En entradas anteriores ya hemos explicado prácticamente todos los conceptos elementales de la cosmología de Friedmann y cómo se están aplicando en la actualidad. Para ello usamos el formalismo de la relatividad general suponiendo que el universo era homogéneo e isótropo y obtuvimos su campo gravitatorio asociado.
No obstante, como bien sabemos, la relatividad general es una corrección de la mecánica clásica de Newton, y siendo este el caso cabe preguntarse en qué discreparían ambos modelos. En esta entrada haremos una comparativa y veremos qué tienen en común, qué no, y su relación.
Resumen del modelo relativista de Friedmann:
El universo de Friedmann se podía resumir en dos leyes, las dos ecuaciones de Friedmann, pero vimos que la segunda se podía sustituir por una consideración termodinámica, así que se podía resumir en que el universo cumple la primera ecuación de Friedmann y se expande conservando la entropía, es decir, que la entropía no aumenta debido a la expansión.
La primera ecuación de Friedmann es la que sigue:
Aquí se establece una relación entre el parámetro de Hubble H y la densidad de energía en el universo ρ. Como siempre, estamos usando unidades naturales.
El parámetro de Hubble, por su parte, mide la expansión del universo. Si consideramos una esfera teórica dentro de este de radio r y una partícula sobre su frontera alejándose por la expansión del centro con velocidad v, el parámetro de Hubble es:
Dado que en la actualidad dicho parámetro parece ser constante, todos los objetos del universo se alejan entre ellos con una velocidad proporcional a la distancia que los separa.
La cosmología con mecánica clásica:
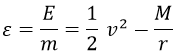
Consideremos la misma partícula de antes en la frontera de una esfera teórica en el universo. Según la mecánica clásica su energía será la suma de su energía cinética clásica y su energía potencial según Newton:
Aquí m sería la masa de la partícula y M la masa del universo encerrada dentro de la esfera. La masa fuera de la esfera nos daría igual porque por simetría del universo su efecto gravitatorio se cancela exactamente en el sistema de referencia en el que la esfera define el origen de coordenadas dada la homogeneidad supuesta.
Podemos definir, teniendo esta expresión, la energía por unidad de masa:
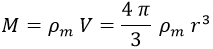
A su vez, podemos expresar la masa de la esfera como su densidad de masa por el volumen de la misma:
Sustituyendo esta expresión:
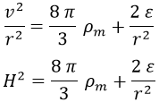
Y haciendo los cambios pertinentes obtenemos:
Que es la ecuación de Friedmann vista con un término extra dependiente de la energía por unidad de masa ε. Se distinguen tres situaciones importantes:
- Si ε es nula, es decir, cada partícula del universo tiene energía cero si sumamos la cinética más la gravitatoria, recuperamos el modelo ya explicado, que es el que parece ser más acorde con la realidad.
- Si ε es positiva, el universo se expandiría más rápido que en el caso anterior teniendo la misma densidad de energía. Habría más energía cinética que la justa para anular la gravitatoria. Sin embargo, a medida que se expandiese y aumentase r también disminuiría el factor nuevo, con lo que en un universo muy grande sería inapreciable.
- Si ε es negativa, el universo se expandiría más despacio que en el caso anterior por el motivo opuesto. El efecto también sería inapreciable en un universo muy grande.
La curvatura del universo:
¿Qué tendría que pasar en relatividad general para que la primera ecuación de Friedmann tuviese un término análogo al obtenido? Pues obviamente, que el universo tendría que estar curvado de una forma adecuada, ya que en relatividad general fuerza es igual a curvatura.
