Los grandes avances en la comprensión de la naturaleza suelen llevar asociados cambios de paradigma, donde una persona plantea un enfoque completamente nuevo a un problema rompiendo con algunos prejuicios de los modelos anteriores pero manteniendo las mismas predicciones ya verificadas. En física teórica los avances solo son relativamente conocidos hasta hace unos 40 años.
En el siglo XVII Johanes Kepler e Isaac Newton matematizaron la naturaleza y nos ayudaron a comprender que esta se comunica con nosotros, a priori, en lenguaje matemático. Si el hecho de que las ecuaciones funcionen o no es un constructo nuestro o algo fundamental es metafísica, pero el hecho relevante es que gracias a ellos se pudo plasmar en ellas el conocimiento científico y dar más sentido al mundo en el que vivimos. La gravitación universal nos ponía en nuestro sitio en el cosmos, liquidando preguntas sin respuesta desde la antigua Grecia e incluso antes.
En el siglo XVIII Benjamin Franklin y Charles Coulomb, entre otros, ayudarían a comprender los fenómenos eléctricos con el concepto de carga, abriendo las puertas al posterior desarrollo de las baterías y la teoría de circuitos eléctricos.
En el siglo XIX James Maxwell se dio cuenta de que la única posibilidad de combinar todas las leyes del electromagnetismo pasaba por suponer que la luz era una onda electromagnética cuya velocidad no dependía del observador que la observase, dando lugar a la idea de que las bases de la mecánica clásica estaban mal.
Gracias al trabajo de Maxwell, Einstein abriría la puerta a principios del siglo XX a la idea de que el tiempo puede depender del observador y el espacio-tiempo está curvado con su teoría de la relatividad. Además, el mismo Einstein abrió la puerta a la física cuántica reinterpretando la ley de Max Planck sobre la luz emitida por estrellas como si estuviese compuesta por fotones. Este segundo aporte, y no el primero, le valió el premio Nobel.
Las dos hijas de Einstein (aunque denominarlas así reste importancia a otros autores), sin embargo, nunca se llevaron bien. La relatividad general es una teoría determinista, en la que conociendo todos los parámetros de un sistema podemos conocer a la perfección cómo evolucionará. La mecánica cuántica, por el contrario, es incapaz de predecir la evolución de todos los parámetros de un sistema, negando algunos autores que existan mientras no son medidos.Sobre las implicaciones conceptuales de la mecánica cuántica hablamos extensamente en la entrada anterior.
El último cambio de paradigma archiconocido llegó de las manos de varios autores jóvenes en los años 70: Stephen Hawking, Jacob Bekenstein, Willian Unruh y otros, cuando descubrieron que el vacío podía tener propiedades diferentes para distintos observadores y debido a este hecho los agujeros negros tenían que radiar. Lo que para un observador no tiene nada, para otro es un estado térmico de partículas sometidas a las leyes de la termodinámica. Sobre esto hablamos hace un par de entradas.
En esta ocasión veremos qué desencadenó en el marco conceptual la radiación de Hawking: el principio holográfico. Para mí, dentro de mi subjetividad, una de las propuestas teóricas más hermosas y desarrolladas del intelecto humano. En 1929 Paul Dirac dijo que su ecuación para la física cuántica tenía que ser cierta «porque era demasiado hermosa para que la naturaleza la hubiera desestimado». Con este principio sucede lo mismo. No sabemos a ciencia cierta que sea correcto, pero hace 20 años que ocupa el podio de la investigación en gravedad cuántica y, de hecho, fue lo que dio el mayor empujón a la famosa teoría de cuerdas (aunque no depende de ella).
Agujeros negros y determinismo en relatividad general:
Como vimos en la entrada sobre órbitas alrededor de agujeros negros, cuando un cuerpo llegaba al horizonte de sucesos su tiempo pasaba infinitamente más despacio que en el exterior. Esto implica que cuando uno atraviesa el horizonte de un agujero negro en principio el universo del que procede ha acabado: ha pasado infinito tiempo mientras caía. Este hecho era el que hacía de los agujeros negros objetos tan especiales y les dio tanta relevancia en la ciencia-ficción. Si uno consigue salir de un agujero negro relativista, no puede aparecer en el universo desde el que entró porque ya no existe.
No obstante, la relatividad general es perfectamente determinista: la trayectoria del cuerpo que cae al agujero negro se puede seguir matemáticamente hasta que llega a la singularidad central, aunque ahí no se sepa qué le sucede.
Agujeros negros y determinismo con gravedad cuántica:
En el momento en el que combinamos la relatividad general con la teoría cuántica de campos los agujeros negros no solo pueden sino que además deben radiar. Más cuanto más pequeños sean. Su temperatura disminuye solo a medida que crecen, mientras que por contrapartida aumentan su entropía.
