícula indetectable llamada neutrino, la cual por conservación de la carga debería ser neutra y por conservación del espín debería ser un fermión de espín 1/2, al igual que el electrón, el protón y el neutrón. El nombre neutrino hace referencia, por su puesto, a que su carga es neutra y es pequeña (en el sentido de indetectable). Durante los años treinta, la existencia de dicha partícula pudo ser confirmada al conseguir que interaccionase con otro núcleo tras ser emitida. Su antipartícula, el antineutrino, también existía, y daban lugar respectivamente a las siguientes desintegraciones beta – y +:

Desintegraciones Beta.PNG

Como se puede apreciar, de este modo se conservaban siempre el número másico y la carga, además de los momentos. Pero surgían, además, otras cuestiones interesantes, como por ejemplo el hecho de que los electrones surgían acompañados de antineutrinos y los antielectrones de neutrinos. Esta observación, realizada a mitad del siglo XX por Clyde Cowan y Frederick Reines, llevó a la definición del número leptónico.

El electrón y el neutrino serían, desde entonces, leptones, y el antielectrón y el antineutrino antileptones. Los leptones tendrían número leptónico +1 y los antileptones número leptónico -1, con lo que, en suma, se podía establecer que en todas las reacciones se conservaba el número leptónico. Por ese motivo un leptón siempre debía ser producido junto a un antileptón. Un concepto análogo, el número hadrónico, surgió en relación al protón, el neutrón, y sus antipartículas: el antiprotón y el antineutrón.

Otro término relacionado con este concepto es el de sabor (que no tiene nada que ver con el significado habitual). El electrón y el neutrino son los distintos sabores de los leptones, y el protón y el neutrón los distintos sabores de los nucleones (no hadrones, sobre los cuales profundizaremos pronto). El sabor supone, a efectos prácticos, la carga nuclear débil. Del mismo modo que las cargas gravitatorias (masas) dan lugar a la interacción gravitatoria y las cargas eléctricas dan lugar a la electromagnética, la carga de sabor conlleva interacciones débiles.

Y, si nos fijamos, las desintegraciones beta se pueden resumir como procesos donde un nucleón cambia su sabor a costa de producir dos leptones con sabores y número leptónico opuestos de forma que conserven la carga:

Desintegraciones Beta 2.PNG

La segunda desintegración, no obstante, nunca sucede con protones libres, ya que su energía es insuficiente para producir un neutrón. De este modo, aunque la desintegración beta –  se produce de forma espontánea con neutrones y por tanto no pueden ser encontrados sueltos fuera del núcleo, el protón permanece estable hasta donde sabemos. Para que un neutrón de lugar a un proceso beta -, es necesario que esté dentro de un núcleo y los nucleones que lo acompañan contribuyan al proceso.

A mediados del siglo XX, varios físicos investigaban cómo era posible que estas desintegraciones tuviesen lugar, y llegaron a la conclusión de que tenían que existir bosones mediadores de la interacción débil, a los que bautizaron como W (por «weak» en inglés). Estos bosones no tienen ningún otro nombre, y en efecto llamarles bosones «weak» sería raro entre físicos. Algunos vértices débiles, sin números estorbando, son los siguientes:

Vértices Débiles.PNG

El primero, junto con el tercero, dan lugar a la desintegración beta -, y el segundo y el cuarto a la beta +.

Las partículas W+ y W- son, recíprocamente, sus antipartículas, y tienen energías debidas a su masa de 80,4 GeV, unas noventa veces superior a la del neutrón y el protón.  Es por este motivo que las violaciones de la conservación de la energía que requiere su producción debidas al principio de incertidumbre son muy elevadas, lo que se traduce en que la vida media de ambas partículas sea imperceptible. Además, es tan complicado que se produzcan que la interacción que conlleva, la débil, es precisamente débil por ello. Su espín, por otra parte, es de 1.

