3. TEORÍA DE CAMPOS BIDIMENSIONAL
3.1. El gradiente
3.2. Las fuerzas centrales
3.3. Las rotaciones
3.4. Los momentos físicos
3.5. La fuerza centrífuga
3.6. Las órbitas keplerianas
Órbitas.
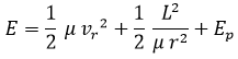
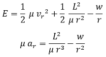
En los capítulos anteriores hemos analizado en detalle la estructura matemática que hay tras los conceptos de rotación, momento angular y fuerza central, y hemos visto que siempre que las fuerzas sean centrales el momento angular se conservará del mismo modo que la energía. Ha llegado la hora de poner todos estos conceptos en práctica y ver los maravillosos resultados. En este capítulo, en suma, veremos qué sucede cuando tenemos dos cuerpos rotando en torno a su centro de masas, intentando alejarse por la fuerza centrífuga, mientras una fuerza centrípeta los intenta juntar. La energía será siempre de la forma:

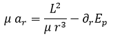
Donde la energía potencial solo podrá depender de r. Por otra parte, derivando respecto al tiempo para igualar a 0 y recurriendo a los trucos habituales que ya vimos en el bloque anterior, se llega a la siguiente ecuación diferencial:

Que no es más que otra forma de escribir la ecuación de Hamilton:

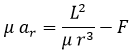
En suma las aceleraciones radiales, que alejan o acercan los cuerpos, son el resultado de la lucha entre dos términos: una fuerza centrífuga hacia fuera y una fuerza centrípeta hacia dentro, la cual procede de una energía potencial. Si denominamos F a la fuerza centrípeta, puede escribirse también como:

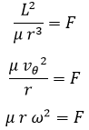
En el caso de que la fuerza centrípeta y la centrífuga se igualen, los cuerpos ni se alejarán ni se acercarán, y su distancia permanecerá constante mientras describen una órbita circular, caracterizada por la ecuación que podemos escribir de tres formas diferentes:

En el caso de que dichas fuerzas no estén equilibradas, por el contrario, puede pasar cualquier cosa, y eso es lo que analizaremos en el caso de que las órbitas obedezcan a la gravedad de Newton o la electrostática.
Órbitas en gravedad de Newton y electrostática.
Para tratar de forma simultánea ambos casos consideraremos que la energía potencial adquiere la forma:

Si trabajamos con gravedad de Newton, w será wG, y si trabajamos con electrostática será, por supuesto wE. Consideraremos que en el caso electrostático estamos trabajando con cargas opuestas, ya que si no esto carece de sentido compararlo con la atracción gravitatoria. No obstante, algunos resultados sí serán generalizables al caso de cargas iguales.
La energía del sistema y la ecuación diferencial de fuerzas será:

Si combinamos la energía potencial rotacional y la otra en una gráfica, el resultado tiene el siguiente aspecto:

Energía rotacional y potencial frente a la distancia, para ciertos valores de L^2/μ y k.
De ella podemos deducir, en base a lo que sabemos desde el capítulo acerca de la conservación de la energía, varias cosas:
- Existe una distancia en la cual la energía potencial es mínima. Si los cuerpos se mantienen a dicha distancia sin energía cinética radial extra, se mantendrán así. Y una órbita donde la distancia no se altere es una órbita circular.
- Si hubiera energía cinética radial extra, los cuerpos podrían alejarse, pero tarde o temprano acabarían chocando con la barrera de potencial a la derecha y comenzando a acercarse de nuevo. Así, llegarían a la barrera de potencial a la izquierda, y la órbita consistiría en una oscilación entre un radio máximo y un radio mínimo caracterizados según la energía mecánica. Llamamos a esto una órbita elíptica.
- Por último, si la energía fuese 0 J o superior, los cuerpos podrían alejarse infinitamente y tan solo existiría un radio mínimo. En este caso hablaríamos de órbitas parabólicas (si la energía es exactamente de 0 J) o hiperbólicas (si es positiva).

