Hace unas entradas calculamos, usando la ecuación de la relatividad general de Einstein y la energía del campo electrostático, el campo gravitatorio que produciría un agujero negro estático dotado de cierta carga electrostática. Como las cuentas se hicieron largas, dejé el análisis de la solución obtenida para esta otra entrada, donde comentaremos con cierto grado de detalle las conclusiones que se pueden extraer sobre el agujero negro cargado comparándolo con el aburrido agujero negro estático de Schwarzschild.
Veremos que el agujero negro cargado no solo supone un mayor reto matemático, prohibiéndonos por ejemplo calcular de forma genérica la posición de las órbitas estables a su alrededor, sino que además fue el primer causante de que se sospechase que los agujeros negros podrían ser pasajes a otros universos. Teoría esta última con la que actualmente me muestro muy escéptico.
Comprendiendo qué es y qué no es la solución de Reissner-Nordström:
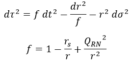
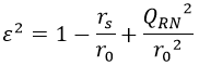
En el agujero negro cargado, el tiempo propio dτ que avanza un cuerpo al desplazarse durante un tiempo dt para un observador en reposo con el agujero, una distancia dr en la dirección radial y un ángulo dσ alrededor del agujero cumple la ecuación:
Aquí estamos usando unidades geométricas. rs es el radio de Schwarzschild del agujero cargado y QRN es la que denominaremos la carga de Reissner-Nordström. Si obviamos la carga, la ecuación es idéntica al agujero negro estático de Schwarzschild. No podía ser de otro modo.
Ahora bien, si el agujero negro de Schwarzschild representa el campo gravitatorio creado por una masa concentrada en un punto, ¿el agujero negro de Reissner-Nordström representa el campo gravitatorio y el eléctrico creado por la masa y la carga de un agujero negro? No, y hay que tener cuidado con malinterpretar esto. Aquí tenemos cómo afecta la carga al campo gravitatorio. Los efectos electrostáticos del agujero sobre cargas externas no están descritos por la ecuación de arriba. En particular, este campo gravitatorio creado por la carga afectará incluso a partículas neutras. Estamos hablando de cómo interacciona gravitatoriamente la carga del agujero, no de cómo interacciona eléctricamente.
Observando el signo, se observa de primeras que la carga se opone en signo al radio de Schwarzschild, «anticurvando» el espacio-tiempo. Cuanta más carga, menor efecto gravitatorio, pudiendo incluso llegar a anular sus efectos percibidos por completo en la distancia de no-gravedad rNG:
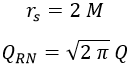
El radio de Schwarzschild en función de la masa efectiva M del agujero y la carga de Reissner-Nordström en función de la carga Q son:
Lo primero lo explicamos en la entrada de Schwarzshild y lo segundo es consecuencia de la normalización rara que hicimos para obtener la solución de Reissner-Nordström.
Para pensar en términos del sistema internacional de unidades simplemente tenemos que recordar que para pasar de la masa y la carga en metros a kilos y culombios hay que pasar por las unidades de Planck:
Donde la longitud, masa y carga de Planck son:
Así pues, tenemos:
Es decir, que por cada kilo de agujero negro tenemos una longitud en masa de 7,3*10^-28 metros y que por cada culombio de agujero negro tenemos una longitud en carga de 8,4*10^-18 metros. Cada culombio equivale a más longitud que cada kilo. Esto será muy relevante y lleva a preguntas fundamentales sobre las leyes de la física.
Dos horizontes:
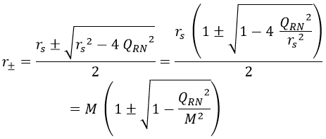
En el agujero negro de Schwarzschild teníamos un horizonte de sucesos en el lugar donde f se hacía nulo. Dicho lugar era el radio de Schwarzschild. Al tratar con el agujero negro cargado, sin embargo, existen dos posibles distancias a las que f se anula, en tanto que hay que resolver la siguiente ecuación de segundo grado:
Dichas soluciones, conocidas como radio externo r+ y radio interno r-, se pueden expresar de varias formas:
Aquí se distinguen cuatro casos de especial relevancia.
