En la última entrada hablamos sobre la termodinámica de agujeros negros en su versión original. Comprender las profundas implicaciones de la misma y a qué ha evolucionado es uno de los mayores pasos en la comprensión de la naturaleza que ha dado el ser humano en los últimos 20 años, y era por donde tenía intención de seguir.
No obstante, una completa comprensión del asunto requería hacer antes algunos comentarios sobre el asunto de esta entrada: ¿cómo entender la física cuántica? El asunto no es trivial ni mucho menos está cerrado. Son varias las líneas de pensamiento y autores muy conocidos como Penrose incluso son escépticos con sus principios más básicos.
Así pues, en esta ocasión dedicaremos una entrada a filosofía de la física cuántica. Antes de empezar anticipo al lector que yo soy una persona determinista y no creo en la aleatoriedad, con lo que no solo me va a costar sino que ni me esforzaré en mantener un tono neutral.
Definiendo la realidad:
Si bien este es un concepto que aún a día de hoy sigue sin estar cerrado, podría decirse de forma ambigua que en física nos referiremos a la realidad como todo aquello que es susceptible de ser medido por alguien o algo en la naturaleza. Con medir nos referiremos a interaccionar con dicha cosa, bien sea directa o indirectamente, y no exclusivamente a darle un valor numérico.
Realidad sería lo que mides, lo que pesas o la posición que ocupas ahora mismo. No realidad sería lo que sueñas o lo que no existe en general. La frontera entre ambos grupos es difusa y podría depender del autor.
Teorías físicas y completitud:
Una teoría física es una teoría sobre un elemento de la realidad que describe cómo debería evolucionar este en el tiempo conociendo sus propiedades y su contexto. Así pues, cuando describimos matemáticamente una piedra cayendo tenemos una teoría física sobre el objeto piedra en el contexto de un campo gravitatorio.
Toda teoría física debe, en principio, asignar a cada elemento de la realidad que pretende describir un papel dentro de su marco. Además debe aspirar a describir cómo evoluciona cada uno de dichos elementos. Si es posible asignar a cada elemento de la realidad una definición dentro de la teoría, la teoría se dice completa.
Dado que la realidad existe independientemente de que sea medida o no, la teoría física debe aspirar a su vez a explicar el estado en el que se encuentra la realidad habiéndola medido un tiempo antes.
Determinismo:
A raíz de lo último, el determinismo es el pensamiento filosófico de que una teoría completa de la naturaleza que sirva para analizar absolutamente todo debe existir. Cuestión aparte es que dicha teoría pueda ser o no cognoscible por el ser humano. En principio diremos que no, que nunca alcanzaremos a explicar absolutamente todo. Esto será con independencia de que el modelo determinista exista o sea una ilusión platónica.
La demostración de que una teoría determinista nunca podrá ser completamente desarrollada diría que es evidente. Supongamos que tenemos una teoría que explica por qué sucede absolutamente todo. En ese caso seguiríamos sin saber por qué dicha teoría es correcta. Al final siempre tendremos que recurrir a un axioma. A lo que aspiramos es, en suma, a poder funcionar con la menor cantidad de axiomas posibles.
Algo que se deduce inmediatamente de lo anterior es que el determinismo es una creencia no falsable. Nunca nadie podrá demostrar que dicha teoría descriptiva no existe. Tampoco que sea improbable. Su contrario, el creer que dicha teoría no existe, también es una creencia no falsable.
Los deterministas seguimos fielmente el principio de razón suficiente, según el cual todo tiene una causa única, y nos da «miedo» hacernos a la idea de que algo pueda suceder sin ninguna causa.
Los no deterministas creen fielmente en que su voluntad y toma de decisiones son controladas por ellos mismos y que no son marionetas de la naturaleza. A ellos les da «miedo» pensar que todo lo que han hecho desde que nacieron estaba predeterminado por la ley determinista.
Retomaremos este tema en algún momento futuro. Dejo indicado, en todo caso, que el conocimiento del determinismo en la mente cada vez evoluciona más y uno puede fácilmente aspirar a describir la conducta humana con una ecuación sin necesidad de saber mucho sobre psicología, como yo mismo hice aquí, derivando los conceptos más elementales de la psicología de un modo que más tarde descubrí que ya hacen muchos expertos en el tema.