Sin embargo, dado que radian, contrariamente a lo previsto por la relatividad general los agujeros negros tienden a disminuir su tamaño salvo que se los alimente constantemente con materia nueva.
La termodinámica de agujeros negros surgió porque era necesario asignarles entropía dentro de un marco teórico adecuado: si no la poseían, era posible cargarse la entropía del universo arrojando cosas a un agujero negro.
La paradoja de la información:
La conocida como «Guerra de los agujeros negros» comenzó cuando Hawking empezó a decir que lo que radiaban los agujeros negros era completamente aleatorio, dado que la ley de radiación era de naturaleza no determinista.
Y el lector familiarizado con la física cuántica podría pensar: «tiene sentido, en física cuántica se supone que todo es aleatorio». En principio, podría parecer que los únicos que no tendrían que estar contentos con la conclusión de Hawking serían los físicos que renegasen de las teorías cuánticas.
Sin embargo, había un punto flaco que ponía en jaque los propios conceptos cuánticos básicos: la interpretación de Hawking ni siquiera era respetuosa con el determinismo de la onda de probabilidad.
En mecánica cuántica podrás no saber exactamente las magnitudes de un sistema, pero si conoces su función de onda puedes calcular deterministamente la evolución de esta siguiendo la ecuación de Schrödinger o la que proceda para estimar cómo será dicha función un tiempo después. Es uno de los presupuestos básicos: la función de onda es determinista. Más aún, la función de onda propaga toda la información del sistema cuántico, por lo que no es concebible que sea destructible.
Hawking insistía en que la función de onda de una partícula se descomponía al atravesar el horizonte de sucesos y esta perdía su identidad, contribuyendo simplemente a la masa neta del agujero negro. Después el agujero negro radiaría cosas al azar, no dejando rastro de lo que había entrado en él.
Hay un ejemplo que ilustra bien el problema. Hasta la la llegada de Hawking se daba por hecho que un agujero negro era como una caja fuerte sin llave: había cosas guardadas en él pero no había forma de sacarlas fuera o saber cuáles eran. Con la llegada de Hawking la caja fuerte directamente desaparece. Cuando el agujero negro se evapora no quedaría ni rastro de todo lo que un día entró en él y la radiación liberada sería información nueva.
Una locura.
La paradoja mayor:
Pensando en estas cosas, al físico de cuerdas Leonard Susskind le dio por pensar en algún absurdo al que se llegase con todo este asunto donde cada cosa parecía tener menos sentido que la anterior.
En la teoría de Hawking, la radiación térmica solo era percibida por un observador externo al agujero negro debido al principio de equivalencia de la relatividad general: un observador en un espacio-tiempo curvado no puede percibirlo en su entorno. Dado que la radiación es un efecto asociado a la curvatura, un observador cayendo a un agujero negro no percibiría nunca dicho efecto. Lo que para él es vacío, para alguien viéndolo desde fuera es un mar de partículas calientes.
Y aquí había una cuestión muy importante que resolver: si se arroja un cuerpo a un agujero negro muy caliente (muy pequeño), ¿se incinera antes de llegar al horizonte o no le pasa nada? La incompatibilidad estaba ahí.
Reflexionando sobre esto, surgieron dos posibles soluciones: o el principio de equivalencia de Einstein era incorrecto, o los agujeros negros no tenían temperatura.
Cargarse el principio de equivalencia implicaría cargarse de base toda la relatividad general, dado que se basa en este de forma central. El concepto de curvatura es inseparable de que esta no sea percibida en la cercanía de quien la observa.
Por el otro lado, cargarse la temperatura de Hawking volvía a dejar sin resolver el problema de la entropía y los agujeros negros.
El principio holográfico:
Pese a que se hablaba largo y tendido sobre la temperatura de Hawking y sus consecuencias, no muchos se preocupaban de entender la entropía de Bekenstein asociada al agujero negro.
Cuando en mecánica estadística hablamos de la entropía de un sistema típicamente estamos contando la cantidad de información de la que no disponemos sobre dicho objeto. Así pues, ¿qué estamos contando cuando asignamos al agujero negro una entropía?
En 1994 Bekenstein escribió un artículo llamado «¿Entendemos la entropía de los agujeros negros?«, en el cual reflexionaba sobre su propia ecuación, planteando que era una entropía debida al entrelazamiento cuántico. Las partículas de fuera del agujero y las de dentro quedaban entrelazadas cuando un agujero negro se formaba y si el agujero negro tenía entropía podía ser debido fundamentalmente a que desconocer los estados en su interior implicaba un cierto desconocimiento sobre los estados fuera. En particular, la entropía que nosotros asignamos a un agujero negro tendría que ser la misma que la que desde el interior de un agujero negro se asignaría al exterior.
