En la entrada anterior vimos que cuando estando en reposo con un campo escalar lo observábamos con una aceleración a, entonces dicho campo tenía una cierta temperatura proporcional a la aceleración y un número de partículas acorde a la distribución de bosones con dicha temperatura. Este resultado es correcto para cualquier campo, pero no hicimos una demostración ni tampoco la haremos en esta entrada. Dejaremos la generalización del concepto para alguna entrada venidera, comprobando que es un fenómeno espacio-temporal e independiente del campo que lo padezca.
En esta ocasión nos centraremos en qué conclusiones tiene la relación aceleración/temperatura cuando hablamos de agujeros negros.
La conjetura de Bekenstein:
A principios de los 70, en pleno auge de la teoría de los agujeros negros, el joven Jacob Bekenstein comenzó a preguntarse por ellos desde un punto de vista termodinámico. Si todo lo que caía dentro de uno desaparecía y no podía volver a salir, ¿qué pasaba con la entropía? Uno podría reducir la entropía del universo a base de lanzar cosas entrópicas al interior de un agujero negro. Esto iría en contra de las leyes de la termodinámica.
Sin embargo, un agujero negro estático (los únicos que hemos comentado hasta ahora) se caracteriza por tener como único parámetro relevante su masa. El agujero negro tiene una apariencia perfectamente homogénea. Conocer su masa, o su radio, o su área, o su volumen, era todo equivalente. Con cualquiera de esas magnitudes se deducían las otras. ¿Qué entropía podía haber?
Bekenstein decidió suponer que el área de un agujero negro era, de hecho, una medida de su entropía. Y dado que cuando lanzamos cosas a un agujero negro aumentamos su masa y su área, aumentamos su entropía. Así la termodinámica quedaba a salvo. Y dado que a priori todos los conjuntos de masa tienden a formar agujeros negros si pueden, la mayor entropía posible para un conjunto de masa dado debería ser la entropía del agujero negro con dicha masa.
Como mencionamos en la entrada sobre unidades de Planck, a estas se las suele asociar con valores máximos y mínimos en la naturaleza. Así pues, Bekenstein supuso que la relación entre entropía y el área debía involucrar exclusivamente a las constantes fundamentales de la naturaleza: la entropía de Bekenstein sería la entropía de Planck multiplicada por el área del agujero entre el área de Planck. Esto involucraría cuatro constantes fundamentales en el caso de un agujero negro estático: la velocidad de la luz, la constante de Boltzmann, la constante de gravitación universal y la constante de Planck. Y esto, a su vez, implicaba que la ecuación de Bekenstein era relativista, termodinámica, gravitatoria y cuántica a la vez. La primer ecuación de la física con estas características. El comienzo de la gravedad cuántica.
La radiación de Hawking:
Inmediatamente surgió el contraargumento a la conjetura de Bekenstein de que si el agujero negro tenía energía y entropía, entonces necesariamente tenía que tener temperatura. Y si tenía temperatura y estaba en contacto con el universo, que está muy frío, debería radiar de forma acorde a la ley del equilibrio térmico: dos cuerpos en contacto térmico deben acabar teniendo la misma temperatura.
Sin embargo, los agujeros negros no podían radiar nada según la relatividad general. ¿Cómo podrían hacerlo si su velocidad de escape es superior a la de la luz?
Tras la propuesta de Bekenstein, otros físicos coetáneos llegaron a la conclusión de que en realidad lo de la temperatura podría no ser un contraargumento sino una nueva predicción teórica. En efecto, derivando el efecto Unruh que comentamos en la entrada anterior. Dado que lo que un observador observa como vacío es un estado térmico de partículas para otro que lo vea con aceleración relativa, podría ser perfectamente que el horizonte de un agujero negro tuviese temperatura en tanto que las partículas sobre él padecían aceleración.
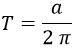
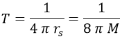
El teorema de Unruh hace la siguiente identificación entre aceleración a y temperatura T:
Como siempre, usamos unidades naturales.