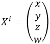
Concretamente, nuestro universo tendría que ser por ejemplo un volumen encerrado en un espacio de 4 dimensiones espaciales, que podríamos etiquetar por x y z w (las tres coordenadas cartesianas habituales y una extra):
La ecuación que cumpliría nuestro universo sería que el módulo cuadrado de su posición 4D fuese igual a una constante a la que denotaremos por la inversa de k:
Me figuro que en principio podrá resultar complicado pensar en qué representa esta figura en 4 dimensiones. Al lector interesado en visualizar algunas de las figuras más básicas en el espacio tetradimensional le remito a esta entrada que escribí hace años. Se distinguen, de nuevo, tres casos:
- Si k es nula, el término de la derecha es infinito. Por tanto, la suma de cuadrados de la izquierda también debería serlo. Una condición tan fuerte sobre nuestras coordenadas x y z no tiene sentido, con lo que w debería valer infinito y las otras tres podrían valer lo que quisiesen sin ninguna restricción. Tendríamos así un universo infinito de cuya dimensión extra no seríamos conscientes al valer esta siempre lo mismo. De hecho, si la dimensión extra toma siempre el mismo valor a efectos prácticos el espacio sería tridimensional. Este parece ser el caso.
- Si k es positiva, la figura sería una esfera de cuatro dimensiones de radio finito inversamente proporcional a la raíz de k. A medida que el universo se expandiese, el tamaño de la esfera iría aumentando también hasta que el valor de k fuese prácticamente nulo. Es decir, k dependería del tiempo y sería decreciente.
- Si k es negativa, w tendría que tomar valores complejos y la figura sería de nuevo una esfera, pero w contribuiría a aumentar el radio de la misma en vez de competir con x y z. Dada esta situación, el universo se expandiría más rápido que en el caso anterior haciendo de nuevo que k fuese despreciable llegado cierto punto.
En resumen, fuese cual fuese el valor de k, tendríamos un universo que con el paso del tiempo acabaría teniendo el aspecto dinámico del caso nulo.
A k se la conoce como la curvatura del universo, dado que si es positiva este sería una hiperesfera analizando sus 4 dimensiones, y si fuese negativa sería un hiperhiperboloide de 1 hoja. La primera representaría el caso paradigmático de curvatura gaussiana positiva y el segundo de curvatura gaussiana negativa.
Consideremos ahora la siguiente parametrización según k del universo en el espacio de 4 dimensiones:
Podemos reescribirla en coordenadas esféricas:
Sus derivadas paramétricas son:
Siendo este el caso, su métrica resulta:
El primer término se puede reescribir de forma mucho más agradable:
Con lo que las distancias s en el universo, usando coordenadas esféricas, se calcularían usando la ecuación:
Y si tenemos en cuenta que en relatividad el tiempo propio τ al cuadrado es el tiempo externo menos la longitud, ambos también al cuadrado, la métrica con curvatura de Friedmann sería:
Siendo A el factor de escala del universo.
Usando esta métrica para calcular la curvatura de Ricci, finalmente obtendríamos la ecuación de Friedmann siguiente:
De donde se deduce, comparando con el caso clásico, la siguiente relación:
Es decir, que la curvatura tiene efectos opuestos a la energía por unidad de masa como ya vimos al analizar por casos.
Reflexiones finales:
La cosmología clásica y la relativista serían por tanto prácticamente equivalentes si se obvia el hecho de que la segunda considera más tipos de energía que la debida exclusivamente a la masa, como podría ser la oscura o la de radiación. En todo caso, dado que la ecuación tiene la misma forma queda claro que el modelo de Friedmann en sí, matemáticamente, no requiere de relatividad general.
En lo personal, no me gustan mucho los modelos con curvatura. El universo parece no estar curvado y por tanto no veo necesario pensar que lo esté. No obstante, dado que aunque lo estuviese tendería a pasar desapercibida hay gente que se sigue aferrando a dicha posibilidad.