El determinismo clásico:
Desde la mecánica clásica de Newton sabemos que todos los objetos siguen una ley bastante sencilla: escapar de la energía potencial a la que están sometidos. Las piedras se caen porque en el aire tienen más energía potencial, las cargas opuestas se atraen porque separadas tienen más energía potencial, los núcleos se desintegran porque compactificados tienen más energía potencial y así con todo lo que se quiera pensar.
Conociendo todas las partículas de un sistema y la energía potencial en el mismo en principio sería posible describir con exactitud lo que haría cada partícula en el instante siguiente. El problema práctico en la vida real era que no podíamos conocer todo sobre todas las partículas de un sistema. Fue así como nació la mecánica estadística, según la cual aspirar a un conocimiento estadístico de un sistema era una aspiración suficientemente interesante. En lugar de preocuparnos de saber qué hará cada partícula de un sistema nos preocupamos por saber qué hará todo el sistema de partículas en conjunto con una gran gran probabilidad.
Cuanto más complejo es un sistema, o dicho de otra forma, nos hacen falta más datos para conocerlo, más complicado es hacer cuentas exactas con él. Por este motivo podemos describir con una precisión de miles y miles de años cómo se moverá la Tierra en torno al Sol, pero sin embargo no tenemos ni idea de que temperatura hará la semana que viene. Bueno, «ni idea» a lo mejor es pasarse, pero se entiende.
La interpretación determinista de la mecánica estadística, en todo caso, en ningún momento negaba la posibilidad de fijar de forma específica qué haría cada partícula. Simplemente renunciaba a intentar medirlo.

El demonio de Maxwell separa dos componentes mezclados de un gas porque le da la gana.
Esto se entiende adecuadamente con el concepto de demonio de Maxwell. Dado que la física del XIX era determinista, un ser diminuto, de escala atómica, bien podría jugar a fastidiarnos el día forzando sucesos improbables como alejar todo el oxígeno de nuestro alrededor o juntar varias partículas de nuestro cuerpo en una zona haciendo que chocasen y nos produjesen una quemadura. El demonio de Maxwell sería así, metafóricamente, una forma de llamar a la posibilidad no nula de que a veces sucedan cosas raras en la naturaleza.
Dicha posibilidad es pequeña, pero no nula. Por ejemplo, nada impide a una piedra en el fondo de un estanque comenzar a elevarse de repente. Lo que pasa es que es muy complicado que todo lo que suceda en el estanque la lleve a ello. Cuando soltamos una piedra sobre el agua esta altera el aire y el agua durante su trayectoria. Si casualmente el aire y el agua reprodujesen todos esos movimientos al revés, la piedra podría ascender.
La causalidad:
Con la llegada de la relatividad especial, resultó que los elementos de la realidad no podían afectarse en un cierto tiempo si la distancia entre ellos era mayor que la distancia que recorre la luz en dicho tiempo.
Esto era incompatible con cosas como la ley de gravitación universal de Newton o la ley de la electrostática de Coulomb. Según ambas, la fuerza entre dos masas o dos cargas era instantánea y sin tiempos de espera. Esto requería una solución y se dieron algunas diferentes.
Por un lado, la relatividad general de Einstein justifica la acción gravitatoria a distancia diciendo que es que el espacio-tiempo se curva por la presencia de energía en él. Así pues, lo que comunica a una partícula que está en un campo gravitatorio es el propio universo en sí por su forma. Una variación en la posición de una cierta cantidad de energía emite ondas gravitatorias que sí tardan un cierto tiempo en remoldar el espacio-tiempo, pero después el efecto sería permanente.
Por otro lado, la electrodinámica cuántica explicaría que precisamente si la fuerza de Coulomb decae con el inverso de la distancia al cuadrado es porque el fotón, mediador de la fuerza electromagnética, tarda su tiempo en propagarse de una carga a otra. Esto fue comentado aquí.
Actualmente ambas teorías son incompatibles si se aspira a que cualquiera de ellas explique todo y hay problemas para explicar la gravedad cuánticamente.
La interpretación de Copenhague de la mecánica cuántica:
Con la llegada de la mecánica cuántica la creencia determinista fue puesta en jaque. La realidad ya no estaba descrita por parámetros concretos sino por campos de probabilidad ψ en el espacio que permitían calcular exclusivamente la probabilidad de que la realidad tuviese unos valores u otros. A los campos ψ se los denimina estado del sistema. Cuando una magnitud se puede medir con exactitud en un cierto estado, dicho estado se denomina autoestado de la magnitud en cuestión.