El físico Steven Weinberg además, formulando su modelo matemático, se dio cuenta de que la consistencia matemática requería de otra partícula bosónica, a la que denominamos Z, la cual carecería de carga y tendría una masa de 91,2 GeV. Esta partícula podría ser emitida y absorbida por cualquier otra con sabor, pero no tiene asociado ningún proceso característico a gran escala.

Tanto las partículas W como la Z fueron descubiertas a comienzos de los años ochenta en el Super Proton Synchrotron (SPS), uno de los primeros aceleradores construidos por el CERN (Centro Europeo para la Investigación Nuclear en español) en Ginebra, dando un gran respaldo a todo el desarrollo realizado las décadas anteriores a la teoría cuántica de las interacciones.

Interacción nuclear fuerte.

La interacción débil fue la explicación correcta a las desintegraciones beta, pero no nos decía nada en absoluto acerca de lo que sucedía en las alfa. Estas requerían del nacimiento de la física nuclear fuerte, centrada en el análisis de qué llevaba a los protones a estar juntos en el núcleo pese a tener la misma carga, y en qué sentido los neutrones hacían de pegamento nuclear.

El físico Hideki Yukawa planteó en los años treinta la posibilidad de que estos procesos estuviesen mediados por bosones con masas de algunas centenas de MeV, lo que llevó al descubrimiento de los mesones (cuyo nombre significa, del griego, intermediadores). Sin embargo, pronto comenzaron a aparecer más partículas mediadoras de las esperadas, e incluso algunos hadrones que no eran ni el protón ni el neutrón.

Tras establecer una clasificación de hadrones y mesones, el físico Murray Gell-Man propuso a mediados del siglo XX la teoría de que parecía que todos ellos estaban constituidos en realidad por partículas más elementales a las que denominó quarks. Este modelo podía explicar de forma satisfactoria por qué, por ejemplo, los protones y los neutrones podían responder de formas muy dispares a su interacción con partículas externas.

Sirva como resumen que al introducirse los quarks con sus dos sabores, el up y el down (fermiones de espín 1/2 con masas unas diez veces superiores a la del electrón, siendo mayor la del down) podía pensarse en el protón como un compuesto de dos up y un down, y en el neutrón como un compuesto de dos down y un up. Para que esto encajase, el quark up tenía que tener Q=2/3 y el down Q=-2/3.

Desde que existe el modelo de quarks, las partículas fermiónicas elementales son los quarks y los leptones. Los hadrones siempre serían conjuntos diferentes de tres quarks (existiendo el uuu, el uud (protón), el udd (neutrón) y el ddd) y los mesones serían conjuntos de un quark y un antiquark.  Por supuesto, existirían también los antihadrones, consistentes en la unión de tres antiquarks. Lo relevante es que los mesones de Yukawa eran bosones, pero por ser la unión de dos fermiones de espín semientero.

¿Pero por qué estas combinaciones y no otras? ¿Y si los mesones estaban compuestos de quarks, qué pasaba con los bosones mediadores? En los años setenta, David Gross y Frank Wilczek respondieron a esta pregunta de un modo muy elegante.

Ellos definieron la carga nuclear fuerte o carga de color, según la cual cada quark puede tener tres colores diferentes (sin cambiar por ello de sabor, y de nuevo sin hablar del concepto de color habitual) y cada antiquark los tres anticolores correspondientes. Como sucede con los círculos cromáticos usuales, la suma de tres colores diferentes daría como resultado blanco, la de tres anticolores lo mismo, y la unión de un color con su anticolor también tendría el mismo resultado. Quedaban así caracterizados los hadrones, los antihadrones y los mesones. Dos quarks o antiquarks nunca podrían formar una estructura porque no podrían sumar blanco.

De modo que una de las principales leyes de la interacción nuclear fuerte sería que la suma de colores de todos los componentes de un hadrón o mesón tenía que ser blanca. Los colores, a su vez, podrían ser intercambiados a través de bosones sin masa y de espín 1 llamados gluones (del inglés «glue», en alusión a que hacen de pegamento nuclear). Estos gluones propagarían el color entre los diferentes quarks, y al poseer ellos mismos color, los gluones podrían interactuar entre ellos (una propiedad que no es característica de los fotones ni las partículas de la interacción débil).