Representación de órbitas circulares, elípticas e hiperbólicas.
Los diferentes tipos de órbitas se pueden clasificar de forma sencilla con la energía del sistema, y eso resulta muy relevante, por ejemplo, para saber si un cometa que nos esté orbitando volverá por seguir una órbita elíptica o se marchará para no volver jamás al seguir una órbita hiperbólica.
Órbitas circulares.
Las órbitas circulares que se producen en el mínimo tienen que cumplir las ecuaciones que vimos en la sección anterior, que en este caso llevarían (en su versión con la velocidad de giro) a:

O, alternativamente:

Una expresión que, en el caso que nos ocupa, permite relacionar la energía rotacional y la potencial del siguiente modo, además de facilitar expresiones sencillas para la total:

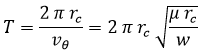
En resumen, la energía mecánica es siempre la rotacional con signo negativo, y a su vez es también la mitad de la energía potencial. Otros parámetros interesantes para calcular son el radio circular rc, la velocidad de órbita vθc y la energía Ec en términos del momento angular cuando sea posible:

Es importante hacer notar que aquí Ec no significa «energía cinética» sino «energía circular». Por último, las fórmulas relacionadas con periodos, frecuencias y demás cuestiones temporales aplican como en cualquier oscilador armónico. En este sentido, podemos decir que el periodo es:

Y a partir de aquí, podemos obtener una relación muy conocida para las órbitas astronómicas, que es que el periodo al cuadrado es proporcional al radio de la órbita al cubo:

Veamos algunos ejemplos de hasta dónde podemos llegar con estas fórmulas.
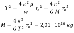
Sabemos que la Tierra está a una distancia de 1’5*10^11 m del Sol describiendo una órbita aproximadamente circular a razón de una vuelta cada año. También sabemos que su masa es muy inferior a la del Sol. ¿Cuál es la masa del Sol?
Al tratarse de un problema de gravedad tenemos que considerar la gravedad de Newton. Análogamente, la condición sobre las masas nos está diciendo que podemos considerar que la masa reducida es igual a la de la Tierra. A partir de aquí, podemos coger la fórmula del periodo cuadrado (teniendo en cuenta que un año son aproximadamente 3,15*10^7 s) y despejar la masa del Sol:
El valor obtenido es muy parecido al que se le asigna hoy a la masa del Sol, de 1,99*10^30 kg. El error procede tanto de nuestras aproximaciones como del hecho de que la órbita de la Tierra no es exactamente circular.
Otro ejercicio relacionado en la misma línea sería, por ejemplo este problema acerca del átomo de hidrógeno:
Un electrón orbita alrededor de un protón debido a la electrostática dando lugar a un átomo de hidrógeno, y lo hace de modo que su energía es de -13,6 eV (electrónvoltios). Conociendo que la carga del protón es opuesta a la del electrón, y ambas son de 1,60*10^-19 C, que un electrónvoltio son 1,60*10^-19 J y que la masa del electrón es de 9,11*10^-31 kg, siendo esta mucho menor que la del protón, calcula:
a) La energía rotacional.
b) La velocidad a la que orbita el electrón.
c) El radio de la órbita.
d) El momento angular del electrón.
e) El periodo de la órbita.
f) La cantidad de vueltas por segundo que da el electrón al protón.
Quiero hacer hincapié en lo maravilloso del segundo ejemplo, donde con una hipótesis tan sencilla como la de órbita circular electrostática y habiendo medido la energía característica del orbital 1s del átomo de hidrógeno, somos capaces de calcular a qué velocidad se mueve el electrón, cuál es el tamaño del átomo y la exagerada cantidad de vueltas que se producen cada segundo. El valor del momento angular, aunque pueda pasar desapercibido, veremos en el bloque de fenómenos cuánticos que se corresponde con la constante de Planck y que ello no es casual. Todo ello resultados maravillosos que hasta hace apenas 100 años nadie conocía, al no haber modelo atómico con este nivel de rigor.
Órbitas no circulares.
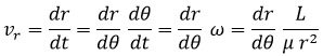
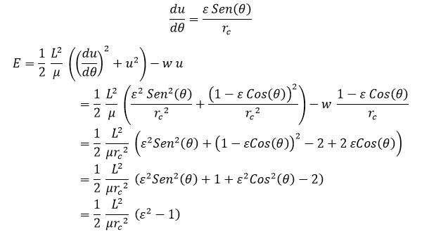
En el caso de que la condición de circularidad no se de y las fuerzas centrífuga y centrípeta no se contrarresten con exactitud, la cosa se complica, ya que no podemos partir de la ecuación que las iguala para deducir todo lo demás. Nos vemos obligados, en su lugar, a recurrir a un apaño para obtener una relación entre la distancia al origen r y el ángulo girado con respecto a la distancia de menor proximidad, a la que asignaremos un ángulo de 0 rad.
Partamos de la ecuación de la energía:

A partir de ella, podemos hacer un truco con la regla de la cadena para que la velocidad vr no aparezca y así nada dependa del tiempo sino de ángulos:

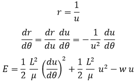
Con este cambio en mente, podemos dejar la ecuación como:

Y, a partir de aquí, realizar un cambio de variable de forma que u sea la inversa de r:

Ahora, si derivamos con respecto al ángulo e igualamos a 0 (la energía no puede variar porque el sistema gire), tenemos:

Y aquí podemos ver que la derivada segunda de u con respecto al ángulo es igual a la inversa del radio circular menos u. Esto implica que u tiene una parte que es del proporcional a un coseno (o un seno) y otra que es constante. En particular, podemos deducir que u es, en general (e involucrando una constante ε):

De modo que la relación entre r y el ángulo será la inversa:

Ahora bien, ¿qué es la constante ε? Sin ella, vamos un poco a ciegas. Para descubrirlo, tendremos que derivar la u (por ser más sencillo) y sustituir en la ecuación de la energía:

Y de esta última expresión podemos despejar, finalmente:

Y con esto ya tenemos ubicada a ε. ¿Pero cuáles son sus implicaciones?
Excentricidad y curvas cónicas.
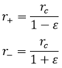
A ε normalmente se le llama excentricidad, y de su valor dependerá directamente el tipo de órbita. Tengamos en mente la ecuación:

Dando por hecho que la excentricidad nunca es negativa al proceder de una raíz, siempre van a existir un radio de aproximación mayor r+ y otro menor r-, definidos del siguiente modo cuando el ángulo sea de 0º y 180º respectivamente::

Ahora veamos los diferentes casos:
- Si la excentricidad es nula, situación que sucede cuando la energía del sistema es igual a la de la órbita circular, el radio es constante e idéntico al de la órbita circular. Se trata, de hecho, de una órbita circular.
- Si la excentricidad es positiva, pero menor que 1, entonces existen un radio mayor y otro menor diferentes. Esto sucede cuando la energía es negativa, pero mayor que la de la órbita circular. En este caso hablamos de una órbita elíptica.
- Si la excentricidad es 1, lo cual sucede cuando la energía es nula, el radio mayor es infinito, pero el menor existe. Hablamos de una órbita parabólica.
- Por último, si la excentricidad es mayor que 1, lo cual sucede cuando la energía es positiva, sucede más o menos lo mismo que en el caso anterior, pero se trata de una órbita hiperbólica. La principal diferencia entre ambas es que en la parabólica en el radio mayor el sistema no tiene velocidad radial y en la hiperbólica sí.
Como se puede observar, conocer la excentricidad o, alternativamente, la energía del sistema, resulta muy útil, ya que son números que por sí solos vaticinan todas las propiedades que tendrá el movimiento.
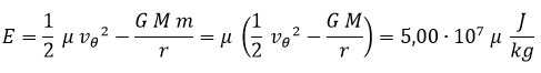
Un cometa posee, estando a una distancia de 10^12 m del Sol en su radio menor, una velocidad de giro de 10000 m/s. Indica el tipo de órbita que describirá conociendo la masa del Sol y sabiendo que la del cometa es mucho menor.
Aunque no tengamos la masa del cometa, podemos calcular el signo de la energía, y gracias a él clasificar la órbita:
Dado que el signo de la energía es positivo, la órbita será hiperbólica y el cometa nunca volverá.
Órbitas elípticas.

Esquema de los elementos de la elipse.
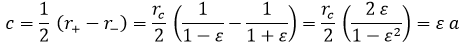
Con respecto a las órbitas elípticas es conveniente indicar algunas de sus propiedades geométricas relevantes, además de saber calcular sus radios mayor y menor.
Todas las elipses constan de un eje mayor y un eje menor. Al semieje mayor, es decir, a la mitad de la longitud de dicho eje, se la denomina a. Al semieje menor, análogamente, se le denomina b. Si al analizar una órbita suponemos que uno de los cuerpos está quieto y nos centramos en el movimiento del otro, el cuerpo quieto estará sobre el eje mayor, a una distancia c del centro a la que llamamos distancia focal. La relación entre las tres, si la curva es una elipse perfecta, es la siguiente:

Cuando los dos cuerpos están separados por el radio mayor, el cuerpo que orbita se encuentra en el extremo más alejado del eje mayor del que está «quieto» (en realidad solo es nuestra forma de plantear el problema la que hace que lo esté). Por otra parte, cuando están separados por el radio menor, el cuerpo que orbita está en el extremo más próximo. De aquí podemos razonar que la suma de los dos radios es igual al doble del semieje mayor, con lo que:

Por otra parte, si restamos ambos radios obtenemos el doble de la distancia focal, lo que nos lleva a:

Y teniendo estas dos, podemos calcular la expresión para el semieje menor:

Esto será relevante para poder calcular el periodo de una órbita elíptica, aunque visto así pueda parecer que no hay mucha relación. Veamos un problema clásico.
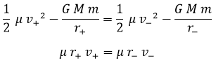
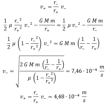
Un cuerpo de 100 kg orbita alrededor de otro de 100 kg, y durante su órbita alcanzan una distancia máxima de 5 cm y una mínima de 3 cm. Calcula, aplicando simultáneamente la conservación del momento angular y la de la energía, la velocidad a la que giran cuando están a la distancia máxima y cuando están a la mínima.
Como sus masas son iguales, debemos tener en cuenta que la masa reducida será la mitad de la de cada uno. Las ecuaciones, por lo demás, son:
Considero que lo más sensato es despejar una velocidad de la de abajo y después sustituir en la de arriba:
Como se puede observar, la conservación del momento angular hace que cuando los cuerpos están más alejados su velocidad de giro sea menor y viceversa.
En el caso de que no tratemos con cargas opuestas atrayéndose sino cargas del mismo signo en repulsión, todas las órbitas serán siempre hiperbólicas. Esto implica algo tan obvio como que si, por ejemplo, un protón comienza a orbitar alrededor de otro protón, se alejará hasta el infinito para no volver jamás.
Leyes de Kepler.
Durante el siglo XVI comenzó el gran debate en Europa acerca de si la Tierra era el centro del universo o, por el contrario, no era ningún sitio particularmente relevante dentro de este. Nicolás Copérnico fue uno de los principales defensores de la segunda postura, aunque no llegó a popularizarla en exceso porque en realidad no había ninguna necesidad, con los datos de la época, de dar por sentada tal cosa.
Uno de los máximos representantes de la astronomía por aquel entonces, Tycho Brahe, demostró durante el mismo siglo que todos los movimientos del sistema solar se podían explicar bajo la hipótesis de que la Luna y el Sol giraban alrededor de la Tierra, mientras que todos los demás planetas orbitaban alrededor del Sol. Desde nuestro de punto de vista actual es muy fácil decir «¿y por qué no considerar que la Tierra también?», pero el caso es que las conclusiones no difieren, o no de forma evidente. El único motivo por el que podemos estar seguros de que la Tierra se mueve es gracias a la relatividad de Einstein, que define el movimiento de forma absoluta y sin ambigüedades. Dado que es una teoría que apenas acaba de cumplir 100 años de vida, era imposible demostrar el movimiento de la Tierra tanto como lo contrario. Hasta entonces, uno siempre podría argumentar el modelo de Tycho Brahe. Un modelo que fue usado contra Galileo por defender la tesis de Copérnico.
Cuando Brahe murió, su discípulo Johannes Kepler pudo tener acceso a todos sus datos astronómicos, y tras dedicar años a cálculos muy aburridos y rudimentarios, enunció las tres leyes con las que el heliocentrismo, la teoría de que la Tierra gira alrededor del Sol, comenzó a ganar fuerza. Sus tres leyes eran las siguientes:
- Primera ley: las órbitas de los planetas del sistema solar describen elipses.
- Segunda ley: la velocidad areolar de los planetas no varía durante su traslación alrededor del Sol.
- Tercera ley: el cuadrado del periodo de traslación de un planeta es proporcional al cubo del semieje mayor de su órbita.
La primera ley ya la hemos justificado matemáticamente, y de hecho la hemos generalizado para ver cuándo las órbitas son circulares, parabólicas o hiperbólicas. La segunda ley, como argumentamos en el capítulo anterior, es una consecuencia de que la fuerza gravitatoria sea central y el momento angular se conserve. De haber conocido Kepler el concepto de momento angular, habría enunciado su segunda ley como la su conservación, pero aún así su logro fue muy relevante. Hay que tener en cuenta que para llegar a esa conclusión sin disponer del concepto de gravedad ni del de derivada, Kepler tuvo que calcular a mano la velocidad areolar de todos los planetas a partir de los datos medidos por Tycho. Una labor le llevo casi veinte años.
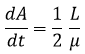
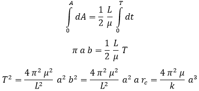
Las dos primeras leyes fueron publicadas en su primer tomo sobre astronomía, pero la tercera requirió de aproximadamente un lustro más de espera y análisis. Nosotros comprobamos que era cierta si la órbita era circular, pero no analizamos qué sucedía si la órbita era elíptica. Para ello, tenemos que partir de la fórmula de la velocidad areolar:

A partir de ella, si separamos todo en dos integrales y tenemos en cuenta que el área de una elipse tras una vuelta completa es de π*a*b, obtenemos que:

Lo cual, en el caso de trabajar con gravedad, nos lleva a:

Con lo cual concluimos que efectivamente hay una relación entre el periodo al cuadrado y el semieje al cubo, pero no es la misma para todos los planetas, ya que su masa m aparece dividiendo. La tercera ley de Kepler es tan solo una aproximación donde se presupone que la masa de todos los planetas es muy inferior a la del Sol, lo cual es cierto, pero se puede generalizar añadiendo esa suma en el divisor.
Esta ley llevaría a Newton, unos 70 años después, a establecer su gravitación universal como el único modelo capaz de justificar el resultado. De modo que conocer todo el modelo bidimensional que nos ha llevado a comprender estas ecuaciones resulta que es un pilar necesario para comprender como se pudo llegar a una ley mucho más sencilla.
Y con esto se acaba nuestro breve viaje por la teoría de campos bidimensional, y abrimos la puerta al siguiente bloque: el mundo de las tres dimensiones. Será el de mayor complejidad matemática y es, de hecho, el contenido más complicado que se tiene que explicar en Bachillerato, pero intentaremos explicarlo de forma que cualquiera pueda salir ileso del mismo.
ACTIVIDADES RECOMENDADAS
1. Repite todas las operaciones de este capítulo, intentando no revisar todos los pasos si es posible.
2. Newton demostró que el cometa Halley describía una órbita elíptica con un periodo de 70 años alrededor del Sol, y desde entonces sus cálculos permiten predecir cuándo volverá a ser visible desde la Tierra. Sabiendo que la masa del cometa es muy inferior a la del Sol, y que la masa del Sol es de 1,99*10^30 kg, calcula el semieje mayor de la órbita del cometa.
3. Se denomina órbita circular geoestacionaria a aquella que tiene un periodo de traslación alrededor de la Tierra exactamente igual a 1 día. De este modo, un satélite siguiendo dicha órbita siempre estará sobre el mismo punto de la Tierra aunque esta rote. Si la masa de la Tierra es de 5,97*10^24 kg y la masa del satélite es mucho más pequeña, calcula la distancia de la órbita geoestacionaria al centro de la Tierra. Calcula además, si el satélite pesa 45 kg, su momento angular y energía rotacional.
4. Suponiendo que la Tierra sigue una órbita circular alrededor del Sol, la cual dura un año, y conociendo las masas de ambos, calcula:
a) La distancia entre ellos.
b) La velocidad de traslación de la Tierra.
c) La velocidad que tendría que adquirir la Tierra para que su órbita fuese parabólica.
5. Un electrón en un átomo de hidrógeno se encuentra en el orbital 2s, cuya energía es de -3,4 eV. Para reducir su energía, desciende al orbital 1s, donde pasa a ser de -13,6 eV. Calcula:
a) El radio del orbital 2s.
b) El momento angular del electrón en el orbital 2s.
c) La energía que se libera durante el cambio de orbital en forma de calor.
d) Cuánto se reduce el momento el momento angular, comparando con el calculado para el nivel 1s en el ejercicio de ejemplo.
6. Tenemos un satélite a una distancia de 10^8 m de la Tierra en su radio menor y queremos aportarle una velocidad de giro que le permita llegar hasta un radio mayor de 10^9 m. Calcula, conociendo la masa de la Tierra:
a) Qué velocidad debe poseer en el radio menor.
b) Qué velocidad debe poseer en el radio mayor.
c) Cuánto tiempo tardará en llegar desde el primero hasta el segundo (la mitad del periodo completo de la elipse).
Categorías:Blog, Cosmología, Docencia, Estudiar Física de Bachillerato, Física