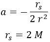
Por otra parte, la aceleración percibida en la proximidad de cuerpos cayendo a una masa M de radio de Schwarzschild rs era:
Aquí r es la distancia de separación. Nótese que en la proximidad de una partícula en caída libre la ley de la aceleración coincide con la ley de gravitación universal de Newton debido al principio de equivalencia: los efectos de la relatividad general solo se hacen notorios al medir cosas en entornos relativamente lejanos del observador. En las proximidades de uno mismo la ley de Newton es suficientemente precisa.
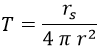
Teniendo en cuenta la aceleración gravitatoria, la temperatura de Unruh en cada punto del espacio a una distancia r de una masa rs sería:
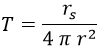
Y en particular, la temperatura sobre el horizonte de sucesos sería:
Cuanta más masa y más grande es un agujero negro, menor es la temperatura de su horizonte, teniendo los agujeros negros diminutos temperaturas arbitrariamente elevadas y los grandes prácticamente nulas.
Cabe hacer una distinción entre temperatura del horizonte y temperatura en general en el agujero. Aunque los agujeros negros más grandes tengan un horizonte más frío, esto en principio no quitaría el hecho de que en su interior también serían calderas infernales.
Hawking, en principio intentando desmentir a Bekenstein, llegó a la conclusión de que en un contexto cuántico tenía sentido que los agujeros negros tuviesen temperatura, dado que las partículas podían conseguir energía de forma «ilegal» siempre que lo hiciesen en un tiempo δt avalado por el principio de incertidumbre de Heisenberg:
Así, aunque fuese con una diminuta posibilidad, las partículas podrían abandonar el agujero negro por efecto túnel con forma de radiación térmica.
Debido a su explicación de la temperatura de los agujeros negros, dicha temperatura se conoce como temperatura de Bekenstein-Hawking o BH por Black Hole («agujero negro» en inglés).
Termodinámica de agujeros negros:
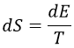
Dando por válido ya que los agujeros negros tendrían que tener temperatura, el siguiente paso era calcular la entropía. Para ello, partimos del hecho de que para un observador en reposo con el agujero su energía es igual a su masa:
Después, tenemos en cuenta que la temperatura de un sistema térmico no sometido a fuerzas es la derivada de la energía respecto a la entropía:
Y a partir de aquí sacamos la siguiente ecuación diferencial:
La cual se puede resolver fácilmente teniendo en cuenta la relación de la energía y la temperatura con la masa:
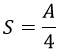
Ahora bien, si tenemos en cuenta que el agujero negro es esférico y que el área de una esfera de radio rs es:
Llegamos a la conclusión de que la conjetura de Bekenstein sobre el área era completamente acertada:
Así pues, sin radiación Hawking, para un agujero negro aislado se cumplirían las siguientes leyes de la termodinámica:
- Ley cero: todo agujero negro está en equilibrio térmico interno y tiene temperatura.
- Primera ley: la masa del agujero negro se conserva.
- Segunda ley: el área del agujero negro no puede disminuir.
- Tercera ley: la masa infinita es inalcanzable.
Si el agujero negro puede interaccionar con su entorno y es un sistema abierto con radiación Hawking, no obstante, solo la ley cero y la tercera ley podrían ser ciertas.
La evaporación del agujero negro:
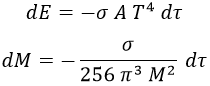
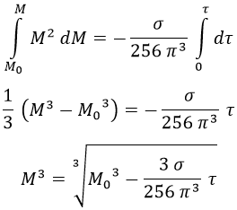
Supongamos que observamos un agujero negro desde su horizonte. Su luminosidad L o potencia radiativa, es decir, la variación de su energía con el tiempo, seguiría la ley de radiación de Stefan-Boltzmann:
Aquí σ sería una constante. Despejando y sustituyendo esto lleva a la siguiente ecuación diferencial para la masa y el tiempo:
Cuanta más masa hay más despacio se evapora el agujero negro y viceversa. Esto podría parecer antiintuitivo pero es perfectamente coherente con los resultados de la temperatura: los agujeros negros más grandes radian menos.