.-Si Q=0:
En este caso, el horizonte interno está en el origen de coordenadas, la propia singularidad, mientras que el externo está en el radio de Schwarzschild. En efecto, se consigue la misma solución que con un agujero negro no cargado:
.-Si M>|QRN|:
En este caso, el agujero negro tiene dos horizontes: uno externo y otro interno, y el agujero negro divide el universo en dos recintos aislados. Uno en su centro que contiene la singularidad y llega hasta el horizonte interno y otro que sería el exterior del horizonte externo. Entre ambos, podemos tener las mismas dudas sobre qué sucede como en el interior de un agujero normal. De hecho, es como si un agujero negro normal empezase a comprimir su horizonte desde fuera y desde dentro haciendo una corona esférica.
.-Si M=|QRN|:
Puede suceder que los dos horizontes se aproximen tanto que coincidan, dando lugar a lo que se conoce como un agujero negro extremo de Reissner-Nordström. El requisito necesario es que el término de la raíz se anule, o dicho de otro modo, que:
Cuando esto sucede, ambos horizontes se cancelan y los dos recintos separados se juntan, dando lugar a un universo completo sin fronteras causales. La distancia de colisión de ambos horizontes sería exactamente M:
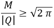
Al no haber ningún horizonte de sucesos, en un agujero negro extremo la singularidad central quedaría «desnuda», al alcance de la observación. Para evitar esto, Roger Penrose supuso en 1969 que debía ser imposible que la naturaleza produjese campos gravitatorios con singularidades al descubierto y llamó a su hipótesis la conjetura de censura cósmica.
Si dicha conjetura fuera correcta, ningún agujero negro podría ser extremal, con lo que en la naturaleza debería cumplirse que cualquier objeto esférico y en reposo cuyo tamaño sea menor que su radio de Schwarzschild (dependiente de la masa) sea acorde con la desigualdad:
Pasando las unidades a sistema internacional, esto es equivalente a imponer que:
Es decir, que por cada culombio que albergue un cuerpo colapsado, debe albelgar también más de diez mil millones de kilogramos de masa. Aquí por «colapsado» entendemos comprimido en un tamaño menor que su radio de Schwarzschild.
En principio, todas las estrellas tienen carga prácticamente nula y poseen millones de millones de millones de veces la masa indicada por la desigualdad, con lo que no parece una idea alocada dar crédito a la conjetura de Penrose. Veremos más adelante en esta entrada que de hecho la termodinámica garantiza su veracidad en este caso.
Ahora bien, cabe preguntarse si esta condición es aplicable al mundo cuántico, y la respuesta es que deberíamos evitar pronunciarnos al respecto. El electrón y los quarks, partículas elementales con carga, no cumplen la desigualdad, pero es que además tampoco están en reposo sino que giran debido a su espín, pero nuestro agujero negro no rota. Lo mismo es aplicable a un protón, que además es un conjunto de tres quarks. Y no solo eso, sino que además sabemos sabemos que el protón tiene un radio mayor que su radio de Schwarzschild adecuado. No hay, en suma, nada en el Modelo Estándar de la física de partículas que cumpla la condición de no tener espín, tener más carga de Reissner-Nordström que masa y que su tamaño sea inferior a su radio de Schwarzschild, con lo que no podemos desmentir nada por ahí.
.-Si M>|QRN|:
En este último caso, la raíz cuadrada que define los horizontes es imaginaria y por tanto ni siquiera están definidos. No habría nada que recordase a un agujero negro.
Órbitas de partículas con masa alrededor de agujeros negros de Reissner-Nordström:
Esta sección y la siguiente será análogas a la entrada completa sobre órbitas alrededor del agujero negro de Schwarzschild. Comentaremos los mismos aspectos y llegaremos a conclusiones parecidas.
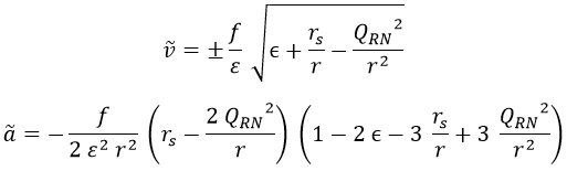
En este primer caso, la energía por unidad de masa ε de una partícula cumple la siguiente ecuación:
Aquí v sería la velocidad de la partícula y l su momento angular por unidad de masa.