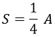
El hecho de que la entropía fuese de entrelazamiento y tuviese estas propiedades iba de la mano, de forma obvia, con que dependía del área de contacto entre el agujero negro y el exterior y no del volumen de ninguno de ambos. Esta intepretación es 100% coherente con la fórmula de Bekenstein en unidades naturales, donde la entropía S del agujero es un cuarto de su área A:
En paralelo con las reflexiones de Bekenstein, Leonard Susskind y Gerardus ‘t Hooft intentaban resolver las paradojas de los agujeros negros de una vez por todas, y se dieron cuenta de algo genial: de hecho, cuando uno dice que lo que observa alguien desde fuera de un agujero negro y lo que observa alguien desde dentro es incompatible está presuponiendo que en algún momento van a poder comparar sus medidas. Si dos observadores miden cosas incompatibles pero nunca van a poder quedar para comentarlas, ¿qué más da?
Cuentan que llegados a esta reflexión ‘t Hooft dijo: «¿Qué tenemos que cargarnos para que ambos observadores tengan razón?». Y ahí radicaba la clave de todo.
Del mismo modo que los principios fundamentales de la física cuántica dicen que solo podemos medir la posición o la velocidad de una partícula, y que si medimos una cosa implícitamente renunciamos a conocer la otra, en el problema del agujero negro si lo observamos desde fuera renunciamos a observarlo desde dentro. Son dos realidades diferentes desligadas.
Ahora bien, la coherencia sugiere que dado que el agujero negro se evapora no puede ser que lo que haya pasado dentro sea incompatible con lo que haya pasado fuera. Es decir, que de algún modo u otro lo que vemos incinerarse en el horizonte debe de haberse incinerado. ¿Y cuándo puede que un cuerpo que está dentro del agujero perciba su propia incineración? En la singularidad.
Surge así la siguiente propuesta: lo que vemos que sucede en el horizonte es una representación perfecta de lo que sucede en el interior del agujero negro, y una representación perfecta. De modo que de hecho siempre estaríamos viendo el interior del agujero sin necesidad de entrar en él.
Para que esto fuera posible era necesario imponerle a la naturaleza una restricción que a día de hoy aún no ha podido ser probada: un cierto volumen físico de nuestro universo no puede contener más información que la que se pueda codificar en su frontera. De lo contrario, si un agujero negro tuviese más información que la codificable en su horizonte, sería imposible concluir que una cosa y la otra son equivalentes.
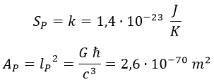
¿Y cuál tendría que ser la unidad mínima de información? ¿El bit cósmico? Planck había dado la respuesta casi 100 años antes con su sistema de unidades. Si queremos escribir la ecuación de la entropía de Bekenstein con constantes, solo tenemos que dividir cada término por su asociado de Planck. Es decir, la entropía entre la entropía de Planck (la constante de Boltzmann) y el área entre el área de Planck (el área de Planck al cuadrado):
G es la constante de gravitación universal, h la constante cuántica de Planck y c la velocidad de la luz en el vacío.
Al hacer las operaciones indicadas, obtenemos la ecuación de Bekenstein en unidades de sistema internacional:
Con este razonamiento, la propuesta fue que el horizonte del agujero negro contenía un bit de información por cada pequeño recinto de tamaño igual al área de Planck sobre su superficie. Un agujero negro que almacenase tres millones de bits de información cuántica tendría que tener un área de tres millones de áreas de Planck, que son diminutas.
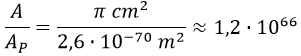
Si nos vamos a un caso bien sencillo, como podría ser un agujero negro de un centímetro de radio (que es lo que mediría el de la Tierra si esta se comprimiese), la información que podría almacenar sería de:
Para calcular el área del agujero hemos usado la fórmula del área de una esfera.
Esto es una barbaridad. Un ordenador normal almacena no más de 10 elevado a 13 bits, una cantidad prácticamente nula en comparación con la que nos ha salido. La propia Tierra, en principio, requiere menos bits de información para ser descrita que esa cantidad.
Pongamos otro ejemplo planteado por el propio Susskind, rellenando todo el universo observable de libros. Si cada caracter en un libro lo consideramos con un bit, un libro posee aproximadamente 6000 bits por centímetro cúbico. El tamaño del universo observable, por otra parte, son 4 por 10 elevado a 80 metros cúbicos. Toda esa barbaridad de libros podrían ser acogidos como bits en la frontera de un agujero negro de apenas 7 kilómetros:
Consecuentemente, la información en el universo está muy poco concentrada en comparación con lo que podría estarlo.