La interacción entre los gluones, que pueden dar lugar a más gluones a su vez,  junto con su masa nula, conllevaba un aspecto fundamental de este tipo de interacción, que es su gran fuerza. En particular, habiendo gluones de por medio los efectos de las otras tres interacciones son despreciables.

A esta teoría de la interacción fuerte se la conoce como cromodinámica cuántica, en alusión a la idea de que los colores se mueven entre los quarks. El resumen es que el hecho de que las estructuras tengan que ser blancas obliga a los quarks a unirse formando estructuras mayores con una gran fuerza que hace que a efectos prácticos podamos hablar de los protones y los neutrones como partículas pese a que tengan su composición interna.

Generaciones fermiónicas.

Por motivos todavía desconocidos, sabemos que los quarks y los leptones tienen tres generaciones o familias diferentes, y además que seguramente no sean cuatro o incluso más. Nos referimos aquí por generación a pares de cada tipo con masas diferentes.

En el caso de los leptones, teníamos el electrón y el neutrino electrónico, pero durante el siglo XX se han descubierto también el muón y el neutrino muónico, así como el tauón y el neutrino tauónico. En el de los quarks, además de los up y down, están los charm y strange, y los top y bottom.

Cada generación tiene una masa superior que la anterior, de modo que el muón tiene más energía de masa que el electrón, o el top que el up. Esta regla funciona entre las partículas correspondientes de cada generación: el neutrino tauónico no tiene más masa que el electrón, por ejemplo. De hecho, desconocemos cuáles son las masas de los neutrinos porque son muy pequeñas.

Debido a estas diferencias entre masas, las partículas de las generaciones superiores suelen desintegrarse dando lugar a las de la primera generación, y no es habitual encontrarse tauones o quarks bottom en la naturaleza. Estas desintegraciones suelen ser debidas a la interacción débil, que es la que permite los cambios de sabor. De modo que un muón, por ejemplo, puede dar lugar a un electrón, un antineutrino electrónico y un neutrino muónico.

Fusión y fisión nuclear.

Las desintegraciones nucleares que hemos visto tan solo constituyen una de las muchas formas que tiene de manifestarse la física nuclear, la cual debe ser complementada con otras dos.

En ocasiones, lo que minimiza la energía no es que un núcleo se desintegre dando lugar a otras partículas sino que dos o más núcleos pequeños se junten para dar lugar a uno más grande. En estos casos, hablamos de fusión nuclear, pero es tan complicado conseguir que suceda de forma espontánea por efecto túnel que normalmente es un proceso que solo se produce en las estrellas. De hecho, las estrellas son grandes motores de presión cósmicos que se dedican a coger núcleos pequeños, como los de hidrógeno, para fusionarlos dando lugar a núcleos más grandes, como el hierro, liberando donde el proceso un montón de energía en forma de fotones (cuando las desintegraciones son gamma) y neutrinos (cuando las desintegraciones son beta). Las partículas alfa y beta se consideran parte del combustible estelar, con lo que no computan como partículas radiadas.

El funcionamiento de la fusión estelar suele involucrar muchas cadenas. Por ejemplo, al juntarse dos protones, uno de ellos se convierte en un neutrón mediante un proceso beta + debido al principio de exclusión de Pauli. Al combinarse de este modo dos veces, se forma una partícula alfa. Y así, mediante la conversión progresiva de protones (hidrógeno) en neutrones (beta +) se pueden ir formando cada vez elementos con núcleos más grandes hasta llegar al hierro, el núcleo más estable que conocemos. Si por un casual se formase un núcleo de mayor tamaño, la tendencia sería a que este se desintegrase para dar lugar a hierro de nuevo, que es lo que percibimos en la Tierra: un montón de núcleos pesados radiactivos liberando partículas alfa.

