2. TEORÍA DE CAMPOS UNIDIMENSIONAL
2.1. La energía potencial
2.2. La conservación de la energía
2.3. La gravedad de Galileo
2.4. El trabajo y el calor
2.5. Las aproximaciones
2.6 El movimiento armónico simple
Oscilaciones.
Las oscilaciones son un concepto muy importante en física formal. Hay de hecho quienes dicen que se puede reducir todo a ellas y, en efecto, si la teoría de cuerdas es correcta, todo lo que percibimos sería debido a las oscilaciones de cuerdas diminutas entre diversas dimensiones. Pero sin necesidad de ir tan lejos, la mecánica cuántica también tiene en su núcleo matemático el concepto muy presente.
Una oscilación es armónica si, además de ser una oscilación, se repite exactamente del mismo modo en el tiempo y su forma es sinusoide. Al tiempo que dura cada oscilación se le denomina periodo.
El ejemplo más cotidiano de oscilador armónico son los muelles, los cuales al ser estirados se comprimen, y una vez comprimidos tienden a expandirse de nuevo vibrando entre un tamaño mínimo y un tamaño máximo. Por supuesto, los muelles reales acaban dejando de oscilar debido a pérdidas por calor, pero aquí los consideraremos de forma aproximada y sin dichas pérdidas.
La energía potencial armónica.
Como ya vimos en el capítulo acerca de conservación de la energía, cualquier valle en la gráfica de una energía potencial conllevará un equilibrio estable, y al desplazar un poco un cuerpo de su posición de equilibrio estable conllevará oscilaciones. Podemos, por supuesto, pensar en muchas funciones diferentes que sean continuas, derivables y presenten mínimos, pero analizar todos los caso posibles sería imposible ya que son infinitos.
En su lugar, apelando a la aproximación en serie de Taylor vista en el capítulo anterior, diremos que todos los mínimos existentes son aproximables a orden 2 por una parábola, y trabajaremos con dicha aproximación. Es decir, que siempre que consideremos que aplican las condiciones de oscilación armónica tenemos que asegurarnos de que el movimiento no se aleje en exceso de la posición de equilibrio. «Alejarse mucho», por supuesto, es relativo y depende del error que cada uno esté dispuesto a aceptar.
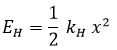
La ecuación de una parábola centrada en el origen de coordenadas x0=0 m, que será nuestra posición de equilibrio de muestra, es un número cualquiera k multiplicado por el cuadrado de x. En el caso del oscilador armónico, llamaremos a dicha constante la constante de elasticidad, y la denotaremos como kH, en honor al físico inglés Robert Hooke, coetáneo de Newton y primer físico en analizar en detalle los muelles, enunciando la ley de Hooke para los mismos. La expresión matemática quedaría así:


Ejemplo de gráfica de energía potencial elástica para un cierto valor kH.
El 2 dividiendo se introduce, sin afectar al concepto, para que al derivar la expresión se cancele con el 2 que está en la potencia de la x. Esta energía potencial tiene varias propiedades relevantes:
- Si el cuerpo está en la posición de equilibrio x0=0 m no hay energía potencial.
- Si el cuerpo se desplaza de la posición de equilibrio a la izquierda o la derecha, aumenta su energía potencial. Esta aumenta más cuanto más se aleje. Como consecuencia, surgen fuerzas que lo empujan de vuelta a dicha posición, mayores cuanto más alejado esté.
- La forma en la que aumenta la energía potencial a cada lado es simétrica. No es más fácil incrementarla por uno que por el otro.
Ecuaciones del oscilador armónico.
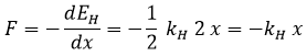
Como vimos en los capítulos 4 y 5, a partir de la ecuación de la energía potencial es posible obtener tanto la fuerza como todo el resto de ecuaciones del movimiento dependientes del tiempo. Comenzaremos por el cálculo de la fuerza de Hooke como opuesta a la derivada de la energía potencial:

A partir de ella, es posible obtener la aceleración a en función de la posición x:

Aquí podemos observar que la aceleración, que es la derivada segunda con respecto al tiempo de la posición, es opuesta a la posición en sí (se relacionan con un signo menos). Esto, en resumen, simboliza que si el cuerpo se desplaza a la derecha la aceleración tira de él hacia la izquierda y, por otra parte, si el cuerpo se desplaza hacia la izquierda la aceleración tira de él hacia la derecha.
Ahora bien, ¿qué relación tiene que haber entre la posición y el tiempo para que al derivarla dos veces se obtenga lo mismo cambiado de signo? Pues justamente eso fue una actividad propuesta el capítulo anterior. La respuesta resultaba ser que dicha propiedad la cumplían las funciones trigonométricas coseno y seno, y también las exponenciales imaginarias. Podemos escribir (sin involucrar números imaginarios) tres ecuaciones que representarían nuestro oscilador armónico:

Cuál emplear es cuestión de gustos, y aquí tenemos mucho que comentar, pero vayamos por partes:
- A es la amplitud de la oscilación, es decir, cómo de lejos de la posición de equilibrio llegará el cuerpo en cualquier sentido.
- x0 es la posición inicial en la que se encuentra el cuerpo. Positiva si es a la derecha, negativa a la izquierda.
- v0 es la velocidad inicial que tiene el cuerpo. Positiva si es hacia la derecha y negativa hacia la izquierda.
- Todo lo que va dentro del paréntesis, en cualquiera de las tres expresiones, es el ángulo de oscilación. Debe medirse en radianes (donde 1 vuelta equivale a 2 π radianes) y representa en qué punto de la oscilación se encuentra el sistema, aunque su interpretación exacta dependerá de la ecuación que estemos usando. En la primera ecuación, el ángulo 0 se corresponde con la posición más alejada hacia la derecha. En la segunda ecuación, el ángulo 0 se corresponde con la posición de equilibrio. Por último, en la tercera ecuación el ángulo 0 se corresponde con la posición inicial del cuerpo. Esto es, en esencia, lo que las diferencia.
- α0 es, en la primera ecuación, el ángulo que lleva girado inicialmente el cuerpo con respecto a la posición más alejada hacia la derecha. También se le denomina fase inicial.
- β0 es, en la segunda ecuación, la fase inicial con respecto a la posición de equilibrio, si inicialmente se movía hacia la derecha.
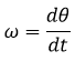
Existe una última magnitud muy importante, la velocidad angular ω, que no aparece directamente tal y como están escritas las ecuaciones, pero sí indirectamente como una raíz:

La velocidad angular mide los radianes por cada segundo que oscila el cuerpo, es decir, es la derivada del ángulo de giro con respecto al tiempo:

Empleando la velocidad angular, las ecuaciones quedan así:

Una expresión que es mucho más sencilla que las vistas arriba, aunque en esencia sean equivalentes.
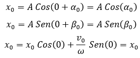
Relación entre fases iniciales.
La posición inicial x0 representa el lugar donde comienza el movimiento del cuerpo que estemos analizando, y en las tres ecuaciones debe ser equivalente. Esto se traduce en que al cambiar t por 0 en las tres ecuaciones tiene que obtenerse el mismo resultado:

De aquí podemos extraer una relación entre α0 y β0 aplicando relaciones trigonométricas, que es la siguiente:

De este modo es posible pasar de forma sencilla de la primera ecuación a la segunda o viceversa. Por otra parte, despejando de ambas se obtiene:

Relación entre amplitud, posición y velocidad.
Si derivamos las tres ecuaciones, podemos obtener la relación entre la velocidad y el tiempo. Para realizar estas derivadas es muy importante recordar que la derivada del coseno es el seno con signo negativo y que la del seno es el coseno. También es necesario aplicar la regla de la cadena del siguiente modo:

Veamos cómo quedarían entonces las velocidades:

Y, teniendo en cuenta que el coseno al cuadrado de un angulo más el seno al cuadrado de ese mismo ángulo siempre dan 1, podemos comprobar con las 3 ecuaciones (combinándolas con sus parejas de x) que la siguiente igualdad siempre es cierta:

Esta relación es la que surge, de hecho, del teorema de conservación de la energía, ya que la suma de la cinética y la potencial tiene que ser constante:

La energía se conserva y además es proporcional al cuadrado de la velocidad angular y al de la amplitud de las oscilaciones. Recordar eso, como siempre, nos podrá simplificar diversas operaciones.
Aceleraciones.
Podemos derivar todas las velocidades para verificar, por último, que en todos los casos obtenemos la siguiente relación fundamental:

Y con ello cerrar el círculo, ya que era nuestro punto de partida: que al derivar dos veces teníamos que obtener algo proporcional a la posición, pero con el signo opuesto.
Ecuaciones del movimiento a partir de las fuerzas vivas.
En esta sección plantearemos la forma de llegar de la conservación de la energía a las ecuaciones de movimiento, la cual requiere de una integral algo más compleja que las que hemos hecho hasta ahora pero lleva a cualquiera de los resultados que indicamos antes. Partamos de la ecuación para la velocidad que llevamos viendo desde el capítulo de conservación de la energía:

A partir de aquí, teníamos que resolver la siguiente ecuación integral (con t0=0 s):

Para integrar, primero está bien hacer los siguientes cambios:

Y aquí, la expresión final que hemos obtenido es de una función tipo arco. Podemos probar a hacer un cambio de variable, como con la gravedad de Galileo, de la forma:

Y a partir de aquí el sendero es directo:

Como se puede ver, hemos obtenido la segunda ecuación. Habríamos obtenido una equivalente a la primera haciendo el cambio empleando un coseno en lugar de un seno (aparecería un signo negativo arreglable).
La tercera ecuación es más raro conseguir que aparezca y se puede hacer razonando con trigonometría a partir de cualquiera de ellas, aplicando el teorema del coseno de la suma o el del seno de la suma, según si se parte de la primera o la segunda ecuación. Dichos teoremas se resumen así:

Y se aplicarían del siguiente modo:

Frecuencia y periodo.
Para concluir con las propiedades del oscilador, solo resta hablar de la frecuencia y el periodo. Ambas son magnitudes relacionadas con el tiempo de las oscilaciones, y de hecho son inversas:
- La frecuencia f mide la cantidad de vueltas que se llevan a cabo en 1 segundo.
- Por el contrario, el periodo T mide la cantidad de segundos que se tardan en dar 1 vuelta.
La frecuencia es, en realidad, equivalente a la velocidad angular, y únicamente difieren en las unidades. Mientras que una está en vueltas por segundo, la otra en radianes por segundo. Esta distinción constituye, para mi gusto, una de las cosas menos elegantes en física, ya que sería como decir que a una longitud la llamaremos longitud si está medida en metros, pero sin embargo la llamaremos distancia si se mide en millas. De hecho, es frecuente al hablar o incluso en artículos técnicos mezclar los conceptos de velocidad angular y frecuencia.
Todas estas magnitudes se relacionan mediante la siguiente ecuación:

Problemas típicos.
Veamos, llegados a este punto, los modelos de problemas estándar se pueden resolver con todo lo que hemos visto hasta ahora durante el capítulo, y que suelen aparecer en las pruebas para la universidad. En todos ellos es importante tener en cuenta que se suele considerar que a los muelles se les acoplan masas en los extremos y que ellos en sí no pesan. Una aproximación razonable si la masa acoplada es muy superior, como una bola de hierro. También es importante tener en cuenta que la constante elástica, en el SI, se mide en julios por metro cuadrado (J/m^2), en newtons por metro (N/m) o en kilogramos por segundo cuadrado (kg/s^2).
Colocamos una masa de 3 kg en el extremo de un muelle cuya constante elástica es de 2 N/m. El muelle es estirado con una deformación inicial de 0,02 m y se suelta en reposo.
a) ¿Cuál será la velocidad angular de las oscilaciones?
b) ¿Cuál será el periodo?
c) ¿Cuál será la velocidad máxima que alcance la masa?
d) ¿En qué posicion estará pasados 4 s?Todos los apartados se resuelven por simple sustitución en las ecuaciones. Son, de hecho, problemas muy mecánicos en el sentido de que no tienen mucha novedad cuando aprendes a hacer uno. Simplemente expondré las operaciones. Por otra parte, todos los resultados serán indicados con 2 cifras significativas (explicamos lo que eran el capítulo anterior).
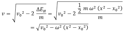
El único detalle relativamente novedoso es la pregunta acerca de la velocidad máxima, para calcular la cual debemos tener en cuenta que se alcanzará cuando la energía cinética sea máxima y la potencial sea mínima. ¿Dónde se minimiza la energía potencial? En el centro, donde vale 0 J y solo hay energía cinética. Esto se corresponde con que el seno/coseno de la primera/segunda ecuación de la velocidad valga 1.
Vamos a ver ahora otra versión del mismo problema con datos diferentes:
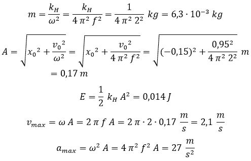
En el instante en que comenzamos a observar, un cuerpo está oscilando con el extremo de un muelle a razón de 2 vueltas por segundo. Sabemos que el muelle tiene una constante elástica de 1 N/m. Si inicialmente está en la posición x0=-0,15 m, y su velocidad inicial es de v0=0,95 m/s, calcula:
a) La masa del cuerpo.
b) La amplitud del movimiento.
c) La energía mecánica.
d) La velocidad máxima.
e) La aceleración máxima.Lo novedoso en esta ocasión es que hay que darse cuenta de que la aceleración máxima se consigue cuando el muelle está en su amplitud máxima, ya que es cuando más se aleja de la posición de equilibrio y con más fuerza intenta regresar a ella.
El siguiente resume una práctica de laboratorio por la que se suele preguntar:
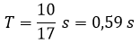
Para calcular la constante elástica de un muelle por el método dinámico le acoplamos una masa de 0,5 kg, lo estiramos y lo soltamos inicialmente en reposo. Después cronometramos cuánto tiempo tarda en realizar 10 oscilaciones y observamos que resulta ser de 17 s. ¿Cuál es la constante elástica?
Si sabemos que el muelle realiza 10 oscilaciones en 17 s, dividiendo ambos datos obtenemos el periodo:
Y con este dato y la masa ya podemos calcular la constante elástica:
Y podemos concluir con su problema hermano:
Para calcular la constante elástica de un muelle por el método estático lo colocamos en vertical y le acoplamos una masa de 2 kg. Cuando deja de oscilar y permanece en reposo, el muelle está estirado 0,3 m hacia abajo por encima de su longitud en equilibrio. ¿Cuál es su constante? Puedes usar el dato de que g=9,8 m/s^2.
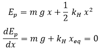
Este problema combina dos tipos de energía potencial: la gravitatoria de Galileo y la elástica de Hooke. Cuando ambas actúan en conjunto, hay que tener en mente que sus propiedades se combinan. La gravedad intentará que la masa acoplada al muelle llegue hasta el suelo. Sin embargo, como contrapartida, el muelle no querrá estirarse y tirará de la masa hacia arriba. Cuando esta se quede quieta, estaremos en una posición de equilibrio.
Ahora bien, los equilibrios hemos visto que se alcanzan en mínimos de energía potencial, con lo que tenemos que buscar el mínimo de la energía potencial constituida por la suma de ambas.
Dado que el valor exacto de la energía potencial da igual y solo es relevante cómo varía, consideraremos que ambas se anulan cuando el muelle está en equilibrio, en x=0 m. Establecida esa condición, tan solo tenemos que derivar la energía potencial respecto a x y encontrar en qué valor es mínima derivando e igualando a 0. Ese lugar será xeq, la nueva posición de equilibrio:
Y a partir de esta expresión, sabiendo por el enunciado que xeq=-0,3 m, podemos despejar la constante:
Péndulo.

