Blog

Estudiar Física de Bachillerato (9): La electrostática

2. TEORÍA DE CAMPOS UNIDIMENSIONAL

2.1. La energía potencial
2.2. La conservación de la energía
2.3. La gravedad de Galileo
2.4. El trabajo y el calor
2.5. Las aproximaciones
2.6. El movimiento armónico simple
2.7. La gravedad de Newton
2.8. La electrostática

Electrostática.

En el último capitulo analizamos que dos masas a una cierta distancia siempre se atraían, incluso si una de ellas no tenía masa en absoluto dado que lo relevante era la suma. Sin embargo, la atracción gravitatoria entre masas solo es una de las cuatro interacciones fundamentales de la naturaleza.

Para cerrar el bloque sobre teorías de campos en una dimensión, en esta ocasión hablaremos acerca de la interacción electrostática entre cargas eléctricas. En primer lugar, hay que indicar que se llama electrostática porque lo que vamos a analizar es qué sucede con la interacción eléctrica entre cargas quietas. Si se mueven, las fórmulas que emplearemos pasarán a ser solo aproximadamente correctas (o completamente correctas según el caso). Cómo se deben modificar las conclusiones al trabajar con cargas en movimiento es algo que analizaremos en los bloques de teoría de campos en tres dimensiones y relatividad especial.

Un error frecuente es intentar comprender qué es una carga eléctrica, cuando no tiene mayor explicación que el preguntarse qué es una masa. De hecho, a las masas se las podría denominar sin problema cargas gravitatorias de no ser porque se les puso nombre mucho antes de que hablásemos de la gravedad. También existen, en relación a las otras interacciones, cargas nucleares fuertes y nucleares débiles.

Casi todas las cargas eléctricas que percibimos en nuestro día a día están asociadas a la cantidad de protones y electrones que tienen los materiales. Los protones son partículas de carga positiva que residen en el núcleo de los átomos, mientras que los electrones son partículas de carga negativa que residen en su corteza. Sus cargas son exactamente opuestas, es decir, que la del protón (qp) cancela la del electrón (qe):

Carga elemental

El hecho de que la carga del protón sea positiva y la del electrón negativa es un convenio. La física sería igualmente correcta cambiándoles el signo, del mismo modo que si cambiásemos el signo a todas las energías potenciales todo seguiría funcionando, solo que cambiando el principio de mínima energía por el de máxima energía.

Tampoco me gustaría cerrar esta sección sin hacer notar que la unidad de carga en el SI, el culombio (C), que debe su nombre al físico Charles-Augustin de Coulomb, resulta evidentemente nefasta para trabajar con partículas elementales, ya que su uso conlleva exponentes de -19.

Energía potencial electrostática.

La inmensa cantidad de similitudes entre gravedad y electrostática se pone de manifiesto en la energía potencial entre una carga atrayente (Q) y una carga atraída (q). Introduciendo la constante de Coulomb kE, la energía electrostática (EE) toma la forma:

Energía electrostática.PNG

Aquí se pueden distinguir dos casos de forma clara:

  • Si las dos cargas tienen signo opuesto, la energía electrostática es negativa y se atraen entre ellas, ya que cuanto más próximas estén más negativa será. En este caso, toda la física que involucran es muy similar a la gravitatoria.
  • Si las dos cargas tienen el mismo signo, la energía electrostática es positiva y se repelen entre ellas, ya que cuanto más alejadas estén menos positiva será. Los fenómenos a los que esto daría lugar nos serían relativamente novedosos.

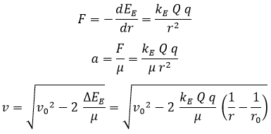
La fuerza con la que se atraerán (o repelerán) las dos cargas, así como la aceleración y la velocidad, se calculan de la forma habitual:

Dinámica electrostática.PNG

Como sucedía con la gravedad de Newton, y por los mismos motivos, no es posible integrar y despejar una ecuación que relacione la posición r y el tiempo t, así que nos ahorraremos repetirlo.

Atracción entre cargas de signo opuesto.