La propuesta de ‘t Hooft y Susskind se conoce como principio holográfico porque trata el interior del agujero negro como si fuese un holograma codificado en su superficie, del mismo modo que en películas de ciencia ficción como Star Wars las imágenes tridimensionales que usan para comunicarse están codificadas en el plano que las genera.
Dentro de la propuesta, se incluye el axioma de que en el universo en un volumen delimitado por cierta área no puede haber mayor cantidad de información que la que tendría un agujero negro con dicha área y que, análogamente, dada una cierta cantidad de información no se puede comprimir más que lo que la comprimiría un agujero negro. De haber en el cosmos algo con mayor densidad de información que un agujero negro la propuesta tendría que ser revisada, como poco reduciendo el tamaño de los bits para que entren más en menos sitio.
Finalmente, gracias al principio holográfico, en el agujero negro en principio dejaron de haber paradojas. La información no se pierde porque queda registrada constantemente en la frontera del agujero negro y los dos observadores llegan a las mismas conclusiones.
Leonard Susskind se lanzó a la aventura explicando esta propuesta en su artículo «El universo como un holograma«.
Determinismo holográfico:
A partir de lo expuesto resulta obvio que la paradoja de la información desaparece. Las funciones de onda se propagan y evolucionan deterministamente codificadas en el horizonte del agujero negro para el observador externo, mientras que el observador interno verá que las cosas entran y más adelante salen despedidas en algún momento como radiación térmica, pero sin haber perdido su identidad.
Otras formas de verlo sugieren incluso que dado que ver algo atravesar el agujero negro lleva un tiempo infinito según la relatividad general, los bits de información en la frontera realmente son las propias partículas que todavía no han podido ser observadas entrando, y que sin embargo se ven saliendo como radiación antes incluso de atravesar el horizonte. De aquí surge toda la idea de que finalmente es posible que ni siquiera los agujeros negros existan con sus propiedades mágicas, aunque habrán servido para desarrollar una teoría muy completa necesaria para desmentirlos.
Superdeterminismo:
En la entrada anterior, explicamos que Bell demostró que la mecánica cuántica era incompatible con una teoría determinista de variables ocultas locales. Es decir, que no era posible que los efectos aleatorios de la mecánica cuántica fuese debida a falta de información interna sobre las partículas.
Sin embargo, quedaba la veda abierta para que la información necesaria a tener en cuenta estuviese en cualquier parte del universo. El principio holográfico, que es posible gracias al entrelazamiento cuántico (del que se deduce la fórmula de Bekenstein), da de nuevo así un empujón al determinismo.
Si, no importa lo grande que sea una región física del universo, toda la información que contiene debe estar codificada en la frontera que la envuelve, resulta evidente la comunicación a velocidades superiores a las de la luz (ya lo era desde Bell) y el hecho de que todo el universo esté entrelazado es más aceptable.
Y si todo el universo está entrelazado… obviamente nunca controlaremos todas las variables en un experimento cuántico porque el resultado puede depender de cosas que pasen en Alfa Centauri o más lejos. Quien defiende que el universo es determinista pero hace falta conocer toda su información sin excepciones para predecir resultados experimentales es considerado un superdeterminista, en alusión a que ha superado las críticas de Bell.
Conclusiones:
El principio holográfico, mucho más que una teoría científica, es una obra de arte. La cantidad de conocimiento acumulado durante siglos que hemos necesitado para llegar hasta él es impresionante, y en el fondo su enunciado es muy simple: solo hemos llegado a una conclusión sobre la mayor cantidad de información que puede haber en un volumen, ¡y ni siquiera buscando eso! Yo creo que nunca dejaré de estar fascinado con ello.
La teoría de cuerdas, por otra parte, es la única teoría de gravedad cuántica en la que el principio holográfico está incluido de base y parece que puede funcionar.

Gerardus ‘t Hooft y Leonard Susskind. Los dos grandes artistas que salvaron los cimientos de la física teórica.
Categorías:Cosmología, Física, Principio holográfico, Teoría de Cuerdas, Termodinámica







Felicidades por esta entrada! Es un muy buen resumen del Principio Holográfico y de la batalla intelectual entre los físicos cuánticos (liderados por Susskind y ‘t Hooft) y los Relativistas ( liderados por Hawking y Kip Thorne). Los primeros defendían que la información no puede destruirse mientras que los segundos seguían a pies juntillas las consecuencias de la Relatividad General aunque ello llevara a la pérdida de la información.
Para quien esté interesado en el tema, recomiendo el libro «La Guerra de los Agujeros Negros» de Leonard Susskind en que se describe, amenizado con anécdotas personales, cómo se llegó al Principio Holográfico y al Principio de Complementariedad de los Agujeros Negros que decantaron finalmente la batalla.
Un saludo,