Conseguir realizar fusiones nucleares en la Tierra es una de las grandes metas del progreso tecnológico, ya que los fotones liberados como resultado suelen ser muy energéticos, pero a medida que pasan las décadas no estamos consiguiendo ningún avance.

Por último, faltan los casos intermedios, donde lo idóneo para conseguir una desintegración es realizar previamente una fusión instantánea. A este proceso se le conoce como fisión nuclear, y es lo que solemos emplear en las centrales nucleares para conseguir energía. En ellas, se bombardea con neutrones varios núcleos que, al recibirlos, se vuelven inestables y se desintegran emitiendo los deseados fotones. En estos procesos, es muy importante asegurar que las desintegraciones no provoquen más reacciones en cadena que puedan conllevar una explosión. Las bombas nucleares se basan en lo contrario: conseguir que la activación de un primer núcleo provoque rápidamente la desintegración de todos los que le rodean.

Big Bang.

Cuando Lemaître propuso su teoría del Big Bang, como explicamos en el capítulo anterior, supuso que todo el universo se había originado a partir de la explosión de un átomo primigenio, y esta idea se inspiró en los descubrimientos acerca de radiactividad que se iban realizando durante los años veinte.

Al comienzo del universo, si toda la energía estaba muy concentrada, las partículas individuales se moverían prácticamente a la velocidad de la luz (universo dominado por radiación) y sería como si no tuviesen masa. En esta situación, los electrones que fuesen atraídos por protones podrían escaparse sin problema, describiendo órbitas hiperbólicas, pero a medida que su energía se fuese reduciendo irían siendo atrapados sin remedio.

A mediados del siglo XX, Gamow estimó que debería haber llegado un momento durante el cual los electrones fueron libres por última vez, y después cayeron a los átomos para no volver a escaparse jamás. Dicho instante, la recombinación, habría supuesto el comienzo de la era de la materia, y habría dejado una enorme cantidad de fotones sueltos por el universo incapaces de alejar ningún electrón de su núcleo al interactuar con ellos.

Dicho fondo cósmico de fotones fue descubierto, como ya comentamos, por Penzias y Wilson, y hoy sabemos que debió de producirse unos 300000 años tras el Big Bang. Pero Gamow fue más allá y conjeturó también que cierto tiempo antes habría habido un instante durante el cual los fotones dejaron de ser capaces de romper los núcleos y los neutrinos dejaron de ser capaces de provocar reacciones de fisión beta, la nucleosíntesis. En particular, Gamow supuso que debía existir también un fondo cósmico de neutrinos, los cuales en la actualidad aún no hemos sido capaces de detectar, principalmente porque no disponemos de la siguiente precisión.

Ruptura espontánea de simetría.

Todas las interacciones que hemos visto responden a estructuras matemáticas muy elegantes si suponemos que todas las partículas carecen de masa. Sin embargo, en la realidad resulta que la masa está ahí y no podemos obviarla. Esta tan solo fue nula a efectos prácticos durante el Big Bang, cuando la energía cinética era mucho más relevante que la debida a la masa.

A principios de los años sesenta, el físico Peter Higgs propuso la teoría de que al comienzo del universo la interacción débil no era débil en efecto debido a la irrelevancia de las masas de los bosones W y Z. Sin embargo, a medida que la energía de cada partícula fue siendo menor el excesivo valor de dichas masas supuso un sobrecoste energético para producirlas que relegó a la interacción débil a ser, en efecto, débil.

De este modo, tal y como predecía el modelo de Weinberg y Sheldon Glashow, entre otros, al comienzo del universo la interacción electromagnética y la débil estaban unificadas en la interacción electrodébil, y después esta simetría entre ambas se rompería. ¿Por qué? Fundamentalmente debido a la existencia de un campo extra, el campo de Higgs, con bosones asociados de espín 0, que por cuestiones azarosas dejó de poder interactuar con los fotones. Este campo es actualmente, en la teoría cuántica de campos, el que está asociado con las cargas de masa, midiendo la masa la posibilidad de interactuar con él.

