2. TEORÍA DE CAMPOS UNIDIMENSIONAL
2.1. La energía potencial
2.2. La conservación de la energía
2.3. La gravedad de Galileo
2.4. El trabajo y el calor
2.5. Las aproximaciones
Aproximaciones.
En los capítulos anteriores hemos comenzado a desarrollar en detalle la teoría de campos en una dimensión, pero mientras lo hicimos hemos incurrido en dos aspectos del trabajo científico frecuentemente ignorados en los centros de enseñanza secundaria: la aproximación numérica y la aproximación por modelo.
- Realizamos una aproximación numérica cuando al emplear un dato no escribimos todas las cifras que conocemos de él sino solo unas pocas. Por ejemplo, cada vez que decimos que la constante g de la gravedad de Galileo es 9,8 m/s2, o incluso 10 m/s^2, estamos omitiendo que en realidad hay más decimales conocidos de dicha constante.
- Por otra parte, realizamos una aproximación por modelo cuando resolvemos un problema haciendo consideraciones que no se corresponden con la realidad pero decidimos considerar que hacen que nuestro enfoque se parezca lo suficiente. Cada vez que consideramos que g es una constante, por ejemplo, tal y como sugirió Galileo, estamos omitiendo el hecho de que sabemos desde Newton que no es así en absoluto y la gravedad es distinta a diferentes alturas.
Sin embargo, pese a que podamos ser conscientes de que estamos aproximando, nos da igual y decidimos seguir haciéndolo. ¿Pero por qué empleamos menos decimales cuando sabemos que hay más, y por qué hacemos cosas como suponer que la Tierra es esférica para realizar algunas operaciones, cuando en realidad sabemos que es un geoide? La respuesta tiene que ver con el nivel de precisión que necesitamos.
Seguramente la mayoría estemos de acuerdo en que si alguien nos pregunta a qué distancia están dos ciudades y redondeamos la respuesta en decenas de kilómetros no sería nada grave. Sabemos, culturalmente, que no hace falta especificar los kilómetros, metros, milímetros, etc. exactos que hay entre ambas. Y no hace falta porque para lo que suele ser empleado dicho dato, que es para calcular el tiempo que llevará ir desde una hasta la otra o la gasolina que se consumirá, apenas afecta. Sin embargo, afinar ya es importante si quien pregunta el dato es el encargado de comprar asfalto para renovarla por completo.
Errores.
Si suponemos que la magnitud que queramos medir (como pueden ser la altura de una montaña, el tiempo que lleva un lago existiendo o la masa de una ballena) tiene un valor real (xreal), entonces llamamos error absoluto (EA) de una medición o estimación a la diferencia entre el valor que le asignamos (vmedido) y el valor real.

Las barras en la ecuación indican que el resultado siempre debe ser positivo, de modo que aunque el valor medido sea mayor que el real el error nunca pueda resultar negativo. Cuando hacemos esto decimos que el resultado tiene que estar en valor absoluto, estemos o no hablando de errores.
Podemos clasificar el origen del error de tres formas diferentes:
- Hay un error de aproximación cuando nosotros, voluntariamente, renunciamos a ser precisos. Por ejemplo, considerando que pesamos 80 kg en lugar de 78 kg.
- Hay un error sistemático cuando nuestra forma de obtener los datos (el aparato de medida) tiene un defecto. Por ejemplo, si usamos una báscula que estando vacía dice que la masa es de 2 g, o si intentamos medir la temperatura en la calle poniendo el termómetro dentro de un vaso de refresco (el cual evidentemente distorsionará la temperatura que se pretende medir).
- Hay un error de instrumento cuando el aparato que usamos para medir no puede precisar con infinitos decimales. Este está presente siempre en investigación, y es importante tenerlo claro. Una regla en milímetros nunca podrá medir bien los nanometros, un termómetro de los que se suelen tener en casa nunca podrá medir bien centésimas de grado y un reloj de un teléfono no podrá medir picosegundos. El error de instrumento, que en nuestro día a día no suele ser relevante, es la principal causa de que las teorías físicas no se puedan comprobar de golpe. Siempre habrá un valor tan pequeño que no pueda ser medido por ningún instrumento, y precisamente ahora nuestro problema es que necesitamos medir cosas muy pequeñas. Con una regla de precisión infinita no solo habríamos descubierto los átomos hace mucho, sino que a día de hoy por ejemplo podríamos comprobar si las partículas están hechas de cuerdas vibrando en múltiples dimensiones tal y como propone la teoría de cuerdas.