Supongamos que tenemos un agujero negro con masa inicial M0. Su ecuación de evolución según el tiempo se podría obtener integrando:
Teniendo esta expresión, podemos calcular el tiempo de evaporación de un agujero negro calculando cuánto tarda la masa en ser nula. El resultado es que la vida de un agujero negro observado mientras se evapora desde el horizonte es proporcional al cubo de su masa:
¿Y respecto a un observador exterior? Pues la cuestión no es nada trivial. Como vimos en su momento, el flujo de radiación recibido desde una estrella lejana a una distancia d y con una luminosidad dada es:
El parámetro z medía el efecto Doppler, y el efecto Doppler del horizonte de sucesos es infinito, con lo que en principio la radiación de un agujero negro percibida desde el exterior del mismo sería nula. Esto siempre y cuando dicha radiación se emitiese desde su horizonte. Dicho con otras palabras: dado que le llevaría infinito tiempo externo escapar desde el horizonte, sería como si no fuese radiada.
Sin embargo, aquí hay que tener en cuenta un efecto nada desdeñable: cuando el agujero negro radia el horizonte pasa a estar «más atrás», con lo que las partículas radiadas en realidad parten desde «un poco por encima» del horizonte y sí que pueden llegar al exterior en tiempo finito. Cómo de finito ya sería otra cuestión, pero a priori extremadamente elevado para un agujero negro galáctico corriente.
La observación de un agujero negro evaporándose supondría un Premio Nobel a Stephen Hawking, como es bien sabido, pero ya han pasado más de cuarenta años desde su predicción y no solo no se ha detectado nada sino que estamos lejos de esperar detectarlo.
Ello no quita que podamos darle prácticamente todo el crédito del mundo al concepto de radiación debido a la gravedad porque, evocando a Dirac, «es demasiado elegante como para ser falso». Esta frase anterior no debe entenderse, no obstante, como que se da por hecho que es cierto porque sí: simplemente se supone que es cierto hasta que se demuestre lo contrario.
Fusión de agujeros negros:
Un agujero negro radiando podría ser una buena fuente energética en un futuro, pero mucho mejor sería (en tiempo) una colisión de agujeros negros. Supongamos que tenemos dos, uno de masa M1 y otro de masa M2, y que los hacemos colisionar. La termodinámica solo nos va a exigir que el área del agujero negro resultante sea mayor que la suma de las de los dos originales:
Traducido a masas, esto implica que:
Es decir, que la masa del agujero negro resultante tiene que ser mayor o igual al valor dado por la raíz.
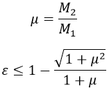
Si consideramos como eficiencia energética ε la cantidad de masa que se libera en forma de radiación ΔM dividida entre la masa puesta en juego obtenemos que está acotada superiormente:
La fórmula es simétrica para ambas masa: tan relevante es una como la otra. Todo depende en exclusiva del cociente entre ambas como queda de manifiesto en la última expresión. Nótese además que la fórmula final sería igualmente válida cambiando M1 por M2.
Por comodidad, podemos expresar la eficiencia según el parámetro μ:
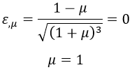
Derivando la ecuación para la eficiencia respecto a μ e igualando a cero, obtenemos que el valor que garantiza el máximo es 1, es decir, que las dos masas originales sean iguales:
Y en este caso, que es el más favorable, la eficiencia de producción energética podría ser de hasta un 29,3%:
Supongo que no hace falta aclarar la barbaridad de energía que supone detonar casi el 30% de la masa de dos agujeros negros de golpe.
En la próxima entrada, en principio, demostraremos que el hecho de que el área de un agujero negro no pueda disminuir es independiente de que tenga o no temperatura dentro de la relatividad general sin radiación Hawking.