Cualquier estado que no sea un autoestado se podrá descomponer en una combinación de estos. Es decir, en una suma de tantas veces uno, más tantas veces otro, más tantas veces otro:
Cuanto mayor es el coeficiente ci de suma de un estado, más probable es que sea el que se mida.
Hasta aquí en principio uno podría pensar que no hay diferencias sustanciales entre la mecánica cuántica y la mecánica estadística, y para un determinista en efecto no las hay. La cuestión clave es que durante el congreso Solvay de Copenhague de 1927 se defendió por varias personas que en mecánica cuántica las cosas son «puramente» aleatorias y la aleatoriedad es inevitable. Para un físico cuántico usual, por tanto, no hay ninguna forma de predecir qué se medirá en una función de onda si no es un autoestado de lo que se está midiendo.
Esta cuestión llevó a diversas discusiones famosas a científicos de renombre, como Niels Bohr y Albert Einstein. Refiriéndose a dios como la naturaleza, el segundo dijo «Dios no juega a los dados», a lo que el primero le contestó «Deje de decirle a dios lo que puede o no hacer con sus dados».
La guerra entre deterministas y no deterministas había empezado… y sigue sin cerrarse.

Montón de físicos en la conferencia Solvay de 1927 echando por tierra el determinismo. Einstein, cabizbajo, se pregunta qué ha hecho para merecer estar escuchando eso. PD: Obviamente esto último es una broma y no una descripción de la imagen.
Determinismo en mecánica cuántica:
No obstante, es frecuente que la gente se quede con la duda de qué es lo que hace a la mecánica cuántica una teoría a priori no determinista. El no determinismo reside fundamentalmente en la imposibilidad de conocer el estado de la realidad si no es midiéndolo. La función de onda o estado del sistema solo nos dice la probabilidad de un estado y en principio se renuncia a buscar una forma de identificar qué estado será.
Sin embargo, obviando esto, el campo de probabilidad sí que es una magnitud determinista, en tanto que evoluciona de forma precisa en el tiempo siguiendo la ecuación de Schrödinger (en el caso clásico) o cualquiera de sus análogas en el caso relativista:
En la ecuación de Schrödinger H es el hamiltoniano del campo.
El problema radica únicamente en la naturaleza probabilística de la función de onda, pero no en trabajar con ella al margen de hacer medidas.
Las críticas de Einstein-Podolsky-Rosen:
En un artículo de 1935 llamado «¿Puede ser considerada completa la descripción de la realidad ofrecida por la mecánica cuántica?» los tres físicos citados escribieron sobre sus inquietudes con la mecánica cuántica. Podemos resumir su aporte en dos críticas bastante fuertes a priori.
-La no completitud:
En mecánica cuántica, existen magnitudes que por construcción matemática y evidencia experimental no se pueden conocer simultáneamente: energía y tiempo, posición y velocidad, momento angular en torno a dos ejes… Esto es consecuencia del principio de incertidumbre de Heisenberg.
En tanto que la mecánica cuántica es incapaz de precedir simultáneamente velocidad y posición, dijeron, no establece una analogía exacta con la realidad y por tanto no es una teoría completa. O eso, o posición y velocidad no son realidad simultáneamente.
Rechazando frontalmente la posibilidad de que lo que es real dependa de las mediciones llegaron a la conclusión de que la teoría no era completa.
Bohr replicó a esto en repetidas ocasiones diciendo que en mecánica cuántica, precisamente, la realidad era una cosa «o» otra, según el caso.
-La ultracausalidad:
Supongamos que tenemos un par de electrones que han sido producidos a la vez con espín positivo o negativo. Por conservación del espín, cuando midamos el de uno de ellos sabremos el del otro, dado que tenemos una función de onda combinada del caso en el que el primero tiene espín positivo y el segundo negativo, junto con su opuesta:
El estado del sistema no es el producto del estado de un electrón por el del otro sino que es un estado entrelazado. Actúan como un único ente. Si medimos espín positivo en un electrón, el otro tendrá espín negativo inmediatamente. Es el estado al que decae el sistema.