- Por último, hay un error estadístico cuando realizamos varias veces la misma medida y el resultado es diferente. El ejemplo más clásico es poner cosas en una báscula y ver que un instante pesan 203 g, pero a lo mejor al instante siguiente 204 g o 205 g, sin llegar en ningún momento a dejar de variar el número.
Dado que estos errores siempre están presentes cuando hacemos ciencia, es muy importante indicar junto a cada dato el margen de error que lo acompaña. Así, mientras que una noticia que nos dijese que las notas promedio en matemáticas de España están 5,4 puntos (dato inventado) estaría incompleta, tendría mucho más rigor si añadiese, por ejemplo, que el error de dicha medida es de aproximadamente 1 punto. Al error es frecuente denominarlo también desviación típica o desviación estándar, en particular si es estadístico.
Metaerrores y consideraciones sobre el valor real.
Como acabamos de decir, toda medida comunicada debe ir acompañada de su error si pretende ser rigurosa. Sin embargo, ¿qué queremos decir con su error? ¿Si yo mido la distancia de mi casa a la Luna con un telescopio y trigonometría, y digo que es de 50000 km con un error de 4 cm, es imposible que el valor real sea muy diferente?
Lo cierto es que cuando damos un error, dependiendo de la rama de la ciencia, estamos indicando cómo de seguros estamos de que el valor real se parece al medido. Si bien esto depende de la rama científica, los errores en física suelen indicar que se confía en que es menos que un 0,0001% de probable que el valor real se aleje del medido más que dicho error. Es decir, que si un físico dice que la masa de un cuerpo es de 2 kg con un error de 30 g, está más de un 99,9999% seguro de que no va a pesar, por ejemplo, 2,031 kg. A esta confianza se la suele denominar de 5 sigmas por cuestiones que se explican en estadística y no vamos a tratar aquí.
Pero por supuesto, por más que tengamos protocolos para asignar un valor al error estadístico, que conozcamos el error de precisión de nuestros aparatos, que evitemos completamente los errores de aproximación y que creamos que tenemos controlados los errores sistemáticos, por más que hagamos todo eso, la seguridad es algo subjetivo.
Estamos seguros de que cuando soltamos cuerpos se caen al suelo porque siempre que los soltamos se han caído (obviando trucos), pero quizás en un futuro una nueva fuerza de la naturaleza hasta ahora desconocida y «apagada» haga que no sea así. ¿De qué valdrá entonces nuestro dato con 5 sigmas de que las cosas se caen al ser soltadas?
Rizando más el rizo, cuando calculamos un error siguiendo el protocolo, las operaciones que realizamos también tienen su propio error (como con cualquier otro cálculo relacionado con sistemas físicos). Teniendo esto en cuenta, quizás sería más apropiado no solo indicar el valor medido y su error, sino también el error del error. ¿Pero por qué detenerse ahí? Es fácil ver que repitiendo el proceso se llega a un bucle sin salida en el cual acabaría dejando de tener sentido medir cosas.
Y esto nos lleva a una cuestión mucho más importante: en realidad, dado que si nosotros conocemos valores es porque los hemos medido con errores, no conocemos el valor real de nada. Solo aquel que estamos muy seguros (y con razón) de que parece tener sentido que sea el real.
Cifras significativas.
Y explicada la filosofía tras la teoría de los errores, veamos un poco más de consecuencias prácticas. En primer lugar, como anticipábamos: «todo resultado numérico obtenido en ciencia debe ir acompañado de su error«. Ahora la cuestión es cómo indicamos ese error.
Denominamos cifras significativas de una magnitud a las cifras que van tras la primera que no sea 0. Por ejemplo, en el número 34527 todas sus cifras son significativas, pero si en su lugar elegimos el número 0,029602, sus cifras significativas serán 29602, obviando todos los ceros anteriores al primero número no nulo (el 2).
A partir de este concepto, y siempre dependiendo de a qué se dedique cada uno, podríamos decir que el protocolo es indicar el error absoluto con tan solo dos cifras significativas. Si nuestra medida tiene, por ejemplo, un error de 0,00037485 m, diremos que el error es de 0,00037 m. Las cifras posteriores se obvian redondeando. En el caso de que el redondeo no esté claro a causa de un 5, es frecuente recomendar el redondeo al número par. Por ejemplo, 3450 lo redondearíamos a 3400, mientras que 7550 lo redondearíamos a 7600.
Una vez que hemos fijado el error absoluto, hay que dar el valor medido sin que tenga cifras más a la derecha que el error absoluto. Pongamos por caso que he medido que peso 79,856 kg tras pesarme 2000 veces y hacer la media, pero que sé que el error es de 0,12 kg. Dado que el error llega hasta las centésimas de kilogramo, no tiene ningún sentido que demos el valor medido indicando milésimas (seguramente esa cifra esté mal).