.-Caída libre:
Supongamos que una partícula se mueve en línea recta, con momento angular nulo. En este caso cumple para un observador en reposo con la misma posición que ella:
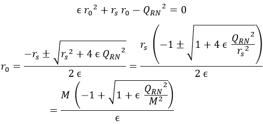
Y teniendo esto podemos preguntarnos el alcance máximo r0 que puede tener dicha partícula si sale desde el centro del agujero negro con una cierta energía ε. Para ello, vuelve a ser más útil definir ∈:
Si hay más masa que energía ∈ será negativo, si son iguales será nulo y si gana la energía será positivo. Nos interesa el primer caso, puesto que en los otros el alcance debe ser infinito.
Esto nos lleva a las siguientes expresiones para el alcance máximo:
El resultado es análogo al de Schwarzschild si la carga se anula.
.-Velocidad y aceleración de ascenso/descenso:
Si nos mantenemos en trayectorias rectilíneas, se puede despejar que la velocidad de la partícula depende de la distancia al origen r del siguiente modo:
El punto donde se anula coincide con el alcance máximo.
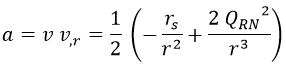
La aceleración, por su parte, sería:
El tiempo de caída/ascenso para una trayectoria rectilínea regida por estas ecuaciones es integrable, pero no aporta nada a la entrada y resulta muy complicado.
Por otra parte, la velocidad y aceleración observadas por un observador externo serían:
Con lo cual, dado que aparece f multiplicando a todo, la velocidad se anula en los horizontes de sucesos y de nuevo suponen un límite observacional/causal para cualquier observador externo. Lleva infinito tiempo ver una partícula atravesar el horizonte externo desde fuera y el interno desde dentro. Este detalle es importantísimo. O puede que simplemente interesante.
.-Órbitas cerradas:
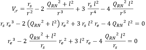
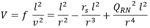
Si no nos cargamos el momento angular, habíamos razonado que sería como si la partícula se moviese sometida a un potencial V de la forma:
Aquí despreciamos el 1 que saldría por ser irrelevante.
¿Y esto se parece al potencial en un agujero de Schwarzschild? De nuevo sí si quitamos los términos con carga. Pero es que el último término con carga marca una diferencia crucial: es infinitamente repulsivo a distancias cortas de la singularidad y gana a cualquiera de los otros. Es decir, que mientras que en el agujero negro de Schwarzschild la singularidad tendía a tragarse cosas si se le aproximaban orbitando, aquí la singularidad las repele.
Esto se traduce en que además de las dos distancias donde era posible orbitar circularmente «sin problemas» un agujero negro no cargado, aquí hay una tercera órbita estable más próxima a la singularidad y dentro de los horizontes. Dicha órbita estaría escondida sobre la propia singularidad en el caso sin carga.
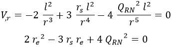
Para calcular la ubicación exacta de las tres órbitas circulares (estables la primera y la última, e inestable la del medio), podríamos derivar e igualar a 0 para despejar re:
Y aquí aparece una ecuación cúbica.
No obstante, si bien hace un par de entradas comenté cómo se resuelve una ecuación cúbica cualquiera, no es posible resolverlas de forma genérica para cualesquiera valores de los tres parámetros M, Q y l. Fundamentalmente porque en el paso en el que hay que distinguir entre parte compleja y parte imaginaria no sabremos qué es cada cosa sin tener números concretos. Quien quiera enredar con distintos valores es libre de hacerlo, pero no ha sido mi intención en esta ocasión.
Órbitas de partículas sin masa alrededor de agujeros negros de Reissner-Nordström:
Como sucedía en el agujero negro de Schwarzschild, las partículas sin masa describen las mismas órbitas que las partículas con masa y momento angular l prácticamente infinito. En efecto, a altas energías la masa es despreciable. La ecuación energética sería:
De nuevo, carece de sentido preguntarse por el alcance máximo en línea recta de una partícula sin masa puesto que al suprimir l no hay nada que dependa de r.
.-Velocidad y aceleración de ascenso/descenso:
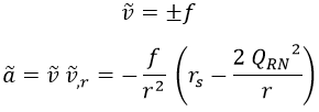
Para un observador que instantánteamente observe una partícula sin masa moverse junto a él durante su ascenso o descenso al agujero negro, de nuevo la velocidad es independiente de la posición y no hay aceleración:
Aquí además deberá cumplirse que ε sea 1 en unidades naturales.