Gráfico Electrostática 1.PNG

Energía electrostática entre cargas opuestas frente a distancia para un cierto valor de kE*Q*q

Cuando dos cargas tienen signo opuesto tienden a atraerse y es necesaria la intervención de un sistema externo para alejarlas. Veamos algunos ejercicios típicos (que tambien se podrían plantear con campo gravitatorio). Empezaremos por uno acerca de separarlas:

Tenemos dos cargas de 5 μC y -2 μC, ambas con una masa de 9 mg, separadas a una distancia de 2 m. Ayudándote del valor de kE, y sabiendo que inicialmente están en reposo, calcula:
a) ¿Cuál es la energía mecánica del sistema?
b) ¿Cuál es la aceleración entre las dos cargas?
c) ¿Con qué velocidad tendrían que alejarse inicialmente las cargas para poder alejarse hasta una distancia infinita quedando en reposo?

Todos los apartados se pueden resolver por simple sustitución en las ecuaciones. Tan solo hay que fijarse en pasar los microculombios a culombios (multiplicando por 10^-6) y los miligramos a kilogramos (también multiplicando por 10^-6). También que si las dos masas son iguales la masa reducida es igual a la mitad de ambas:

Solución 1.PNG

Analicemos ahora este otro con el proceso contrario:

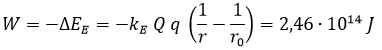
Tenemos dos cargas de 62 μC y -25 μC separadas a una distancia de 1 km cuando se empiezan a atraer. Ambas pesan 2 kg. Ayudándote del valor de kE, calcula:
a) ¿Con qué velocidad se estarán juntando cuando se encuentren a 1 cm de distancia?
b) ¿Qué trabajo habrá realizado el campo electrostático hasta entonces?

De nuevo, tan solo hay que tener cuidado con los cambios de unidades al SI y con que la masa reducida es la mitad de la de ambas. El trabajo lo calcularemos de dos formas por repasar y por comprobar que coinciden:

Solución 2.PNG

Aquí cabe destacar que si en lugar la masa reducida adecuadamente los resultados no coincidirían.

Repulsión entre cargas del mismo signo.

Gráfico Electrostática 2.PNG

Energía electrostática entre cargas iguales frente a distancia para un cierto valor de kE*Q*q

Cuando dos cargas se repelen por tener el mismo signo, este efecto puede emplearse para conseguir alejarlas indefinidamente sin tener que aportar ayuda externa. Veamos un ejemplo de problema relacionado con esto:

Tenemos dos cargas de 500 C separadas a una distancia de 7 m. Por repulsión, comienzan a alejarse. Ayudándote del valor e kE, calcula el trabajo realizado cuando están a una distancia de 30 m.

Solución 3.PNG

Veamos ahora el caso contrario, de interés en física de partículas.

Tenemos dos protones, de masa mp=1,67*10^-27 kg y carga qp, separados a una distancia infinita. En un laboratorio queremos intentar juntar lo máximo posible. Ayudándote del valor de kE, calcula:
a) La distancia a la que se los podrá acercar si se hace que comiencen a juntarse a 40 m/s.
b) La velocidad necesaria para que se aproximen a 1 nm.

Tras pasar al SI el nanometro (multiplicando por 10^-9), estamos en condiciones de proceder.

a) Tenemos que aplicar las fuerzas vivas para establecer que como toda la energía cinética se convierte en potencial de ahí es posible extraer la distancia final:

Solución 4.PNG

b) Simplemente hay que usar la ecuación de la velocidad:

Solución 5.PNG

Como se puede observar, para poder juntar protones a distancias pequeñas hacen falta velocidades (y cantidades de energía) elevadas. Y, si bien no es este exactamente el motivo por el que los aceleradores de partículas necesitan tanta potencia, da una idea intuitiva de cómo trabajar con cosas muy pequeñas puede requerir de presupuestos muy grandes.