¿Qué ventajas se le ve a un universo curvado? Pues entre otras, que entrando ya en las creencias existenciales hay personas que se sienten más a gusto en un universo de tamaño finito (curvatura positiva) que en uno infinito, entre otras que pretenden ser racionales pero tal y como yo lo veo caen en falacias lógicas. Por ejemplo, hay quienes dicen que dado que la curvatura podría tener cualquier valor, que concretamente haya decidido valer 0 es muy poco probable. Esta falacia de probabilidad da por hecho que todas las posibles curvaturas son igual de probables a priori, cuando en realidad puede que simplemente sea imposible que el universo tenga curvatura no nula. ¡¡Recordemos que para introducirla hemos tirado de conceptos en cuatro dimensiones!! A mí me encanta pensar en estas cosas, pero no hay que apagar en ningún momento la alarma escéptica.
Próximamente hablaremos de consideraciones sobre el origen del universo.
Categorías:Carrera, Cosmología, Física, Relatividad, Termodinámica




















Adrian tus posts son muy interesantes y no me pierdo ni uno desde que descubrí tu blog hace algunas semanas.
Tengo un par de preguntas:
1. Entiendo que el uso de las “unidades naturales” es exclusivamente para ahorrarse escribir muchas veces “Ges” “ces” o “haches barra” en una ecuación tras otra cuándo se encadenan largas operaciones matemáticas. ¿Estoy en lo cierto que es sólo por eso, o es que se me está escapando algo más profundo?
2. Cuando al final de una cadena de ecuaciones y demostraciones se llega a la expresión final buscada en unidades naturales, ¿hay reglas fáciles para restituir las “Ges” “ces” o “haches barra” y reconvertir la expresión final a la forma de las unidades tradicionales?
Por ejemplo, la ecuación a la que llegas al final de este post en unidades naturales es:
H^2 = (8*PI*Rhom)/3 – k
¿Es fácil deducir cuántas “Ges” “ces” o “haches barra” faltan y dónde?
Gracias y saludos.
Hola.
Las unidades naturales efectivamente encierran una idea trascendente detrás, y es que nos libran de estar sometidos a convenios históricos. ¿Por qué tenemos metros, kilogramos, segundos, grados kelvin y culombios? Estamos remitiéndonos constantemente a valores que tienen poco de fundamentales y mucho de antropocéntricos.
En unidades naturales cogemos las 5 constantes fundamentales de la naturaleza: G, h, c, k y epsilon0 y con ellas definimos las nuevas unidades naturales. La velocidad natural es la de la luz, la acción natural es la constante de Planck, la entropía natural es la constante de Boltzmann… Y después hacemos todas iguales a 1 (liberémonos de las unidades) y trabajamos en un sistema 100% conceptual que algunos denominan «God given» (el usado por dios en sentido panteísta).
Cuando tenemos una expresión en unidades naturales, si queremos recuperar las constantes simplemente dividimos cada término por su valor natural.
Centrándonos en el caso que preguntas:
H debería tener unidades de frecuencia, así que la dividimos por la frecuencia natural.
rho debería tener unidades de masa por metro cúbico o de energía por metro cúbico, con lo que la tendríamos que dividir por la densidad de masa o energía natural según las unidades que queramos.
Por último, la curvatura tendría unidades de inversa de metro cuadrado, así que habría que multiplicar por la longitud natural al cuadrado.
Longitud natural: raiz(G*h/c3)
Tiempo natural: raiz(G*h/c5)
Frecuencia natural: raiz(c5/G*h)
Energía natural: raiz(h*c5/G)
Volumen natural: (raiz(G*h/c3))^3
Densidad de energía natural: c7/G4h2
Dividiendo cada término de la ecuación por lo adecuado llegamos inmediatamente a:
H2=8*pi*G*rho/(3*c2)-k*c2
1. Entendido, fuera el antropocentrismo.
2. «…si queremos recuperar las constantes simplemente dividimos cada término por su valor natural…» Pues qué fácil, gracias.
3. Creo que la densidad de energía natural es c7/G2h y no c7/G4h2 como has puesto, (supongo que sin querer te has «comido» una raíz en el denominador)
Con c7/G2h sí me sale la expresión final de H2 que has escrito.
Muchas gracias.
Sí, exacto. Copié la expresión de dentro de la raíz.
De nada.