Propagación de errores.
Supongamos ahora que tenemos una medida x, y que conocemos también su error dx (no, no es casualidad que se parezca a la forma de indicar diferenciales), ¿cómo afecta este error cuando calculamos otra magnitud y usando x para ello? Es decir, si yo mido algo mal, y lo uso para calcular el valor de otra cosa, ¿cómo afecta lo mal que lo haya medido?
La respuesta nos llega, por supuesto, de las matemáticas de las derivadas. Alerta matemáticos con la siguiente frase. Preguntarse cómo se altera el valor de y según cómo se pueda alterar el de x es lo mismo, numéricamente, que preguntarse cuál es la derivada de y respecto a x, multiplicando dicha derivada por lo que haya variado x. Para que esto funcione, eso sí, es necesario que el error sea muy pequeño y que x no valga 0.

Aquí de nuevo aparece el valor absoluto para evitar que los errores sean negativos tras propagarse de x a y. Veamos un ejemplo:
El lado de un cuadrado mide 44,3 m, con un error de 1,1 m. ¿Cuál será su área, indicando el error de la medida?
Si llamamos x al lado e y al área, se cumple la relación:
A partir de aquí, obtenemos tanto el error del área como su valor (ojo a la cantidad de cifras que se indican):
En el error dejamos de escribir cifras tras el segundo número distinto de cero. En el valor medido indicamos cifras hasta llegar al error absoluto.
En el caso de que la magnitud a medir dependa de muchas otras, cada una de ellas con su error, la forma de propagar los errores se complica un poco, pero ya analizaremos la operación al trabajar con sistemas bidimensionales.
Aproximaciones en serie de Taylor.
Muchas veces, los problemas pueden ser extremadamente complicados de representar con detalle, pero sin embargo si nos centramos solo en los dos o tres detalles que nos interesan se simplifican. Cuando simplificamos un problema quedándonos solo con los rasgos característicos o la situación particular que nos interesa estamos aproximando.
Estas aproximaciones, matemáticamente, se suelen traducir en funciones más sencillas, tanto para dibujarlas como para derivarlas, por ejemplo. En particular, cuando aproximamos por series de Taylor, solemos reducir todos los problemas a funciones constantes, rectas o parábolas.

En negro, la función original. En rojo, la aproximación de orden 0 (una recta horizontal a la altura 1). En naranja, la aproximación de orden 1 (una recta inclinada). En verde, la aproximación de orden 2 (una parábola). En azul, la aproximación de orden 3. Como se puede observar, a medida que aumentamos el orden la función aproximada se parece más a la función original, teniendo todas en común pasar por el punto a altura 1 en el centro.
Las funciones que aparecen en los problemas pueden tener expresiones algebraicas muy diversas, involucrando por ejemplo logaritmos, raíces, exponenciales, cosenos o tangentes. En todos estos casos, la aproximación en serie puede hacer que desaparezcan y en su lugar nos queden polinomios de grado 2.
La idea se fundamenta en lo siguiente: toda función continua y derivable en un punto, se puede aproximar por la recta tangente que pasa por dicho punto en primera aproximación, y por parábolas o figuras más complejas en sucesivas aproximaciones.
Matemáticamente: toda función continua y derivable en un punto se puede aproximar:
- Orden 0: a una recta horizontal que pase por dicho punto.
- Orden 1: a una recta tangente que pase por dicho punto.
- Orden 2: a una parábola tangente que pase por dicho punto y se curve del mismo modo.
- (…)
En particular, cuando una teoría física es sustituida por otra, ello suele involucrar que la era una serie de Taylor de la teoría nueva. Desde la teoría de la relatividad se puede regresar a la física clásica aproximando en serie de Taylor algunas de sus funciones, y con la mecánica cuántica sucede lo mismo. La gravedad de Galileo también es solo una aproximación en serie de la gravedad de Newton, más completa.
¿Pero qué es aproximar en serie de Taylor? Bien, la definición matemática que vamos a ver es esta: sea una función f(x) tal que es continua y derivable para los valores de x próximos a x0 que nos interesen, entonces podemos aproximar su valor en el entorno de x0 de los siguientes modos:
- Orden 0: Una función constante que siempre toma el mismo valor:

- Orden 1: Una función con forma de recta, que aumenta o disminuye de modo constante:

- Orden 2: Una función con forma de parábola, con un máximo o un mínimo:

Como se puede observar, con cada orden se añade un término nuevo que involucra una derivada más grande y una potencia más alta de la diferencia entre x y x0, dando lugar cada vez a polinomios más grandes. Tanto en f(x0) como en sus derivadas es necesario cambiar el valor de x por el de x0 tras derivar.