Por otra parte, el observador genérico en reposo con el agujero negro y no puntual percibirá que la velocidad y la aceleración sí que dependen de la posición:
Esto lleva a la conclusión de que para un observador externo las partículas sin masa tampoco atraviesan el horizonte en tiempo finito.
.-Órbitas cerradas:
Como decíamos en la sección anterior, las órbitas descritas por partículas sin masa son las mismas que las que describe una partícula sin masa si su momento angular l tiende a infinito. El potencial asociado es:
El término infinitamente repulsivo en torno a la singularidad se mantiene, lo que implica que la órbita circular estable junto a ella también. Desaparece sin embargo la órbita circular estable lejana, igual que tampoco existía en el agujero negro de Schwarzschild.
En esta ocasión, donde la ecuación a resolver es cuadrada, sí que es posible calcular los radios de las órbitas circulares re derivando e igualando a cero:
Los resultados son:
La órbita circular baja siempre se encuentra entre los dos horizontes para un agujero negro cargado no extremo. Con carga nula está escondida en la singularidad y se va manteniendo entre ambos a medida que aumenta la carga hasta que en el agujero negro cargado extremo se ubica sobre el propio punto donde se solapan.
La órbita circular alta, inestable, siempre está fuera del horizonte externo y representa la que ya había en el agujero negro de Schwarzschild.
El supuesto viaje entre universos:
Acabamos de ver que, a diferencia de lo que sucedía con los agujeros negros no cargados, es posible hacer órbitas estables en torno a la singularidad del agujero negro de Reissner-Nordström. Algunas de ellas son particularmente interesantes.
Supongamos que tenemos una partícula sin masa, como un fotón, que cae con un cierto momento angular l no nulo hacia el horizonte externo. Caiga hasta donde caiga, no llegará hasta la singularidad sino que pasará a hacer una órbita más o menos elíptica. Lo relevante es que en principio volverá a salir, al no ser la región interior del agujero infinitamente atractiva y permitir de nuevo una trayectoria hacia fuera.
Ahora bien, para un observador externo, en teoría, cuando dicho fotón atraviesa el horizonte externo pasa un tiempo infinito, o dicho en otras palabras, nunca lo ve entrar. Y si nunca lo ve entrar, menos lo verá salir, ¿no? Sin embargo el fotón sale.
Inicialmente se pensó que dado que cuando un cuerpo atraviesa un horizonte de sucesos queda desconectado causalmente de su lugar de origen, cuando el fotón volvía a salir del agujero negro tenía que hacerlo necesariamente en un universo nuevo. Sin embargo, hoy en día hay motivos de sobra para pensar que no es eso lo que sucede. La solución, como siempre con las paradojas relativistas, la da la mecánica cuántica.
La termodinámica del agujero negro de Reissner-Nordström:
En la entrada sobre el efecto Unruh vimos que una región del espacio que produzca una aceleración dada, puede ser vista desde lejos como una región con temperatura y llena de partículas. En concreto, dicha temperatura sería proporcional a la aceleración dividida por 2π. Así pues, el horizonte de un agujero negro de Reissner-Nordström tendría una temperatura asociada tal que:
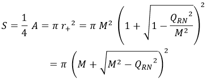
Por otra parte, en la entrada sobre radiación Hawking vimos que la entropía del agujero, siendo este el caso, tenía que ser igual a una cuarta parte del área de su horizonte de sucesos. En este caso, dicha entropía sería:
Y cabe preguntarse si dichas magnitudes encajan consistentemente. Es decir, si usando la ley del área y la de la aceleración obtenemos la relación termodinámica adecuada, a saber, que la derivada de la entropía respecto a la masa es la inversa de la temperatura. La respuesta es un tajante «sí»:
De modo que tenemos otro argumento a favor de la termodinámica de agujeros negros.
Cabe destacar que el agujero negro extremo involucra una temperatura nula y una entropía infinita, contraviniendo la tercera ley de la termodinámica y por tanto siendo aún más dudosa su existencia.
La termodinámica de agujeros negros se carga también la posibilidad de que se pueda viajar a otros universos usando un agujero negro de Reissner-Nordström, ya que en tanto que todo agujero negro se evapora a lo largo del tiempo vaciando su contenido tarde o temprano lo que entra sale incluso para un observador externo.
Categorías:Electromagnetismo, Física, Relatividad, Termodinámica
































