2. TEORÍA DE CAMPOS UNIDIMENSIONAL
2.1. La energía potencial
2.2. La conservación de la energía
2.3. La gravedad de Galileo
2.4. El trabajo y el calor
2.5. Las aproximaciones
2.6. El movimiento armónico simple
2.7. La gravedad de Newton
Carencias de la gravedad de Galileo.
Hace algunos capítulos desarrollamos con detalle el modelo gravitatorio de Galileo, extrayendo varias de sus consecuencias. Sin embargo a día de hoy debería resultar evidente que algunas de sus conclusiones, como que todos los cuerpos caen de la misma forma independientemente de su altura, son falsas.
Si la gravedad atrajese todo del mismo modo se encontrase a la distancia que se encontrase la Luna acabaría precipitándose sobre nosotros, y no solo ella. También el Sol y los demás astros del universo. La gravedad debe ver su efecto reducido a medida que nos alejamos del cuerpo que nos atrae, y por ese motivo la gravedad de Galileo tan solo resulta útil como una primera aproximación.
A finales del siglo XVII, afortunadamente, el genio solitario Isaac Newton mejoró el modelo desarrollando la teoría de la gravitación universal, que establecía que la misma fuerza que hace que nosotros nos caigamos sobre la Tierra es la que hacía que los planetas orbitaran alrededor del Sol.
La ley de gravitación de Newton supuso todo un avance en su época, ya que unificaba la física de los cielos con la física terrenal. El mundo alejado de las estrellas, hasta entonces casi divino, sucumbía ante las mismas explicaciones que podíamos aplicar a un cuerpo cualquiera cayendo al ser soltado.
Dice el mito que se le ocurrió su modelo cuando una manzana se le cayó en la cabeza, pero no hay ninguna constancia documental sobre ello. Más bien, lo que sí sabemos apunta a que lo que hizo fue buscar la única ecuación que fuese compatible con las leyes obtenidas por Johannes Kepler a principios de siglo relacionadas con el movimiento de los planetas (las cuales desarrollaremos en el siguiente bloque).
Newton era un científico determinista y creyente, lo cual básicamente implicaba que creía que el dios de la Biblia habría creado el universo con una serie de leyes perfectas para la naturaleza que establecerían todo cuanto sucede y él, una de las personas más inteligentes de la historia, estaba destinado a descifrarlas. En efecto, a lo largo de su vida no hubo rama científica que dejase sin tratar, pero tampoco pseudo-científica. Dedicó excesivos esfuerzos a intentar demostrar que la alquimia era una ciencia seria y que la Biblia reflejaba hechos históricos, sin llegar por supuesto nunca a buen puerto. Pese a ello, sus aportes fueron excepcionales, introduciendo los conceptos de fuerza y derivada. De hecho, la fuerza se mide en newtons en el sistema internacional en su honor.
Energía potencial gravitatoria de Newton.
La energía gravitatoria de Galileo variaba siempre en la misma cantidad al aumentar los mismos metros de altura, y ello conllevaba que el tirón gravitacional hacia abajo fuese el mismo a cualquier distancia. La energía potencial que podemos asociar a la teoria de Newton, por el contrario, prácticamente desaparece cuando los cuerpos se alejan mucho de la Tierra, y produce fuerzas prácticamente infinitas cuando nos aproximamos a una masa concentrada en un punto.
Otro rasgo importante de la teoría de Newton es que la masa atraída (m) y la masa atrayente (M) están en igualdad de condiciones, y si cambiamos una por la otra en las ecuaciones nada se ve alterado. Si los centros de las dos masas están a una distancia r, nunca negativa, la energía potencial de Newton (EG) es:


Energía potencial de Newton, representada para un cierto valor de GMm.
Aquí G es la constante de gravitación universal, que toma el minúsculo valor en el SI de:

Sobre esta energía potencial, caben destacar las siguientes propiedades:
- Siempre es negativa y crece con la distancia (se hace menos negativa).
- Si las dos masas están pegadas su valor es -∞ J. Suele decirse que allí donde surge un infinito en física hay algo que no se entiende y, efectivamente, la teoría de Newton falla si tenemos los dos centros de las masas muy pegados.
- Si las dos masas están prácticamente a una distancia infinita, la energía potencial es prácticamente 0 J.
- Hay simetría entre las dos masas. Son intercambiables.
En la gravedad de Newton ninguna masa es más importante que la otra. De hecho, si las dos son iguales ni siquiera tiene sentirlo diferenciarlas como masa atraída y masa atrayente. Y, en general, siempre se atraerán mutuamente. Cuando decimos que la Tierra nos atrae hacia ella obviamos el hecho de que nosotros también atraemos a la Tierra. La única diferencia es que como la masa de la Tierra es mayor se acelera menos.
Energía cinética de las dos masas y masa reducida.
Cuando tenemos dos masas interactuando gravitatoriamente, al calcular la energía cinética debemos considerar la de cada una de ellas. No obstante, eso podría resultar muy cansado si tuviésemos que considerar la velocidad de cada una de ellas, por lo que se recurre al truco de la masa reducida. En esta sección aprenderemos que trabajar con la masa de solo uno de los cuerpos únicamente funciona si la masa de dicho cuerpo es muy inferior a la otra.
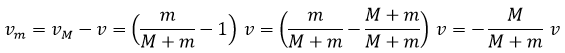
Consideremos que la masa M está quieta, y que la masa m es la que cae sobre ella con una cierta velocidad v. Esto acabamos de decir que no es cierto en general, pero sería lo que veríamos en el caso de que observásemos todo montados sobre M. Llamemos a quien observa esto Alice.
Ahora consideremos que otro observador cualquiera se encuentra quieto entre ambas masas, viendo a M acercarse a m con una velocidad vM y a m acercarse a M con una velocidad vm, inferior a v. Este observador es como si se estuviese desplazando hacia M con respecto a Alice, y le llamaremos Bob. La velocidad con la que Bob se acercaría a Alice sería, por supuesto, vM.
Bob observa, de hecho, todos los movimientos del mismo modo que Alice, pero sumando vM a sus velocidades en el sentido hacia m. Si Alice, sobre M, está a la izquierda, y Bob está a la derecha, entonces las velocidades de M, Bob y m son medidas de la siguiente forma por Alice (antes de la flecha) y por Bob (después de la flecha):

En resumen, Bob siempre suma vM a las velocidades observadas por Alice. Pero, a su vez, vM es la velocidad a la que Alice le ve moverse a él, con lo cual puede cambiarla. Denominaremos Bob ideal al Bob que se ubique de forma que:

Es importante tener claro que la velocidad el Bob ideal con respecto a Alice nunca podrá ser mayor que v. También que siempre podemos colocar a Bob moviéndose entre ambas masas de forma que observe eso. La relevancia de esta ubicación para él la comentaremos en el siguiente bloque, y se llamará sistema centro de masa.
Y si vM tiene esa expresión, vm se podrá calcular como:

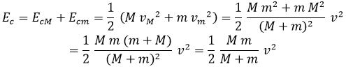
Y ahora, calculemos ahora la energía cinética total que medirá Bob sumando las de ambos cuerpos:

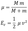
Y a esa fracción de masas que aparece en el medio la llamaremos masa reducida del sistema μ. Con ella, la energía cinética total queda con una expresión muy sencilla:

Es decir, que la energía cinética conjunta, desde el punto de vista de Bob en el centro de masa, es igual a la mitad de la masa reducida multiplicada por el cuadrado de la velocidad que observa Alice en la masa m.
La masa reducida tiene tres propiedades esenciales:
- Es simétrica con respecto a las masas M y m. Contribuyen del mismo modo.
- Si las dos masas son iguales, la masa reducida es igual a la mitad de cada una.
- Si una masa es mucho más pequeña que la otra, la aproximación es que la masa reducida es igual a la masa más pequeña. Es decir, que si M es mucho mayor que μ, entonces m y μ son prácticamente iguales.
Debido a la tercera propiedad, es aproximadamente correcto considerar que el movimiento de las dos masas se puede analizar en detalle considerando tan solo la más pequeña si la grande es mucho más grande.
Fuerza gravitatoria entre masas.
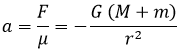
Como siempre, derivando la energía potencial podemos obtener la fuerza gravitatoria a la que estará sometido el sistema:

La expresión resultante tiene las mismas propiedades relevantes que la de la energía potencial de la que procede. Cabe destacar que esta fuerza es la que afecta a todo el sistema, la suma de las dos masas, con lo que para obtener la aceleración neta con la que se juntan debemos realizar la siguiente operación:

Esta no es la aceleración con la que cada una de las masas se acerca a la otra, sino con la que se acercan mutuamente. Es, de hecho, la suma de sus aceleraciones individuales, como veremos en el siguiente bloque. Ahora bien, si la masa M es mucho mayor que la m, en la suma m es despreciable (apenas altera el resultado) y de puede trabajar únicamente con M.
El hecho de que la aceleración con la que las dos masas se juntan dependa de su suma hace que los cuerpos sin masa, según el modelo de Newton, también padezcan la gravedad. La relatividad general, la teoría con la que Einstein explicó que el modelo de Newton era solo aproximado, establece que en ese caso la aceleración sería diferente, pero lo relevante por ahora es que no tener masa no hace que un cuerpo no pueda gravitar.
Imposibilidad de obtener la función x(t).
Basándonos en lo aprendido con la gravedad de Galileo y el oscilador armónico, podríamos vernos ahora tentados de obtener, de forma general, una ecuación que nos permita conocer la distancia r a la que estarán las dos masas en un instante t cuando actúa la gravedad de Newton. Sin embargo, estamos ante uno de los infinitos casos en los que no es posible obtener tal ecuación.
Partamos, como siempre, de la expresión para v:

Y ahora planteamos la integral con t0=0 s por simplificar:

Resolver la integral de la izquierda requiere de un montón de pasos, excesivos para este nivel, así que debería ser suficiente con indicar que la solución es, usando la notación con k y w para tener que escribir menos:

La complejidad del resultado explica dos cosas: la primera es por que nunca jamás aparece la relación entre r y t en el aula de educación secundaria, y la segunda es por qué es imposible despejar r(t). La ecuación en sí no es que sea difícil de resolver despejando r, es que no existe forma de hacerlo. De modo que debemos renunciar a la idea de obtener una relación bonita y generalizable, aunque con casos concretos se pueden hacer cosas.
Gravedad superficial y aproximación de Galileo.
No hemos explicado aún cómo encaja todo esto con la gravedad de Galileo, así que cerraremos el capítulo con ello. Galileo hizo sus observaciones sobre la superficie de la Tierra, ubicada a 6,37*10^6 m de su centro. Dado que la Tierra tiene una masa de 5,97*10^24 kg, podemos resolver el siguiente problema:
Ayudándote de la constante G, la masa de la Tierra y el radio de la Tierra, calcula la aceleración con la que esta atrae a los cuerpos próximos a su superficie de masa pequeña.
Dado que todos los datos aparecen con 3 cifras significativas, trabajaremos siempre con esas. Después, como nos dicen que la masa del cuerpo que cae es pequeña en comparación con la de la Tierra, podemos hacer la aproximación de que la masa reducida coincide con la de dicho cuerpo y ya tenemos todo lo que necesitamos:
Galileo consideró que dicha aceleración no dependía de la altura ni de la masa del cuerpo que caía, lo cual hemos visto que es falso (la aceleración con la que se juntan dos cuerpos sí depende de sus masas, aunque no aquella con la que uno atrae al otro, que solo depende de la masa del cuerpo que atrae). De modo que la aproximación de Galileo solo es correcta cuando estamos muy próximos a la superficie de la Tierra. Esto se traduce en que deja de ser recomendable usarla más allá de la atmósfera.
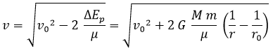
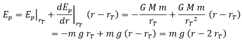
Si aproximamos por una serie de Taylor la energía potencial de Newton en la proximidad de la superficie terrestre, a cuyo radio podríamos llamar rT, obtenemos lo siguiente:

Aquí hemos recuperado la constante g de Galileo para describir la aceleración en la superficie aprovechando que aparecía GM/r^2 en la fórmula. Ahora bien, la energía potencial aproximada que hemos obtenido se parece a la de Galileo pero no es exactamente igual. Tenemos la masa multiplicada por g y por algo con unidades de distancia, pero sobre la superficie de la Tierra, cuando r=rT, no vale 0 J. ¿Qué está fallando?
En realidad nada falla. Como explicamos ya en el primer capítulo acerca de la energía potencial, no es importante su valor sino cómo varía de un sitio a otro. Y la fórmula que hemos obtenido modifica sus valores exactamente igual que la de Galileo cuando estamos cerca de la Tierra.
Para comprender mejor hasta qué punto ambos modelos son similares en la proximidad de la Tierra, ¿qué mejor que analizar una caída libre próxima al suelo con ellos?
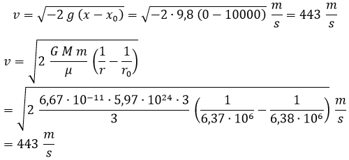
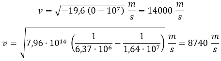
Desde una altura de 10000 m dejamos caer un cuerpo de 3 kg partiendo del reposo. ¿Cuál será su velocidad al llegar a la superficie terrestre? Realiza los cálculos con la gravedad de Galileo y la de Newton. Repite el proceso para una altura de 10^7 m. Puedes emplear las constantes g y G, la masa de la Tierra y el radio de la Tierra.
Aquí tenemos que tener cuidado con dos detalles. El primero es que las alturas hay que sumárselas al radio terrestre en el caso de la gravedad de Newton. El segundo es que el cuerpo que soltamos sigue pesando tan poco que podemos seguir suponiendo que la masa reducida coincide con la de este.
Resolvamos la caída de 1000 m con ambos modelos:
Vemos que ambos modelos coinciden espectacularmente bien para alturas de unas pocas decenas de miles de metros de altura. Veamos ahora con algunos millones de metros de altura qué sucede:
En esta ocasión las velocidades ya se diferencian más, siendo mayor y más incorrecta la que predecimos con el modelo de Galileo. Mientras que para Galileo los cuerpos caen con la misma aceleración todo el rato, el modelo de Newton hace que comiencen con una aceleración menor y esta vaya aumentando. El resultado es que si damos por bueno el modelo de Galileo los cuerpos se aceleran más al caer y llegan con más velocidad. El error aumenta cuanto mayor sea la altura inicial de la caída.
Y con esto concluimos nuestro análisis introductorio a la gravedad de Newton. Próximamente en el bloque II, sobre teorías de campos bidimensionales, analizaremos las órbitas planetarias y de cometas que produce, y cuando lleguemos al bloque III y comprendamos el teorema del flujo analizaremos qué sucede con la gravedad en el interior de la Tierra. Pero antes de eso, en el próximo capítulo analizaremos la electrostática entre cargas eléctricas.
ACTIVIDADES PROPUESTAS
1. Queremos que un cohete ascienda desde la superficie terrestre hasta una altura de 10^8 m. Usando como datos la masa de la Tierra (MT), el radio de la Tierra (rT) y G, calcula:
a) ¿Con qué velocidad deberá despegar si tiene que llegar a la altura mencionada en reposo?
b) ¿Qué energía mecánica tendrá?
2. Una persona de 90 kg flotando en el espacio vacío pretende conseguir que una nave de 7500 kg también flotando en reposo se acabe acercando a ella a base de atraerla gravitatoriamente. Si la distancia inicial es de 20 m, ¿qué aceleración habrá entre ambos en ese instante?
3. Dos estrellas, una con 2*10^33 kg y la otra con 10^34 kg están a punto de colisionar, y se encuentran a una distancia de 10^11 m.
a) ¿Cuál es la aceleración entre ambas? Ten en cuenta que la masa reducida no puede ser aproximada por la de la estrella pequeña.
b) ¿Cual es la energía cinética total que mediría un observador en el sistema centro de masas si la primera estrella observa a la segunda acercarse a 20000 m/s?
4. Verifica que la integral que resolvimos sin indicar los pasos dio el resultado correcto derivándolo y verificando que se obtiene 1/raíz(w+2*k/r). Requiere de un buen dominio de las operaciones algebraicas, ya que hace falta juntar fracciones y de primeras no parece que salga.
Categorías:Blog, Cosmología, Docencia, Estudiar Física de Bachillerato, Física




No comprendo cómo se habla de velocidad de un cuerpo sometido a una atracción gravitatoria por otro cuando en realidad se está acelerando.
Hola Guillermo, en el capítulo sobre energía potencial y el de trabajo y calor se desarrolla con detalle esta cuestión.
La energía potencial induce aceleraciones, pero además, si conocemos la posición y la velocidad con la que parte el cuerpo, podemos conocer la velocidad que tendrá en cualquier otro sitio cuando llegue. Es una de las muchas manifestaciones de lo interesante que es trabajar con energías. Como la energía mecánica se conserva, saber cuánto se reduce la energía potencial de un sitio a otro conlleva saber cuánto ha aumentado la velocidad.
«…La energía gravitatoria de Galileo variaba siempre en la misma cantidad al subir la aumentar los mismos metros de altura…»
«al subir la aumentar…» ¿error de formulacion?
Gracias por la serie,