Categorías:Física, Física cuántica, Relatividad, Termodinámica
























Si un agujero negro actúa como un triturador de materia y descompone las moléculas y átomos captados en electrones, protones y neutrones (que supongo se desintegrarían en esa sopa), y si existiese la posibilidad de que llegara a estallar ¿No estaríamos ante un mini regenerador de big-bang, que volvería a sembrar el espacio-tiempo de futuros átomos de hidrógeno, con lo que recomenzaría el ciclo de formación de soles y galaxias? Es decir ¿podría ser la gravedad mediante algún mecanismo similar, la trituradora de los restos del combustible inicial (el hidrógeno) que volviese a generar nuevo combustible, y se evitara la muerte térmica del universo?
Hola,
Eso sería cierto en un universo estático. Pero dada la expansión no, porque hay cosas que se alejan de forma irreversible, al menos en principio.
Encontré la fórmula de Bekenstein-Hawking al leer el capítulo 27 de libro «El camino a la realidad» de Penrose, pero en ese libro no aparecen demostraciones, así que retorné a este artículo tuyo que tenía guardado, y de éste al anterior, y junto con alguna entrada de Wikipedia creo haber entendido todas las demostraciones. Esta eficiencia en la radiación de energía de un máximo del 29,3% me ha impresionado mucho, y lo que en un primer comentario mío era una idea meramente lógico-especulativa ahora la percibo con ecuaciones. Ahora uno podría entretenerse en calcular tiempos de evaporación totales o parciales para tener una idea aproximada del orden de magnitud temporal del que estamos hablando. Muchas gracias Adrián por tus lecciones, me han servido para entender mejor la física de los agujeros negros, ahora trataré de leer los otros artículos que tienes sobre el tema.
Un placer.
¿Cómo calculaste la eficiencia de 29.3%?. Saludos.
Zacary, está explicada con todos los pasos en la entrada. No entiendo tu pregunta.
Si nos fijamos en una región esférica de radio R en el centro de una masa (un planeta, estrella, lo que queramos), y vamos añadiendo más y más masa por acreción de la de sus alrededores, la región de estudio tendrá cada vez más masa (por compactación). Entiendo que los grados de libertad de las partículas allí confinadas serán cada vez más reducidos. Razonando de esta forma, la entropía de esa región decrece (por disminución del número de estados microscópicos compatibles con el estado macroscópico), y llegando al estado de agujero negro (cuando el radio de Schwarzchild supere al radio R) estaríamos en el estado de mínima entropía posible. Se violaría el segundo principio de la termodinámica, cierto, pero es que los AN violan ese principio, el de causalidad y el del sentido común. Son entidades que se nos escapan de la física. No entiendo por qué hay resistencia a admitir que los agujeros negros podrían ser sumideros de entropía y que la termodinámica podría no funcionar en ellos.
De hecho, aplicando el segundo principio de la termodinámica a nuestro universo habitual, conocido y familiar, en su conjunto, en el que se cumplen las leyes de la termodinámica, si pensamos que todos los procesos CONOCIDOS no hacen sino AUMENTAR la entropía del Universo, no creo que quepa otra conclusión que admitir que al principio (Big Bang) ésta debería ser mínima o incluso nula. El estado del Big Bang es claramente compatible con la definición de agujero negro, lo cual es coherente con que los agujeros negros (en concreto el Big Bang) sean cotas inferiores de la entropía y no superiores como conjetura Suskind o Berkenstein.
La entropía del universo podría ser constante a base de aumentar en el universo “normal” y decrecer en los agujeros negros, que equilibrarían el balance. Agujeros negros que por fusión entre ellos irían conformando un nuevo estado Big Bang de entropía mínima para comenzar de nuevo el proceso cíclico.
«pero es que los AN violan ese principio, el de causalidad y el del sentido común»
Nope, para nada. Ninguna de las 3 ;)