Breve esquema del péndulo donde se ve la longitud del cable l, el ángulo de apertura φ y la profundidad del péndulo l Cos(φ)
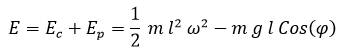
Otra forma frecuente de combinar la gravedad de Galileo con la física de oscilaciones es trabajar con péndulos. Cuando colgamos de un péndulo de longitud l una cierta masa, la gravedad hace que este tienda a quedarse colocado rígidamente en vertical. A partir de esa posición, si le damos un golpe hacia algún lado comenzará a oscilar. En ese caso, su energía potencial sería únicamente gravitatoria, y la altura del péndulo dependería del ángulo de apertura de la cuerda.
Concretamente, si llamamos φ al ángulo de apertura del péndulo, ω a la velocidad angular de su extremo, y fijamos que la energía gravitatoria valga 0 en el punto de agarre superior del péndulo, tenemos la siguiente energía:

Derivando respecto al tiempo y haciendo los trucos habituales, en particular el empleo de la regla de la cadena, llegamos a la conclusión de que la aceleración angular α es opuesta al seno del ángulo de apertura del péndulo:

Ahora, aproximando por series de Taylor a orden 1, podemos aplicar que el seno de un ángulo, si este es próximo a 0 rad, es muy parecido a dicho ángulo en sí, y obtenemos:

Y esto debe recordarnos a la ecuación de la aceleración de un oscilador, aunque en el caso del péndulo solo sea aproximadamente correcta si lo estiramos poco y lo dejamos oscilar durante poco tiempo. La velocidad angular de oscilación del péndulo vendría dada por la siguiente ecuación, en analogía con el caso del oscilador armónico:
Y a partir de aquí el resto de las ecuaciones (las de la posición, la velocidad, el periodo…) serían idénticas usando esta velocidad angular.
Como decíamos arriba, si el péndulo oscila es en principio por la gravedad, y el efecto debería disiparse rápido. No obstante, en nuestro planeta los péndulos pueden seguir oscilando debido a la rotación de la Tierra, tal y como mostró al mundo el físico León Foucault a mediados del siglo XIX.
Conclusiones.
Las oscilaciones suponen un pilar para casi todos los modelos físicos, ya que están presentes en circuitos, en las órbitas de los planetas y hasta en la estructura del espacio-tiempo. Dominar las funciones trigonométricas y los conceptos de velocidad angular, frecuencia y periodo resulta de vital importancia. Por otra parte, los problemas relacionados suelen ser sencillos y resolverse siempre del mismo modo.
En el próximo capítulo analizaremos la gravedad de Newton, y veremos en qué sentido la de Galileo es una aproximación en serie de Taylor y por qué es imposible obtener una expresión para la posición de los cuerpos que caen en función del tiempo, además de resolver algunas cuestiones elementales sobre física de cohetes.
ACTIVIDADES PROPUESTAS
1. Un péndulo tiene una longitud de 30 m. Si se suelta con una amplitud de 4 m, calcula usando cuando lo necesites que g=9,8 m/s^2:
a) Su velocidad angular de oscilación.
b) Su velocidad máxima.
c) Su posición tras 10 s.
2. Acoplamos una masa de 1,5 kg a un muelle y vemos que oscila con una frecuencia de 3 vueltas por segundo. Si su velocidad máxima es de 3 m/s, calcula:
a) La velocidad angular de las oscilaciones.
b) La amplitud.
c) La energía mecánica.
d) La energía potencial máxima.
3. Montamos un péndulo con una longitud de 3 m y lo dejamos oscilar, observando que lo hace con un periodo de 3,5 s. Emplea este dato para calcular el valor de la constante g.
4. Desde una altura de 20 m dejamos caer un cuerpo de 1 kg. El suelo consiste en un muelle gigante que se puede comprimir hacia abajo y tiene una constante de 0,5 N/m. Teniendo en cuenta que al hundirse el suelo aumenta la energía potencial elástica pero se reduce la gravitatoria y la conservación de la energía, calcula:
a) Cuánto se podrá comprimir el muelle como mucho cuando el cuerpo choque con él.
b) Qué sucederá después de que el cuerpo llegue a esa profundidad.
c) Cuál será la profundidad de equilibrio, cuando se pierda energía por calor y el cuerpo quede en reposo.
Categorías:Blog, Docencia, Estudiar Física de Bachillerato, Física