Existen, por supuesto, los casos de orden superior, pero no nos serán necesarios. En lugar de explicarlos en detalle, veamos cómo se realizaría la aproximación en serie de un par de funciones sencillas:
Obtener la aproximación en serie de Taylor de orden 1 de la función f(x)=Raíz(x) en las proximidades de x0=1.
En primer lugar siempre obtenemos tantas derivadas de la función como orden se indique, en este caso 1:
Posteriormente, se sustituye en la ecuación de Taylor hasta dicho orden:
Lo que estamos diciendo aquí, como resultado, es que calcular la raíz de un número próximo a 1 es más o menos igual a coger 1/2 y sumarle la mitad de dicho número. Por ejemplo, la raíz de 1,04 sería aproximadamente:
Lo cual se asemeja mucho al valor real, y es mucho más sencillo de calcular que hacer una raíz a mano.
La función raíz(x) y su aproximación en serie de Taylor a primer orden en las proximidades de x0=1. Se puede apreciar que es una recta tangente que es una recta tangente en dicho punto. No aparecen valores negativos porque las raíces de números negativos no son reales.
Esta aproximación de la raíz está relacionada con cómo la mecánica clásica es una aproximación de la teoría de la relatividad, y será relevante acordarse de ella. En esencia, lo que veremos es que si no percibimos antes del siglo XX que la teoría de la relatividad rige nuestro universo, fue porque no éramos capaces de distinguir raíces de 1 de raíces próximas a 1. Vamos con el otro ejemplo:
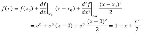
Obtener la aproximación en serie de Taylor de orden 2 de la función f(x)=e^x en las proximidades de x0=0.
En este caso, se cumple que todas las derivadas de la función e^x son iguales a ella misma, con lo que podemos saltar al paso de sustituir y únicamente tener en cuenta que cualquier número elevado a 0 da 0:
La función e^(x) en aproximada a orden 2 en las proximidades de x0=0. La parábola de la aproximación se asemeja mucho a la función original.
Esta aproximación es crucial en física y en matemáticas, e iremos viendo por qué en los siguientes capítulos.
Una pregunta que debería surgir con esto es «¿cuál es el error que cometo calculando el valor de una función mediante su serie de Taylor?». La respuesta es que depende de la función, del punto cercano al cual la hayas aproximado, y de la diferencia entre el punto de aproximación x0 y x. Cuanto más alejados estén, típicamente mayor será el error. Existe una forma de calcularlo, pero no nos hará falta. Baste quedarse con la idea de que si aproximamos en serie en torno al valor x0, debemos trabajar con valores de x extremadamente próximos a x0. Esta es una idea que desarrollaremos con la práctica próximamente, así que puede servir quedarse solo con el titular por ahora.
En el próximo capítulo veremos que si una energía potencial tiene una gráfica parabólica con un mínimo, entonces los cuerpos sometidos a ella oscilan indefinidamente. Y que ya que cualquier función con un mínimo se puede aproximar en serie de Taylor a una parábola en el entorno de dicho mínimo, todos producen movimientos parecidos.
ACTIVIDADES PROPUESTAS
1. Teniendo en cuenta la aproximación en serie de Taylor de e^x a orden 2 en torno a x0=0 ya obtenida, razona que la de e^(a*x), donde a es cualquier numero, sería: 1+a*x+(a*x)^2/2.
2. Teniendo en cuenta que el número imaginario i cumple que al elevarlo a 0 da 1 (como cualquier número), y que al elevarlo al cuadrado da -1, demuestra que la aproximación en serie de Taylor de e^(i*x) a orden 2 en torno a 0 es: 1+i*x-x^2/2. Puedes usar el ejercicio anterior.
3. Teniendo en cuenta que el Cos(0)=1 y que Sen(0)=0, que la derivada de Sen(x) es Cos(x) y que la derivada de Cos(x) es igual a -Sen(x), comprueba que la serie de Taylor de Cos(x) a orden 2 en torno a x0=0 es: 1-x^2/2.
4. Repite el ejercicio anterior, pero para demostrar que la serie de Taylor de Sin(x) es: x.
5. Verifica que las funciones e^(i*x), e^(-i*x), Cos(x) y Sen(x) tienen la propiedad de que si se derivan 2 veces se convierten en la misma función cambiada de signo.
Categorías:Blog, Docencia, Estudiar Física de Bachillerato, Física