Por último, analicemos este otro problema clásico que pone de manifiesto que la gravedad es una interacción muy débil en comparación con el electromagnetismo:

Tenemos dos esferas de 80 kg separadas a una distancia de 5 m. La gravedad va a hacer que se atraigan entre ellas, pero queremos evitarlo cargándolas de forma que sus cargas eléctricas provoquen una repulsión que anule el efecto de la gravedad. ¿Con cuántos culombios debemos cargar cada una? Puedes usar los valores de G y kE.

Para resolver este problema, debemos empezar por escribir la energía potencial en función de la distancia r. Después, sabemos que la posición de equilibrio se encuentra derivando respecto a r e igualando a 0. De este modo encontraremos que la única forma de que la derivada se anule es que la carga de las esferas tome cierto valor. Por comodidad, llamaremos m a la masa de ambas esferas y q a la carga:

Solución 6.PNG

En resumen, apenas 7 nanoculombios de carga son suficientes para contrarrestar 80 kg de atracción gravitatoria. Esto es particularmente obvio en nuestro día a día, ya que las minúsculas corrientes eléctricas de nuestro cuerpo son suficientes para hacer que nos movamos y, en particular, podamos levantar las piernas del suelo pese a que toda la Tierra tire de ellas hacia abajo.

Aunque en este problema hubiese dado la solución correcta, es importante tener claro que haber igualado la energía potencial a 0 J no sería el procedimiento correcto, pues si de algún modo pudiese ser negativa no estaríamos dando con la solución óptima.

Equilibrios entre cargas.

Aunque no haremos el análisis matemático detallado en esta ocasión, es importante dedicar algunas líneas a hablar de los posibles equilibrios que se pueden dar cuando ubicamos una carga alineada entre otras dos.

  • Una carga ubicada entre dos cargas del mismo signo podrá alcanzar un equilibrio estable y oscilar entre ambas, ya que las dos la repelerán.
  • Una carga ubicada entre dos cargas opuestas a ella podrá alcanzar un equilibrio inestable en el punto donde la fuerza con la que cada una tire de ella se cancele.
  • En cualquier otro caso, no habrá equilibrio y se moverá siempre hacia la carga opuesta.

Todo esto lo analizaremos matemáticamente con más detalle en el siguiente bloque, en el cual empezaremos el próximo día a trabajar con vectores. A partir de ese momento, las posiciones, velocidades, aceleraciones y fuerzas se convertirán en magnitudes vectoriales de complicado manejo matemático, mientras que las energías preservarán su simpleza. Entonces valoraremos aún más del uso del concepto de energía para trabajar en física.

ACTIVIDADES PROPUESTAS
1. Tenemos una carga de 1 μC ubicada a 0,5 m de otra carga de 2 μC y a 4 m de una tercera carga de 16 μC. Comprueba que su energía electrostática total es nula sumando la que tiene debido a la primera carga y la que tiene debido a la segunda. Ayúdate del valor de kE si fuera necesario.
2. Colocamos en el espacio a una distancia de 0,1 m dos masas de 3 kg y 4 kg. Ambas tienen una carga de 140 μC. Calcula, con la ayuda de kE:
a) La energía electrostática inicial del sistema.
b) El trabajo realizado por el campo electrostático cuando estén a una distancia de 5 m.
c) La velocidad con la que llegarán a estar tan separadas.
3. Repite el ejercicio anterior, pero considerando además del campo electrostático el gravitatorio. Es decir, en la variación de energía potencial suma la variación de ambas. Comprueba que el resultado es prácticamente idéntico ya que la gravedad es mucho más débil.
4. REPASO DE TODO EL BLOQUE.
Considera que un cuerpo se mueve según la ecuación x=c*e^t. La posición es proporcional al número e elevado al tiempo. Justifica:
a) Que la velocidad será v=c*e^t.
c) Que la aceleración será a=x.
d) Que la fuerza será F=m*x.
e) Que la energía potencial será Ep=-m*x^2/2.
f) Que la velocidad se podrá calcular como v=raíz(v0^2+x^2-x0^2).

2 respuestas »

Preguntas, correcciones y debate son bien recibidos.