El problema que plantearon Einstein, Podolsky y Rosen es que la cuántica mantenía este entrelazamiento fuese cual fuese la distancia siempre que los electrones no fijasen el espín de su entrelazamiento previamente. Así pues, dijeron, la teoría debe estar mal por considerar una comunicación instantánea a distancias arbitrariamente elevadas entre dos partículas.
Las variables ocultas:
De forma bastante natural, el artículo concluía planteando la posibilidad de que existiese una teoría completa con nuevas variables que permitiese predecir exactamente el estado del sistema y evitase los problemas que ellos veían en la mecánica cuántica. Dichas variables fueron denominadas, por motivos obvios, variables ocultas, y los deterministas comenzaron a buscarlas. Al menos hasta que llegó Bell a hundirles la fiesta.
Las desigualdades de Bell:
En 1964, el físico John Bell publicó un artículo réplica llamado «Sobre la paradoja de Einstein-Podolsky-Rosen» en el cual demostraba que era imposible que una teoría de variables ocultas locales, es decir, definidas junto con las partículas, llevase a los mismos resultados que la mecánica cuántica. Y los resultados de la mecánica cuántica son acordes con la observación, con lo que las variables ocultas locales debieron ser descartadas.
¿Cómo llegó Bell a esa conclusión? Por reducción al absurdo. Demostrando que las variables ocultas predecían algo que era incompatible con el resultado cuántico verificado.
-Cálculos con variables ocultas:
Denotemos por s1 la detección del espín del primer electrón (+1 si lo detecta, -1 si no) y por s2 la detección del espín del segundo según un par de detectores de espín, suponiendo además que el resultado de cada uno es independiente del del otro. Supongamos que además tenemos otros dos detectores que miden s1′ y s2′. Teniendo esto, definamos s:
Valgan cuanto valgan cada uno de los cuatro parámetros, el valor de s será exclusivamente +2 o -2, como se puede ver en la siguiente tabla:
Así pues, la media de s, fuese lo que fuese debido a las variables ocultas, nunca sería mayor que 2 ni menor que –2:
<span style=»text-decoration:underline;»>-Cálculos con mecánica cuántica:
En mecánica cuántica, saber lo que va a medir un detector implica saber lo que va a medir el otro, lo que modifica las cuentas.
Los detectores de espín tienen un funcionamiento relativamente sencillo. Constan de una sección plana que es atravesada por la partícula y, sobre dicha sección plana, hay un eje que detecta el espín o no. Si un electrón pasa por un detector con el espín alineado con el eje el resultado será +. Si pasa perpendicularmente será –.
Si tenemos dos partículas y dos detectores, la probabilidad de que las detecciones de ambos coincidan será 1 si sus ejes están alineados y 0 si son perpendiculares. Dado que la probabilidad de coincidencia y la de no coincidencia tienen que sumar 1 por ser las dos posibilidades que hay, una tiene que ser proporcional a uno coseno cuadrado y la otra a un seno cuadrado, lo que nos lleva a que la que buscamos es la del coseno del ángulo σ que forman los dos detectores y la otra el seno:
Así pues, la detección en promedio (suma de probabilidades por signo de la detección) es el coseno del ángulo doble:
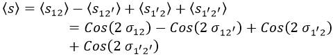
Y la media del valor s que definimos con variables ocultas sería:
Nótese que se debe cumplir la relación:
Independientemente del signo de cada uno de los ángulos.
Pues bien, si imponemos que todos menos el que contribuye con signo negativo sean de 22,5º mediante el diseño del experimento, obtenemos que el promedio de s es mayor que lo que permiten las variables ocultas:
Esto implica que las variables ocultas locales son incapaces de reproducir los experimentos cuánticos.
Cabe destacar que la desigualdad de Bell no es exactamente esta sino el hecho de que es posible hacer todo un conjunto de cuentas en las que el resultado cuántico excedería lo permitido por variables ocultas locales. De hecho ni siquiera he reproducido las cuentas de Bell, sino las de este otro artículo.
Conclusiones:
Las desigualdades de Bell prueban, por tanto, que aunque realmente desconozcamos algún parámetro sobre las partículas que pudiera permitir fijar su realidad, en ningún caso dicho parámetro podría estar ligado a ellas. Puede proceder de la distancia remota al experimento y el universo tendría que estar completamente entrelazado.
Categorías:Física, Física cuántica