En 2012, el CERN publicó que gracias a su acelerador LHC había descubierto un bosón neutro de espín 0 con una masa de aproximadamente 125 GeV, el cual tenemos muchos motivos para creer que se corresponde con el bosón propuesto por Higgs. Y así quedó cerrado el modelo estándar de la física de partículas. Pero quizás, si la simetría se hubiese roto de un modo diferente, a día de hoy será el electromagnetismo la interacción débil por tener los fotones masa y las partículas Z no.

Teorías de Gran Unificación.

Durante los años setenta, Glashow y Howard Georgi propusieron una extensión del modelo estándar que unificaba el modelo electrodébil con la interacción nuclear fuerte,  la cual se conoce como Teoría de Gran Unificación. Su novedad más importante fue que incorporaba la posibilidad de que los quarks se convirtiesen en leptones, y por minimización de la energía este modelo predecía la desintegración del protón (la estructura de quarks más estable) en positrones. Dicha desintegración nunca ha sido observada, y actualmente la vida media del electrón sabemos que es superior a la edad del universo, con lo que no hay muchas esperanzas de que la lleguemos a ver. Por este motivo, el modelo nunca ha podido ser confirmado.

Pero por supuesto las ideas no se han quedado ahí. Más allá de limitarse a unificar las tres interacciones cuánticas conocidas, la supersimetría propone un mecanismo mediante el cual, con una extremadamente reducida probabilidad, los bosones podrían convertirse en fermiones y viceversa.

Dentro del modelo estándar mínimamente supersimétrico, cada partícula del modelo estándar tendría una supercompañera asociada de masa mayor (para justificar que no se convierta en ella) y espín de diferente naturaleza. Este mecanismo podría resolver varios problemas teóricos de confirmarse algún día. Uno de ellos es que fija una energía en la cual la unificación entre las tres interacciones que hemos visto encajan a la perfección. Otro, que las partículas supersimétricas, concretamente la más ligera de ellas, podría dar cuenta de toda la materia oscura que no observamos en el universo aunque sepamos que no está ahí.

Pero, ¿y cuál es el papel de la gravedad en todo este esquema? En el siguiente capítulo, el último, veremos cómo se intenta encajar con todo esto y los problemas que surgen de ello.

ACTIVIDADES RECOMENDADAS
1. Un núcleo de Uranio (92 protones) se convierte en un núcleo de Torio (90 protones).
a) Identifica el tipo de desintegración que se han producido.
b) Identifica qué partícula o partículas se habrán liberado durante el proceso.
c) Razona si podemos asegurar que el núcleo de Torio pesa menos que el de Uranio.
d) Indica cuál será la relación ente el número de neutrones del núcleo de Torio obtenido y el de Uranio.
2. El carbono-14, que tiene 6 protones y 8 neutrones, se suele desintegrar siguiendo un proceso beta -. Indica:
a) La cantidad de protones y neutrones del núcleo resultante.
b) El nombre del núcleo resultante, ayudándote de una tabla periódica.
c) Las partículas liberadas durante el proceso.
d) Si podemos decir que la masa del carbono-14 es inferior a la masa del núcleo resultante.

3 respuestas »

    • Hola Blas, esto no pretende ser una programación docente. Solo un análisis detallado de los contenidos orientado más bien a autodidactas que se planteen meterse después en la carrera.

  1. Buenos días Adrian,
    Voilà unas lineas para agradecerle los artículos «Estudiar física de Bachillerato».
    Me gusta mucho la forma en la que ha presentado estos temas y reconozco que los ha publicado bastante mas rápido de lo que soy capaz de leerlos y estudiarlos.
    Enhorabuena por esta colección, y como lector, gracias.
    Cordialmente,
    Juan Jiménez

Preguntas, correcciones y debate son bien recibidos.